Реферат
по биологии
на тему:
"Пенообразование в растворах поверхностно-активных веществ"
2009
Пены — это дисперсии газа в жидкости или в твердой фазе. Пенообразование определяется соотношением объемов газа и жидкости, которое называется кратностью пены. В низкократных пенах газовые пузырьки имеют сферическую форму, а пленки между пузырьками очень толстые. Хорошо известным примером таких пен являются взбитые сливки. При более высокой кратности пузырьки газа разделяются тонкими, плоскими жидкими пленками. Область, в которой три пленки встречаются, называется каналом.
Устойчивые и неустойчивые пены
Существуют два типа пен: неустойчивые пены с небольшим временем жизни и стабильные пены. Эти типы пен исследуют различными методами. Неустойчивые пены, как правило, характеризуют методом Бикермана. Газ пропускается через жидкость в колонке с фильтром из плавленного стекла; далее измеряют высоту пены или ее объем в тот момент, когда пена достигнет стационарного состояния. Опыт повторяют при различных скоростях подачи газа. Объем стационарной пены прямо пропорционален скорости подачи газа. Наклон зависимости объема стационарной пены от объемной скорости подачи газа характеризует среднее время жизни пенного пузырька или пенной пленки. Важно, чтобы внизу ячейки в течение всего эксперимента имелся избыток жидкости, поскольку в противном случае объем пены будет лимитироваться количеством доступного раствора.
Стабильные пены характеризуются пенообразующей способностью и устойчивостью. Мерой пенообразующей способности является объем пены сразу после ее образования, а мерой устойчивости — время жизни образовавшейся пены. Растворы многих белков обладают очень низкой пенообразующей способностью, но образуют высокоустойчивые пены, в то время как растворы некоторых ПАВ обнаруживают высокую пенообразующую способность, но плохую устойчивость пен.
Объем пены, образовавшейся после встряхивания жидкости в пробирке, можно использовать для характеристики пенообразующей способности ста

Рис. 1. Пенообразование по методу Бикермана: газ непрерывно пропускается через жидкость, находящуюся в колонке; зависимость объема пены от скорости подачи газа.
Примеры приведены для двух типов сырой нефти бильных пен. Главные недостатки этого метода заключаются в зависимости от квалификации оператора, вязкости и объема жидкости, а также от размера и формы сосуда, использованного в опыте. Напротив, метод Росса-Майлса является стандартным методом, он позволяет с хорошей воспроизводимостью одновременно оценивать пенообразующую способность и устойчивость пены. Раствор пенообразователя помещают в пеногенератор, объем мгновенно образующейся пены характеризует пенообразующую способность. Затем измеряют объем пены через 5 или 10 мин, получая таким образом характеристику устойчивости пены. Соответствующая установка показана на рис. 2.

Рис. 2. Ячейка для проведения теста Росса-Майлса: 50 мл жидкости помещают в колонку, пропускают газ и измеряют высоту мгновенно образующейся пены, затем измерение повторяют через 5 или 10 мин
Два условия пенообразования
Пены всегда образуются из растворов, однокомпонентные жидкости никогда не вспениваются. Для пенообразования необходимо соблюдение двух условий. Первое условие — один из растворенных компонентов должен быть поверхностно-активным. Доказательством поверхностной активности компонента является понижение поверхностного натяжения раствора. Поверхностное натяжение большинства органических веществ ниже, чем у воды; поэтому закономерно, что водные растворы с добавками органических компонентов относительно легко образуют пены.
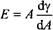
Второе условие заключается в том, что пенные пленки должны обладать поверхностной упругостью, т. е. при растяжении пенной пленки должна возникать сила, стремящаяся вернуть пенную пленку в исходное состояние. Поверхностная упругость Eопределяется как увеличение свободной поверхностной энергии, или поверхностного натяжения г, при увеличении площади пленки, т. е. при ее растяжении:
Поверхностная упругость должна проявляться в течение всего времени растяжения и восстановления пленки. Таким образом, при пенообразовании диффузия поверхностно-активного компонента из объема раствора к вновь образующейся поверхности должна происходить довольно медленно. В противном случае адсорбция ПАВ на поверхности приведет к уменьшению поверхностного натяжения, поэтому временное растяжение пенной пленки может стать постоянным, и в результате пленка теряет упругость и стабильность.


Рис. 3. При растяжении пенной пленки вследствие механических вибраций или термической нестабильности поверхностная концентрация поверхностно-активного вещества в месте растяжения внезапно понижается, вызывая тем самым увеличение поверхностного натяжения и восстанавливающую силу
Чтобы пенная пленка обладала упругостью, пенообразователь не должен диффундировать из пленки к вновь возникающей поверхности, раньше чем пленка вернется в исходное состояние. Поверхностно-активные вещества с большими значениями ККМ, обеспечивающие высокие концентрации в растворе молекулярно растворенного ПАВ, не образуют устойчивых пен, так как при этом диффузия ПАВ из пленки к вновь возникающим поверхностям приводит к адсорбции на них ПАВ до релаксации пленки. Плохими пенообразователями являются и немицеллообразующие вещества. Например, водные растворы этанола не вспениваются, несмотря на то что этанол снижает поверхностное натяжение воды.
Четыре силы, действующие на пену
Прежде всего очевидно, что на пену действует сила гравитации. Она вызывает дренаж жидкости между газовыми пузырьками. Дренаж можно замедлить, либо повысив вязкость раствора, либо введя твердые частицы или капли эмульсии. Частицы захватываются каналами и замедляют дренаж из-за локального повышения вязкости.
Таблица 1. Основные силы, действующие в пенах
| Природа силы |
Влияние на пену |
Гравитация
Разница давлений в пленках и каналах Разница давлений газа в пузырьках различного размера
Перекрывание двойных электрических слов
|
Дренаж жидкости из пены Вытекание жидкости в каналы Диффузия газа из маленьких пузырьков в большие
Увеличение устойчивости пены
|

Рис. 4. Капли эмульсии или суспендированные частицы локализуются в каналах и замедляют дренаж жидкости в пенах
В устойчивых высокократных пенах, в которых образуются тонкие пленки, дренаж под действием сил гравитации постепенно уступает место дренажу под действием капиллярных сил. Капиллярные силы появляются из-за того, что гидростатическое давление в канале ниже давления в пленке. Пониженное давление вызвано отрицательной кривизной поверхности жидкости в каналах. Разница давления приводит к вытеканию жидкости из пленки в каналы, что может приводить к неустойчивости пленки.
Третья сила, действующая на пены, менее очевидна. Она возникает потому, что давление газа внутри пузырька обратно пропорционально его размеру. Вследствие этого в маленьких пузырьках давление больше, чем в больших; поэтому происходит транспорт газа через жидкость от маленьких пузырьков к большим. Таким образом, существует возможность разрушения пены вообще без разрыва пленок. Перенос газа через дисперсионную среду пропорционален растворимости газа в жидкости, поэтому устойчивость пены из пузырьков аргона выше устойчивости пены из пузырьков углекислого газа при условии, что пены получают из раствора одного и того ПАВ и при соблюдении прочих одинаковых условия.
Четвертая сила, действующая на пены, проявляется в очень стабильных пенах, в которых образуются очень тонкие пленки. В них происходит перекрывание двойных электрических слоев, создающихся адсорбционными слоями ПАВ на границе жидкость-воздух. В результате перекрывания ДЭС возникает отталкивание, препятствующее дальнейшему утончению пленки. Это отталкивание проявляется в зависимости от ионной силы системы на расстояниях от 10 до 100 нм. Недавно было установлено, что даже неионные ПАВ сообщают поверхности небольшой отрицательный заряд, происхождение которого до сих пор остается дискуссионным.
Добавление соли сжимает двойной электрический слой, что приводит к потери устойчивости пен. В то же время, как будет показано ниже, введение соли увеличивает критический параметр упаковки ионного ПАВ и, следовательно, влияет на поверхностную активность. В большинстве случаев это способствует пенообразованию. Таким образом, при добавлении солей проявляются два противоположных эффекта; публикации по этому вопросу весьма противоречивы.
Наконец, фактором, имеющим очевидное влияние на время жизни пен, является вязкость жидкости. Естественно, что очень вязкие пены обладают повышенной устойчивостью, например пены для матрацев, взбитые сливки или крем для бритья. Во многих случаях, когда поверхностные слои на границе вода-воздух имеют большую вязкость, совсем не нужно, чтобы большой вязкостью обладала дисперсионная среда. Это наблюдается в том случае, когда в системе образуются ламелярные жидкокристаллические фазы. Они концентрируются на поверхности вода-воздух, локально повышая вязкость и, следовательно, устойчивость пен.
Использование концепции критического параметра упаковки
Пенообразующая способность тесно связана с критическим параметром упаковки поверхностно-активного вещества. При увеличении КПУ поверхностно-активное вещество формирует на поверхности вода - воздух плотно заполненные адсорбционные слои с высокой когезией. Это обеспечивает хорошую когезию и в жидких пленках, приводя к повышению поверхностной упругости и вязкости, что определяет высокую пенообразующую способность и стабильность пены. Согласно этому механизму, пенообразующая способность должна непрерывно увеличиваться с ростом КПУ.
Однако пенообразующая способность зависит не только от когезии монослоев ПАВ. Другим, не менее важным фактором является вероятность самопроизвольного образования и роста «дырок» в пенной пленке. Термические и механические флуктуации в пенной пленке приводят к образованию неустойчивых дырок молекулярного размера. Образование дырок происходит легче в системах, содержащих ПАВ с большими значениями КПУ, потому что дырки имеют большую кривизну, и энергия образования дырки для систем ПАВ с низкими значениями КПУ гораздо больше, чем для систем ПАВ с высокими значениями КПУ. Согласно этим представлениям, пенообразующая способность и устойчивость пен должны уменьшаться при увеличении КПУ.
Таким образом, увеличение КПУ системы ПАВ оказывает на пену двоякое действие: когезия в пленке увеличивается, что повышает пенообразующую способность, и вероятность образования дырки увеличивается,. Поэтому можно ожидать, что пенообразующая способность проходит через максимум по мере изменения КПУ, что схематически показано на рис. 6.

Рис. 5. а — Самопроизвольное образование дырок в пенной пленке вследствие термических или механических флуктуации, б — ПАВ с большими значениями КПУ способствуют образованию дырок

Рис. 6. По мере изменения КПУ в пене проявляются два противоположно действующих эффекта, вследствие чего при некотором значении КПУ пенообразующая способность имеет максимум
В точке максимума оба фактора уравновешивают друг друга. При более высоких значениях КПУ преобладает вероятность образования дырок, а при низких — нарушается когезия монослоев ПАВ в пленке. Это общая закономерность проиллюстрирована ниже на нескольких примерах.
Значение КПУ неионных ПАВ легко варьировать изменением длины полиок-сиэтиленовой цепи. Рис. 7 отражает пенообразующую способность водных растворов этоксилированных нонилфенолов NP-En
. Отчетливый максимум наблюдается при содержании полиоксиэтиленовых групп в составе поверхностно-активного компонента 75-85 мас.%, что соответствует НС-ЕПри использовании NP-Ew
с небольшим числом оксиэтиленовых групп доминирует образование дырок в пенных пленках; а для NP-Ew
с числом оксиэтиленовых групп больше 20 уменьшение пенообразующей способности связано с отсутствием хорошей когезии между монослоями ПАВ, формирующими пленку.
Значения КПУ неионных ПАВ можно также варьировать путем изменения температуры. При низких температурах полиоксиэтиленовые цепи принимают развернутую конформацию, что приводит к увеличению размера полярной «головки» ПАВ и, следовательно, к уменьшению КПУ. При повышенных температурах полиоксиэтиленовые цепи принимают более компактную форму, что приводит к увеличению значений КПУ. Максимальная пенообразующая способность достигается, согласно предложенному механизму, при температурах ниже точки помутнения.
Величину КПУ ионных ПАВ можно варьировать изменением длины углеводородных цепей. На этом рисунке представлена зависимость объема пены, полученной из водных растворов алкилсульфатов при 60 °С, от числа атомов углерода в алкильной цепи. Максимальный объем пены получается в случае алкилсульфата, содержащего в алкильной цепи 16 атомов углерода. Для ПАВ с более короткими алкильными цепями уменьшение пенообразующей способности преимущественно определяется нарушением когезии между монослоями ПАВ. Тогда как в случае ПАВ с более длинными алкильными цепями разрушение пены происходит по механизму образования дырок. Опыты проводились при температуре 60 °С, чтобы все системы находились заведомо выше точки Крафта.

Рис. 7. Зависимость высоты столба пены от содержания оксиэтиленовых цепей в молекуле ПАВ. Этоксилированные алкил фенолы обладают максимальной пенообразующей способностью при 75%-ном содержании в молекуле ПАВ оксиэтиленовых групп. Данные получены методом Росса-Майлса

Рис. 8. Зависимость объема пены от числа атомов углерода в алкильной цепи алкилсульфатов при 60°С. Объем пены максимален для гексадецилсульфата
Значения КПУ систем, содержащих анионные ПАВ, чувствительны также к добавкам неионных длинноцепочечных дифильных веществ - жирных кислот и спиртов. Эти вещества увеличивают значение КПУ системы в целом, что приводит к увеличению пенообразующей способности по сравнению с исходной системой с небольшими значениями КПУ. Видно, что пенообразование при стабилизации водными растворами мыл зависит от рН. При высоких значениях рН жирные кислоты диссоциированы. При этом образуются мыла с низкими значениями КПУ, что сопровождается снижением пенообразующей способности из-за нарушения когезии монослоев ПАВ в пенных пленках. При низких рН, когда ПАВ представлено в основном недиссоциированными жирными кислотами, пенообразующая способность также невелика. Но в этом случае повышается вероятность возникновения дырок из-за больших значений КПУ. Максимальная пенообразующая способность сдвигается в сторону больших значений рН для длинных алкильных цепей. При удлинении алкильной цепи значение КПУ увеличивается, и для баланса двух указанных сил требуются ПАВ с большим зарядом.
Таким образом, пенообразование контролируется параметром КПУ системы, так что максимальная пенообразующая способность достигается при промежуточных значениях КПУ. Однако такой подход содержит некоторые «ловушки», что было обнаружено, например, при изучении влияния на пены солей. В системах, содержащих ионные ПАВ, добавки солей приводят к увеличению КПУ. И для систем с низкими значениями КПУ пенообразование при введении солей должно увеличиваться. Но это происходит не всегда, поскольку при увеличении концентрации соли понижается отталкивание двойных электрических слоев между двумя поверхностями жидкость-газ в пленках, что приводит к уменьшению и пенообразующей способности, и устойчивости пен.

Рис. 9. Зависимость высоты столба пены от рН растворов жирных кислот при 50 0
C Пенооб-разующая способность имеет максимум при промежуточных значениях рН.
Влияние полимеров на устойчивость пен
Водорастворимые полимеры входят в состав многих технологических композиций на основе водных растворов поверхностно-активных веществ, поэтому важно знать, как взаимодействие между полимерами и ПАВ влияет на устойчивость пен. Чтобы разобраться в этой проблеме, рассмотрим систему, в состав которой входят поливинилпирролидон и додецилсульфат натрия.
При концентрациях ниже ККМ, когда поверхностно-активное вещество не образует ассоциатов в объеме раствора, полимер и ПАВ сильно взаимодействуют на поверхности, о чем свидетельствует понижение поверхностного натяжения. Оно понижается вследствие усиления адсорбции ПАВ, индуцированного присутствием полимера. В этих условиях устойчивость пен при добавлении полимера увеличивается. По-видимому, полимер локализуется вблизи полярных групп ПАВ, при этом увеличивается поверхностная вязкость и стерическое отталкивание между двумя поверхностями в пенной пленке, что обусловливает повышение стабильности пены.
Когда концентрация становится выше ККМ, полимер начинает ассоциироваться с мицеллами ПАВ в водной фазе и десорбируется с поверхности. Это приводит к нехватке поверхностно-активного вещества на поверхности для обеспечения поверхностной упругости, необходимой для стабилизации пенных пленок, тогда как в отсутствие полимера поверхность в данной концентрационной области насыщена поверхностно-активным компонентом. Такая ситуация отвечает понижению устойчивости пены при введении полимера.
Наконец, при достаточно высокой при концентрации ПАВ, когда весь полимер, присутствующий в системе, расходуется на образование комплекса полимер-мицелла, устойчивость пены по сравнению с системой без полимера увеличивается. Причина повышения устойчивости пены при возникновении комплексов полимер-мицелла заключается в повышении объемной и поверхностной вязкостей, что замедляет дренаж пены.
Стабилизация пен частицами и белками
Твердые частицы и поверхностно-активные высокомолекулярные вещества, например белки, составляют две другие группы стабилизаторов пен в водных растворах. Известны два различных механизма стабилизации пен твердыми частицами. Об одном из них уже упоминалось выше при обсуждении дренажа пен. Диспергированные частицы захватываются каналами, при этом скорость дренажа понижается. Этот механизм осуществим, когда частицы не обладают сродством к поверхности жидкость-воздух и полностью диспергированы в дисперсионной среде.
По второму механизму частицы действуют как поверхностно-активные компоненты. Для гидрофильных частиц это достигается модифицированием путем адсорбции или химического «пришивания» к поверхности частиц гидрофобных фрагментов. Слишком высокая гидрофобность частиц приведет к их осаждению. Если получить частично гидрофобизированные частицы, они будут вести себя как поверхностно-активные вещества и проявлять сродство к поверхности вода-воздух. Такие системы образуют очень устойчивые пены. Наилучшая стабилизация достигается, когда краевой угол воды близок к 90°. В этом случае одна половина частицы погружена в жидкость, в другая находится на воздухе.
Аналогичным образом белки стабилизируют пены при значениях рН, близких к изоэлектрической точке. Сильно заряженные белки обычно легко растворяются в воде и не обнаруживают поверхностной активности, а при рН, близких к изоэлектрической точке, белки менее растворимы. Поверхностная активность полимера повышается при уменьшении объемной растворимости. Это справедливо и для белков. Белки концентрируются на границе раствор-воздух по мере приближения рН к изоэлектрической точке. Повышение поверхностной активности отражается в повышении пенообразующей способности. Однако в изоэлектрической точке уменьшается растворимость белка.

Рис. 10. Твердые частично гидрофобизированные частицы действуют как пенообразователи. Оптимальная стабилизация пен достигается, если частицы образуют с водой краевой угол -90°
Пеногасители
В промышленных процессах пенообразование обычно нежелательно, поскольку оно препятствует производству продукта с высокими скоростями. Если пена все-таки появляется в таких системах, как правило, для борьбы с ней в систему вводят вещества, обладающие пеногасящими свойствами. Обычно это поверхностно-активные вещества или системы, разрушающие пену за счет растекания по пенной пленке. Например, пены, стабилизированные ионными ПАВ, можно легко разрушить, распыляя октанол поверх пены. Капли октанола, обладая очень низким поверхностным натяжением, растекаются по пенным пленкам. Этот процесс захватывает слой жидкости под поверхностью, вызывая утончение пенной пленки вплоть до ее разрыва.
Отметим, что октанол можно использовать только путем его распыления. Предварительное смешивание октанола с раствором ПАВ может, наоборот, привести к стабилизации пены, поскольку добавки октанола часто приводят к образованию ламелярной жидкокристаллической фазы с очень высокой способностью стабилизировать пенные пленки. Понятно, что октанол следует использовать с осторожностью, поскольку в конце концов могут образоваться даже более устойчивые пены. Другой механизм пеногашения под действием органических веществ, в том числе и октанола, может состоять в локальном увеличении общего КПУ системы из-за внедрения органических молекул между углеводородными фрагментами молекул ПАВ в монослое на границе вода-воздух. При этом возрастает вероятность возникновения дырок в пенных пленках, в результате происходит понижение пенообразующей способности.

Рис. 11. Согласно общепринятому механизму пеногашения, пеногаситель растекается по поверхности пенной пленки и выталкивает из нее слой жидкости, вызывая утончение пленки вплоть до ее разрыва
С учетом механизма растекания разрабатываются составы моющих средств для посудомоечных машин. Обычно для этих целей используют очень гидрофобные ПАВ типа EOn
- POm
- EOw
или POm
- EOw
- POm
. Такие ПАВ в воде образуют дисперсии, действующие по механизму растекания.
Еще один тип широко используемых пеногасителей основан на силиконовом или минеральном маслах. Капли масла из объема жидкости внедряются в поверхность вода-воздух и растекаются по ней, вызывая разрушение пены, поскольку масла совсем не обладают упругостью. Условие растекания масла по поверхности воды состоит в том, что коэффициент растекания должен быть положительным:

где Ywи г0
— поверхностное натяжение жидкости, образующей пену, и гасящего пену масла соответственно; yw
/0
— межфазное натяжение на границе между этими жидкостями. Поверхностное натяжение органических жидкостей обычно находится в интервале от 25 до 40 мН/м, что близко к значениям поверхностного натяжения пенообразующей жидкости в условиях, когда растворенные в ней ПАВ стабилизируют пену. В связи с этим условие растекания требует, чтобы межфазное натяжение границы раздела пеногасящее масло-пенообразующая жидкость было очень низким. Если неравенство не выполняется, масло образует на поверхности вода-воздух линзы. Силиконовые масла относятся к очень хорошим пеногасителям, поскольку имеют низкое поверхностное натяжение и очень низкое межфазное натяжение на поверхности силиконовое масло-вода. Но иногда силиконовые масла оказывают вредное влияние на свойства конечного продукта, тогда их нужно заменять другими веществами с аналогичными свойствами, например минеральными маслами. Эти масла часто имеют более высокие межфазные натяжения на границе минеральное масло-вода, и в этом случае они не растекаются самопроизвольно по поверхности вода-воздух. Для инициирования растекания в минеральные масла вводят определенные ПАВ, например длинноцепочечные жирные амиды. ПАВ адсорбируются на межфазной границе масло-вода, понижая межфазное натяжение. Такие добавки не должны растворяться в водной фазе, поскольку в противном случае они будут переходить из минерального масла в воду, понижая эффективность действия пеногасителя.
В качестве добавок к минеральным маслам-пеногасителям используют также и твердые частицы. Их роль заключается в разрушении так называемых псевдоэмульсионных пленок, иногда возникающих между каплей масла и воздухом. Такая псевдоэмульсионная пленка препятствует вхождению капель масла в поверхностный слой, несмотря на энергетический выигрыш процесса. По-видимому, это происходит из-за высокой вязкости таких пленок.
|