Банк рефератов содержит более 364 тысяч рефератов, курсовых и дипломных работ, шпаргалок и докладов по различным дисциплинам: истории, психологии, экономике, менеджменту, философии, праву, экологии. А также изложения, сочинения по литературе, отчеты по практике, топики по английскому.
Полнотекстовый поиск
Всего работ:
364139
Теги названий
Разделы
Авиация и космонавтика (304)
Административное право (123)
Арбитражный процесс (23)
Архитектура (113)
Астрология (4)
Астрономия (4814)
Банковское дело (5227)
Безопасность жизнедеятельности (2616)
Биографии (3423)
Биология (4214)
Биология и химия (1518)
Биржевое дело (68)
Ботаника и сельское хоз-во (2836)
Бухгалтерский учет и аудит (8269)
Валютные отношения (50)
Ветеринария (50)
Военная кафедра (762)
ГДЗ (2)
География (5275)
Геодезия (30)
Геология (1222)
Геополитика (43)
Государство и право (20403)
Гражданское право и процесс (465)
Делопроизводство (19)
Деньги и кредит (108)
ЕГЭ (173)
Естествознание (96)
Журналистика (899)
ЗНО (54)
Зоология (34)
Издательское дело и полиграфия (476)
Инвестиции (106)
Иностранный язык (62791)
Информатика (3562)
Информатика, программирование (6444)
Исторические личности (2165)
История (21319)
История техники (766)
Кибернетика (64)
Коммуникации и связь (3145)
Компьютерные науки (60)
Косметология (17)
Краеведение и этнография (588)
Краткое содержание произведений (1000)
Криминалистика (106)
Криминология (48)
Криптология (3)
Кулинария (1167)
Культура и искусство (8485)
Культурология (537)
Литература : зарубежная (2044)
Литература и русский язык (11657)
Логика (532)
Логистика (21)
Маркетинг (7985)
Математика (3721)
Медицина, здоровье (10549)
Медицинские науки (88)
Международное публичное право (58)
Международное частное право (36)
Международные отношения (2257)
Менеджмент (12491)
Металлургия (91)
Москвоведение (797)
Музыка (1338)
Муниципальное право (24)
Налоги, налогообложение (214)
Наука и техника (1141)
Начертательная геометрия (3)
Оккультизм и уфология (8)
Остальные рефераты (21692)
Педагогика (7850)
Политология (3801)
Право (682)
Право, юриспруденция (2881)
Предпринимательство (475)
Прикладные науки (1)
Промышленность, производство (7100)
Психология (8692)
психология, педагогика (4121)
Радиоэлектроника (443)
Реклама (952)
Религия и мифология (2967)
Риторика (23)
Сексология (748)
Социология (4876)
Статистика (95)
Страхование (107)
Строительные науки (7)
Строительство (2004)
Схемотехника (15)
Таможенная система (663)
Теория государства и права (240)
Теория организации (39)
Теплотехника (25)
Технология (624)
Товароведение (16)
Транспорт (2652)
Трудовое право (136)
Туризм (90)
Уголовное право и процесс (406)
Управление (95)
Управленческие науки (24)
Физика (3462)
Физкультура и спорт (4482)
Философия (7216)
Финансовые науки (4592)
Финансы (5386)
Фотография (3)
Химия (2244)
Хозяйственное право (23)
Цифровые устройства (29)
Экологическое право (35)
Экология (4517)
Экономика (20644)
Экономико-математическое моделирование (666)
Экономическая география (119)
Экономическая теория (2573)
Этика (889)
Юриспруденция (288)
Языковедение (148)
Языкознание, филология (1140)

Реферат: Однофазный трёхуровневый преобразователь с улучшенным гармоническим спектром входного тока

Название: Однофазный трёхуровневый преобразователь с улучшенным гармоническим спектром входного тока
Раздел: Рефераты по коммуникации и связи
Тип: реферат Добавлен 17:29:02 07 апреля 2007 Похожие работы
Просмотров: 40 Комментариев: 14 Оценило: 2 человек Средний балл: 5 Оценка: неизвестно     Скачать

.

Выпрямители применяются в достаточно большом количестве преобразовательных устройств и систем,. К ним, прежде всего, можно отнести системы для электрических приводов, телекоммуникационные устройства, электролизные и электротермические установки, сварочные и зарядные аппа­раты, системы бесперебойного электропитания и т. д. По сути перечисленное оборудование является нелинейной нагрузкой, применение которой приводит к возникновению искажений тока и напряжения в питающей сети, вследствие чего возникают проблемы, связанные с электромагнитной совместимостью источника питания и нагрузки. Поэтому необходимо нормировать отрицательное воздействие нелинейных нагрузок на питающую сеть. В России разработаны системы стандартов и сертификации по электромагнитной совместимости.

В настоящее время предложено большое разнообразие выпрямительных схем, позволяющих улучшить гармонический состав входного тока. В зару­бежных публикациях уже предлагаются некоторые классификации выпрямительных схем, позволяющие выделить отдельные группы схем выпрямителей по тем или иным общим признакам. Руководствуясь классификацией, можно выделить две основные группы выпрямителей - "Unidirectional" и "Bidirectional", каждая из которых включает в себя следующие виды выпрямителей: Boostrectifier, Buckrectifier, Buck-Boostrectifier, Multilevelrectifier, Multipulserectifier. В России исследовательские работы в отношении перечисленных схем выпрямителей ведутся достаточно активно.

В последнее время усилился интерес к многоуровневым выпрямителям (Multilevelrectifier), позволяющим формировать входной ток, близкий к синусоиде. Несмотря на достаточно большое количество работ, посвящённых исследованию многоуровневых выпрямительных схем, остаются вопросы, которые по тем или иным причинам освещены в меньшей степени.

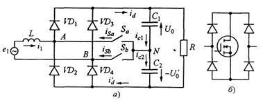
Рассмотрим алгоритмы управления дополнительными двунаправленными ключами однофазного трёхуровневого выпрямителя, проводём анализ электромагнитных процессов, позволяющий выявить свойства выпрямителя, выведем соотношения для токов и напряжений элементов схемы, а также внешней характеристики.

Схема выпрямителя приведена на рис. 1а, а на рис. 1б - одна из возможных схемных реализаций, применяемых в схеме, дополнительных двунаправленных ключей S а Sb .

Свойства рассматриваемого выпрямителя во многом зависят от алгоритмов управления дополнительными ключами. Используя широтно-импульсную модуляцию работы ключей можно добиться низкого содержания неосновных гармоник во входном токе выпрямителя. Однако хорошего качества входного тока возможно достичь и при других алгоритмах управления ключами Sa , Sb , при которых осуществляется их низкочастотное переключение. Это позволяет в значительной степени снизить коммутационные потери.

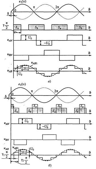
На рис.2, а, б отражены эпюры, характеризующие два возможных алгоритма управления двунаправленными ключами выпрямителя. Условимся называть их алгоритм I и алгоритм II. При этом Sa , Sb - длительности включённого состояния двунаправленных ключей; uAN и uBN - напряжения на зажимах А и В относительно точки N ; uAB - напряжение между зажимами А и В; U 0 и U 0 - напряжения на конденсаторах C1 и С2 соответственно.

Алгоритм I. Основной принцип данного алго­ритма заключается в том, что на определённых интервалах работают ключи Sa , Sb , а между ними -диоды выпрямителя рис.2, а. Длительность интервалов управления ключами определяется коэффициентом γ, изменяющимся в пределах 0-1. Рассматриваемый алгоритм позволяет обеспечить форму входного тока (i1 ), близкую к синусоиде, в этой связи при анализе будем полагать, что ток входной фазы выпрямителя синусоидальный. При этом токи id и i ' d , формирующиеся в схеме, будут иметь вид, показанный на рис.3.

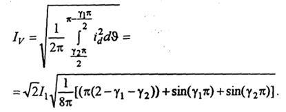
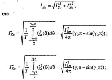
Алгоритм II . Второй алгоритм отличается от первого наличием интервала совместной работы ключей Sa Sb и позволяет получить меньший коэффициент гармоник входного тока по сравнению с алгоритмом I. При анализе будем, как и ранее, полагать, что входной ток выпрямителя чисто синусоидальный. Тогда, как видно из рис.4, ток ключей S а , Sb содержит в себе две составляющие i ', i ", формирующиеся от двух интервалов работы ключей. Таким образом, действующее значение тока, например ключа S а ,

γ1 = 0÷1 - коэффициент, определяющий длительность узкого импульса управления для дополнительных ключей; γ2 = 0÷1 - коэффициент, опреде­ляющий длительность широкого импульса управления для дополнительных ключей.

Следовательно,

Очевидно, что ISa = ISb . Согласно рис.4 максимальное значение токов ключей S а Sb определяется следующим соотношением:

Действующее значение токадиода выпрямителя для рассматриваемого алгоритма

Согласно рис 4, среднее значение тока:

Оценить/Добавить комментарий
Имя
Оценка
Комментарии:
Срочная помощь учащимся в написании различных работ. Бесплатные корректировки! Круглосуточная поддержка! Узнай стоимость твоей работы на сайте 64362.ru
17:20:15 11 сентября 2021
Привет студентам) если возникают трудности с любой работой (от реферата и контрольных до диплома), можете обратиться на FAST-REFERAT.RU , я там обычно заказываю, все качественно и в срок) в любом случае попробуйте, за спрос денег не берут)
Olya19:26:53 25 августа 2019
.
.19:26:52 25 августа 2019
.
.19:26:51 25 августа 2019
.
.19:26:50 25 августа 2019

Смотреть все комментарии (14)
Работы, похожие на Реферат: Однофазный трёхуровневый преобразователь с улучшенным гармоническим спектром входного тока

Назад
Меню
Главная
Рефераты
Благодарности
Опрос
Станете ли вы заказывать работу за деньги, если не найдете ее в Интернете?

Да, в любом случае.
Да, но только в случае крайней необходимости.
Возможно, в зависимости от цены.
Нет, напишу его сам.
Нет, забью.



Результаты(286228)
Комментарии (4152)
Copyright © 2005-2021 HEKIMA.RU [email protected] реклама на сайте