Банк рефератов содержит более 364 тысяч рефератов, курсовых и дипломных работ, шпаргалок и докладов по различным дисциплинам: истории, психологии, экономике, менеджменту, философии, праву, экологии. А также изложения, сочинения по литературе, отчеты по практике, топики по английскому.
Полнотекстовый поиск
Всего работ:
364139
Теги названий
Разделы
Авиация и космонавтика (304)
Административное право (123)
Арбитражный процесс (23)
Архитектура (113)
Астрология (4)
Астрономия (4814)
Банковское дело (5227)
Безопасность жизнедеятельности (2616)
Биографии (3423)
Биология (4214)
Биология и химия (1518)
Биржевое дело (68)
Ботаника и сельское хоз-во (2836)
Бухгалтерский учет и аудит (8269)
Валютные отношения (50)
Ветеринария (50)
Военная кафедра (762)
ГДЗ (2)
География (5275)
Геодезия (30)
Геология (1222)
Геополитика (43)
Государство и право (20403)
Гражданское право и процесс (465)
Делопроизводство (19)
Деньги и кредит (108)
ЕГЭ (173)
Естествознание (96)
Журналистика (899)
ЗНО (54)
Зоология (34)
Издательское дело и полиграфия (476)
Инвестиции (106)
Иностранный язык (62791)
Информатика (3562)
Информатика, программирование (6444)
Исторические личности (2165)
История (21319)
История техники (766)
Кибернетика (64)
Коммуникации и связь (3145)
Компьютерные науки (60)
Косметология (17)
Краеведение и этнография (588)
Краткое содержание произведений (1000)
Криминалистика (106)
Криминология (48)
Криптология (3)
Кулинария (1167)
Культура и искусство (8485)
Культурология (537)
Литература : зарубежная (2044)
Литература и русский язык (11657)
Логика (532)
Логистика (21)
Маркетинг (7985)
Математика (3721)
Медицина, здоровье (10549)
Медицинские науки (88)
Международное публичное право (58)
Международное частное право (36)
Международные отношения (2257)
Менеджмент (12491)
Металлургия (91)
Москвоведение (797)
Музыка (1338)
Муниципальное право (24)
Налоги, налогообложение (214)
Наука и техника (1141)
Начертательная геометрия (3)
Оккультизм и уфология (8)
Остальные рефераты (21692)
Педагогика (7850)
Политология (3801)
Право (682)
Право, юриспруденция (2881)
Предпринимательство (475)
Прикладные науки (1)
Промышленность, производство (7100)
Психология (8692)
психология, педагогика (4121)
Радиоэлектроника (443)
Реклама (952)
Религия и мифология (2967)
Риторика (23)
Сексология (748)
Социология (4876)
Статистика (95)
Страхование (107)
Строительные науки (7)
Строительство (2004)
Схемотехника (15)
Таможенная система (663)
Теория государства и права (240)
Теория организации (39)
Теплотехника (25)
Технология (624)
Товароведение (16)
Транспорт (2652)
Трудовое право (136)
Туризм (90)
Уголовное право и процесс (406)
Управление (95)
Управленческие науки (24)
Физика (3462)
Физкультура и спорт (4482)
Философия (7216)
Финансовые науки (4592)
Финансы (5386)
Фотография (3)
Химия (2244)
Хозяйственное право (23)
Цифровые устройства (29)
Экологическое право (35)
Экология (4517)
Экономика (20644)
Экономико-математическое моделирование (666)
Экономическая география (119)
Экономическая теория (2573)
Этика (889)
Юриспруденция (288)
Языковедение (148)
Языкознание, филология (1140)

Реферат: Применение систем диспетчерской централизации и диспетчерского контроля

Название: Применение систем диспетчерской централизации и диспетчерского контроля
Раздел: Рефераты по транспорту
Тип: реферат Добавлен 16:49:49 24 апреля 2009 Похожие работы
Просмотров: 964 Комментариев: 15 Оценило: 2 человек Средний балл: 5 Оценка: неизвестно     Скачать

Применение систем диспетчерской централизации и диспетчерского контроля

1. Технико-экономическая эффективность внедрения систем

Для оценки экономической эффективности инноваций используются показатели общественной и коммерческой эффективности. Общественная эффективность рассчитывается с учетом эффекта, достигаемого не только на железнодорожном транспорте, но и в других отраслях народного хозяйства. Коммерческая эффективность определяется эффектом, достигаемым на уровне отрасли, дороги или предприятия и используется для установления технико-экономической целесообразности диспетчеризации.

Расчет коммерческой эффективности базируется на анализе разности между притоком и оттоком денежных средств от инвестиционной, операционной и финансовой деятельности. Показателями эффективности инноваций являются чистый дисконтированный доход (или интегральный эффект), индекс доходности, внутренняя норма доходности, срок возврата (окупаемости) затрат.

Расчеты эффективности централизации оперативного управления выполняются для следующих основных направлений диспетчеризации, реализуемых на сети железных дорог Российской Федерации:

замена существующих центральных постов компьютерными с сохранением традиционных линейных пунктов систем "Нева", "Луч" и ЧДЦ;

оборудование участка компьютерной системой кодового управления;

внедрение на участке компьютерной системы диспетчерского контроля.

В первом случае определяется сравнительная экономическая эффективность с базовым вариантом - ЦП традиционной ДЦ. При модернизации ЦП, т.е. замене компьютерными, капитальные вложения должны быть направлены на проектирование, К; аппаратные средства К, программное обеспечение К, демонтаж оборудования старых систем К; монтажные работы компьютерных систем К, пуско-наладочные работы К, обучение персонала К.

Суммарные капитальные вложения:

При этом эффективность составят:

остаточная стоимость демонтируемого оборудования Сост;

уменьшение эксплуатационных расходов в результате сокращения численности обслуживающего персонала - регулировщиков ремонтно-технологического участка благодаря ликвидации реле Сшн; снижения затрат на содержание площадей служебно-технических помещений (периодическое выполнение косметического ремонта, уборка, плата за обогрев и т.д.) С; уменьшения затрат на электроэнергию благодаря снижению энергопотребления как собственно в компьютерных системах, так и на освещение при сокращении площадей С; получения дополнительного дохода от высвобождаемых площадей (сдача в аренду, возможность использования для других устройств или размещения служебного персонала и т.п.) из-за небольших размеров и массы компьютерных систем Свп; снижения потерь в движении благодаря дальнейшей автоматизации и новым функциям при применении компьютерных средств Сдв; изменения амортизационных отчислений из-за уменьшения основных фондов Сам.

При новом строительстве ДЦ на участке к капитальным вложениям центрального поста добавляются затраты Кпл на строительство здания. Однако благодаря небольшим размерам новых компьютерных систем их удается разместить в существующих помещениях диспетчеров. Тогда

Капитальные вложения на станциях распределяются на проектирование контролируемых пунктов ДЦ, К; оборудование КП на станциях участка К, программные средства КП К ; монтажные работы К ; пуско-наладочные работы К , обучение обслуживающего персонала К .

Общие капитальные вложения в устройства контролируемых пунктов участка

где: т - число станций участка.

Размеры составляющих капитальных вложений рассчитываются отдельно для каждой станции и определяются числом объектов управления, контроля и телеизмерения, что зависит от размеров станции (числа стрелок) и вида управления (диспетчерское, автономное).

Эксплуатационные расходы при оборудовании участка ДЦ определяются: потерями в движении Сп; затратами на электроэнергию Сэ; расходами на тепло Ст, материалы См, амортизационными отчислениями Са; расходами на зарплату работников дистанции сигнализации и связи Сш, службы движения Сд, на содержание помещений ДСП на станциях Спл.

С внедрением компьютерных систем ДЦ благодаря реализации новых функций достигается сокращение потерь в движении, обусловленных ошибками персонала и нерациональной организацией порядка пропуска поездов вследствие ограничений информационного обеспечения традиционных систем ДЦ с "жесткой" логикой. Этот эксплуатационный эффект достигается автоматизацией новых функций ДЦ (слежение за продвижением поездов и трансляция их номеров, прогнозирование хода технологического процесса в увязке с выполняемой маневровой работой на участке, а также с учетом реальных ограничений (уменьшение полезной длины путей, закрытие участков, действующие ограничения скорости, "окна" особенности путевого развития станций) на основе фактически исполненного графика движения). Кроме того, в современных системах ДЦ реализуются функции подсказки и речевого информирования об отказах и предотказных состояниях устройств в результате диагностирования, что обеспечивает принятие упреждающих организационных мероприятий по исключению задержек в перевозочном процессе.

Обеспечение функции контроля хода технологического процесса на смежных полигонах позволяет оптимизировать подвод поездов, работу локомотивов и бригад не на одном участке, а на расширенном полигоне регионального центра управления в целом. Автоматизация управляющих функций в новых системах (автодействие сигналов, АУМ, "автопилот") обеспечивает своевременность пропуска поездов, уменьшает время их дополнительных остановок. Сокращение потерь в движении как составляющая экономического эффекта диспетчеризации наиболее значима и обеспечивает снижение не только текущих издержек, но и капитальных вложении в подвижной состав, поскольку рациональное использование ресурсов обеспечивает выполнение объема перевозок меньшим парком вагонов и локомотивов.

Внедрение систем ДЦ влечет изменение структуры затрат на электроэнергию. С одной стороны, с внедрением контролируемых пунктов ДЦ и АРМов диспетчерского персонала потребление электроэнергии возрастает. Однако, с другой стороны, с переводом станций на кодовое управление уменьшается потребление электроэнергии на станциях, что связано с выключением табло ЭЦ, а также освещения в аппаратной у дежурного по станции. Учитывая низкую потребляемую мощность современными средствами вычислительной техники, в итоге обеспечивается экономия электроэнергии.

При переводе на диспетчерское управление сокращаются затраты на обогрев помещений на постах ЭЦ промежуточных станций. Экономический эффект определяется разностью потребления тепла при круглосуточном нахождении на станции персонала дежурных (необходимо поддерживать температуру не менее +18°С) после перевода станции на диспетчерское управление согласно действующим нормам для нормального функционирования постовой аппаратуры СЦБ температура должна быть не менее +5°С.

Внедрение на участке кодового управления сопровождается ростом технической оснащенности и влечет увеличение эксплуатационных затрат на материалы и амортизационные отчисления. Особенность составляют программные средства, стоимость которых и включается в основные средства. Поэтому См и Са определяются от стоимости основных фондов.

При этом также, обеспечивающих ремонт и обслуживание увеличивается штат работников дистанции сигнализации и связи устройств ДЦ. Дополнительная численность персонала определяется с учетом используемой элементной базы и технических особенностей внедряемой системы. Прежде всего, в расчете учитывается обслуживающий персонал центрального поста с обеспечением сменного дежурства. Резервирование технических средств КП и применение необслуживаемых средств вычислительной техники в системах ДЦ "Тракт" ДЦ-МПК не требует дополнительного персонала на линии для выполнения работ по профилактическому обслуживанию 376 устройств. Наличие в системе ДЦ "Сетунь" переходного релейного статива для дешифрации команд ТУ требует дополнительных затрат на обслуживание и проверку реле в РТУ дистанции С .

В то же время сокращается численность персонала службы движения - ДСП (на промежуточных станциях и разъездах, передаваемых на диспетчерское управление). Причем некорректным является включение в расчет эффективности ДЦ сокращение численности стрелочников, поскольку эта составляющая относится к ЭЦ. Этот эффект следует учитывать при расчетах эффективности капитальных вложений в целом, с учетом строительства ЭЦ.

Поскольку в основном режиме дежурные на станциях отсутствуют, также сокращаются эксплуатационные расходы на содержание помещений ДСП (уборка, косметический ремонт, расходные материалы и т.п.).

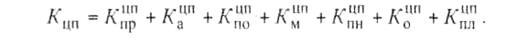
При внедрении систем диспетчерского контроля составляющие капитальных вложений на центральном посту и станциях такие же, как и при внедрении ДЦ. Дополнительно при внедрении диспетчерского контроля в состав капитальных вложений включаются аналогичные стоимости диагностирования и мониторинга К перегонных устройств СЦБ - сигнальных установок проходных светофоров автоблокировки и переездных установок. Для каждой из составляющих включают соответственно расходы на проектирование, аппаратные средства, программное обеспечение, монтаж и пусконаладочные работы, а также на обучение обслуживающего персонала:

где: п - число переездов; к - число сигнальных точек.

Изменение эксплуатационных расходов составят:

уменьшение потерь в движении вследствие сокращения задержек поездов благодаря возможности своевременного обнаружения и предотвращения отказов устройств;

сокращение потерь в движении из-за предоставления диспетчерскому персоналу информации о реальной поездной ситуации на участке;

увеличение расходов на зарплату штата работников дистанции сигнализации и связи Сш;

рост затрат на электроэнергию С амортизационные отчисления Са, материалы С.

Результаты расчетов технико-экономической эффективности (на примере системы ДЦ-МПК) наглядно отражает график движения денежных средств (рис.1), при этом практические вычисления показателей окупаемости внедрения компьютерных диспетчерских систем показывают наибольшую целесообразность внедрения систем с кодовым управлением станциями участка.

2. Внедрение компьютерных диспетчерских систем

Общие положения. В соответствии с инструкцией ЦШ-604 диспетчерская система должна пройти предварительные и эксплуатационные испытания и затем быть принята в постоянную эксплуатацию.

До ввода в опытную эксплуатацию устройств диспетчерского (кодового) управления в соответствии с установленным порядком должны быть разработаны и утверждены инструкции о порядке пользования устройствами. С заполнением журнала по утвержденным программам и методикам проводятся обучение и прием экзаменов у эксплуатационного и технического персонала.

По завершении монтажных и пуско-наладочных работ для подготовки к эксплуатационным испытаниям по согласованию с ЦШ МПС создается рабочая комиссия. Состав рабочей комиссии определяется начальником отделения железной дороги. В нее входят работники хозяйств сигнализации и связи, движения и электроснабжения, а также другие работники, обеспечивающие внедрение ДЦ, в том числе представители разработчика. Председателем комиссии, как правило, должен назначаться главный инженер отделения дороги.

Рабочая комиссия определяет соответствие устройств ДЦ нормативной и проектной документации:

на центральном посту проверяются соответствие проекту автоматизированного рабочего места поездного диспетчера, обеспеченность диспетчера устройствами связи и другими, без которых невозможно нормальное функционирование устройств диспетчерской централизации; соответствие используемых в АРМе поездного диспетчера условных графических отображений и индикации требованиям ОСТ 32.111-98;

питающие устройства, для определения соответствия нормативным требованиям обеспечения поста ДЦ электроэнергией. Предварительно питающие устройства должны быть проверены, отрегулированы и опробованы под нагрузкой;

наличие двух фидеров переменного тока, переключение питания при пропадании напряжения на одном из них, индикацию на вводной панели, а также работоспособность источников бесперебойного питания с испытаниями продолжительности их работы и напряжений срабатывания;

автоматический запуск дизель-генератора, если по условиям электроснабжения по проекту предусмотрена его установка;

сопротивление изоляции монтажа.

В линейном тракте измеряются параметры каналов передачи данных, в том числе уровни сигналов и скорость передачи.

Для проверки правильности функционирования аппаратуры центрального поста и линейных (контролируемых) пунктов диспетчерской централизации рабочая комиссия делится на две группы. Одна из них должна находиться во время проверки на ПУ, другая - на проверяемом контролируемом пункте. В каждой группе должны быть специалисты хозяйств сигнализации и связи, движения и представители разработчика.

На этом этапе проверяется правильность отображения на мониторах или табло диспетчера:

положения стрелок в маршруте, потери контроля положения стрелок;

свободности или занятости путей и стрелочных путевых участков, а также участков приближения и удаления;

замыкания трассы маршрута, в том числе охранных стрелок;

разрешающего показания поездных и маневровых светофоров;

других объектов, предусмотренных таблицей сигналов ТС для данного КП.

Проверка соответствия фактического положения контролируемых объектов отображению у поездного диспетчера может выполняться сравнением с индикацией на табло у дежурного по станции. При этом взаимодействие двух групп на КП и ПУ осуществляется посредством переговоров.

Правильность функционирования устройств ПУ и КП при передаче команд управления проверяется по контрольной информации, передаваемой КП. Выполняются проверки передачи команд с использованием всех предусмотренных в системе органов управления ("мыши", "трекбола", клавиатуры общего назначения или специализированной, пульта-манипулятора или другого управляющего аппарата ПУ), измеряются временные характеристики реакции системы.

Результаты измерений и проверок оформляются в виде таблиц, подписываются членами комиссии, принимавшими участие в проверке, и утверждаются председателем комиссии.

По окончании работы рабочей комиссии оформляются акт и протокол, подтверждающие готовность устройств к проведению испытаний по вводу в опытную эксплуатацию. На основании

уведомления дороги о готовности к опытной эксплуатации (адрес 13) МГТС назначает комиссию по вводу устройств ДЦ в опытную эксплуатацию.

Комиссия проверяет:

полноту и соответствие технической документации требованиям Инструкции ЦШ-604, а также проекту документа "Доказательство безопасности системы";

результаты работы рабочей комиссии (проверочные таблицы, протоколы, акты, соответствие измерений нормам и др.);

индикацию контролируемых объектов с указанием в протоколе соответствия изображения требованиям ОСТ 32.111-98;

правильность формирования, прохождения и исполнения команд управления;

соответствие функций системы требованиям технического задания на систему и ОСТ 32.112-98;

обнаружение прекращения поступления известительных сигналов с фиксацией времени реакции системы сравнением его с допустимой нормой (до 1 мин);

комплектность ЗИП оборудования (в объеме не менее 10% номенклатуры используемых изделий) и инсталляционных дискет (не менее двух комплектов) с программным обеспечением;

готовность обслуживающего и оперативного персонала.

Допускается выборочная проверка по пп.3 и 4 в объеме, допускаемом складывающейся поездной обстановкой с учетом ранее выполненных полных проверок рабочей комиссией. При вводе устройств в постоянную эксплуатацию дополнительно выполняются: анализ работы устройств за период опытной эксплуатации; проверка соответствия требованиям стандарта проекта технических условий на элементы ДЦ и наличие регистрации программного обеспечения в филиале отраслевого фонда алгоритмов и программ МПС по системам железнодорожной автоматики и телемеханики (филиал ОФАП МПС России СЖАТ).

После опытной эксплуатации устройств МПС назначается приемочная комиссия по включению устройств в промышленную (постоянную) эксплуатацию. На основании результатов ее работы оформляются акты и протоколы, а также уведомление (адрес 14). В выводах акта комиссии указывается целесообразность серийного производства системы.

Методы доказательства уровней безопасности и организация работ по экспертизе. В соответствии с законами РФ "О защите прав потребителей", "О сертификации продукции и услуг", "О федеральном железнодорожном транспорте" должна проводиться обязательная сертификация технических средств железнодорожного транспорта на соответствие требованиям безопасности, охраны труда и экологической чистоты, установленным в нормативных документах.

С этой целью Департаментом сигнализации, централизации и блокировки был разработан комплекс нормативных документов "Безопасность железнодорожной автоматики и телемеханики".

На основании этих документов проводятся экспертиза и испытания систем и устройств на безопасность, что позволяет обоснованно утверждать, обеспечивают или нет разрабатываемые системы железнодорожной автоматики и телемеханики требуемый уровень безопасности. Экспертиза на безопасность является первым этапом выполнения сертификационных работ.

Экспертизу проводят для оценки выполнения количественных и качественных требований по безопасности. Основные задачи экспертизы:

проверка правильности и полноты определения качественных и количественных требований (норм) безопасности;

проверка полноты и качества документации, а также правильности (безошибочности) функционирования системы и ее элементов:

проверка правильности расчета показателей безопасности;

анализ корректности и полноты критериев опасных отказов изделия;

анализ программно-аппаратных решений на безопасность:

анализ доказательства безопасности устройства (системы):

анализ методик и программ испытаний на безопасность;

разработка предложений (при необходимости) по корректировке требований безопасности; расчетных показателей безопасности; доказательства безопасности; методик и программ испытаний на безопасность.

Показатели безопасности следует рассчитывать по методикам, утвержденным ЦШ МПС.

Экспертизу на безопасность проводят, как правило, головные или базовые организации по сертификации (по видам техники), если они не являются разработчиками изделия, предъявленного на экспертизу. Порядок, место, сроки, а также необходимость составления графика проведения экспертиз устанавливает МПС или по его поручению разработчики изделия.

В соответствии с Порядком сертификации средств железнодорожной автоматики и телемеханики экспертиза осуществляется на каждой из стадий разработки: технического задания, эскизного проекта, технического проекта, рабочей документации и ввода в действие опытного образца. Разработчики и эксперты (контролеры) должны работать параллельно на каждом этапе разработки.

Кроме документации, представляемой разработчиком в соответствии со стадией разработки изделия, для экспертизы дополнительно представляются следующие документы: техническое задание на разработку изделия; программа обеспечения безопасности (ПОБ); проектная оценка показателей безопасности; доказательство безопасности; справка об использовании элементов, блоков и узлов, имеющих сертификат безопасности; перечень использованных при разработке государственных и отраслевых нормативных документов, регламентирующих вопросы безопасности изделий; материал о реализации выводов и предложений экспертизы, проведенной на предыдущих стадиях разработки изделия.

Программа обеспечения безопасности определяет перечень мероприятий, позволяющих гарантировать высокий уровень безопасности и охватывающих все этапы жизненного цикла системы или устройства ЖАТ.

Отчет по ПОБ позволяет судить об обоснованности выбранных решений по безопасности. Отчет по ПОБ входит в документ "Доказательство безопасности" и является одним из основных документов при проведении экспертизы на безопасность.

Организация, проводящая экспертизу, при необходимости более полного рассмотрения отдельных вопросов безопасности может затребовать дополнительные материалы или ознакомиться с ними у разработчика изделия,

Для проведения экспертизы МПС или по его поручению головной (базовой) организацией по сертификации (по видам техники) создается экспертная комиссия из числа ведущих

специалистов. При необходимости организация-разработчик выделяет специалистов для консультации экспертной комиссии.

Выводы и предложения экспертизы включаются в экспертное заключение. Разработчик при получении заключения экспертизы должен рассмотреть выводы и предложения и откорректировать рабочую документацию. Решение разработчика о принятии выводов и предложений или обоснование отклонения его отдельных пунктов направляется в организацию, проводившую экспертизу, или в МПС.

При наличии разногласий по результатам экспертизы между комиссией и разработчиком окончательное решение принимает МПС или организация, им уполномоченная.

Результаты работ по экспертизе являются основой для составления документа "Доказательство безопасности при реализации ответственных команд".

С точки зрения возможности допуска к опытной и постоянной эксплуатации разрабатываемых систем ДЦ в зависимости от степени готовности работ по доказательству безопасности при передаче ответственных команд можно выделить четыре этапа внедрения:

Использование опытных образцов на участках железных дорог по технологии, не требующей передачи ответственных команд, например на двух - и многопутных участках с односторонней автоблокировкой, а также аппаратуры компьютерных центральных постов, работающих с линейными пунктами эксплуатируемых систем "Нева" и "Луч".

Использование опытных образцов на малодеятельных участках железных дорог для систем ДЦ, процесс доказательства безопасности передачи ответственных команд которых не окончен, а также микроэлектронной аппаратуры линейных постов, работающих в протоколе передачи сигналов ТУ-ТС эксплуатируемых систем "Нева" и "Луч".

Использование опытных образцов на участках железных дорог для систем ДЦ, требования безопасности которых при передаче в телемеханическом канале, а также в аппаратуре центральных и линейных постов подтверждены в документе "Доказательство безопасности", согласованном с организацией, проводящей экспертизу.

Использование на участках железных дорог систем ДЦ, имеющих сертификат, выданный на соответствие требованиям безопасности при реализации ответственных команд.

После проведения опытной эксплуатации систем ДЦ проводятся собственно сертификационные испытания, результатом которых является выдача сертификата соответствия на безопасность системы.

3. Методы обслуживания

3.1 Испытательное и сервисное оборудование

Техническое обслуживание призвано обеспечить работоспособность устройств, состояние которых должно соответствовать требованиям ПТЭ и инструкций по техническому обслуживанию. Техническое обслуживание, ремонт и устранение отказов систем диспетчерской централизации выполняются работниками дистанции сигнализации и связи с соблюдением требований нормативной базы отрасли (инструкций и указаний), а также в соответствии с утвержденными технологическими картами и руководством по эксплуатации системы, разрабатываемых с учетом ее особенностей.

Для обеспечения надежной работы устройств ДЦ большое значение имеет качество регулирования сигналов ТУ и ТС на посту ДЦ, контролируемых пунктах, а также на усилительных и трансляционных пунктах. Регулирование уровней сигналов и параметров каналов фиксируется в соответствующих журналах. Аппаратуру линейных пунктов и каналы связи следует содержать в соответствии с Инструкцией по техническому обслуживанию кодовых устройств диспетчерской централизации системы, Инструкцией по техническому обслуживанию устройств сигнализации, централизации и блокировки (СЦБ) ЦШ/46160 и инструкциями по техническому обслуживанию средств связи.

Главным в обслуживании устройств ДЦ является предупреждение отказов. Проверяются состояние, износ и изменения технических характеристик приборов ДЦ. При нарушениях правильной работы прибора (узла) он подлежит замене запасным и должен быть отправлен в ремонтно-технологический участок (РТУ) для проверки и настройки. Поэтому для этого на центральном посту и на каждой линейной станции должен предусматриваться комплект ЗИП, содержащий по одному и более блоку каждого наименования.

В системах ДЦ предусматривается возможность быстрой замены оборудования резервным комплектом с последующим ремонтом устройств без прекращения функционирования системы. По установленным нормам периодичность замены и проверки аппаратуры каналов и полупроводниковых блоков составляет 5 лет.

В РТУ для проверки и регулировки аппаратуры ДЦ, а также для измерения электрических и временных характеристик реле и параметров полупроводниковых элементов применяют специальные испытательные пульты. Пульт содержит устройства проверки аппаратуры каналов ДЦ, логической аппаратуры, коммутационных и измерительных устройств, а также источники питания пульта. Испытательный пульт включает в себя металлический стенд, размещаемый на сборном столе, комплект измерительных приборов и шланговые соединители для подключения проверяемых блоков. В комплект измерительных приборов входят: электронный осциллограф для измерения временных параметров и определения формы сигналов, милливольтметр, частотомер, звуковой генератор, вольтамперметры, электро-секундомер для измерения временных параметров реле. Испытательный пульт применяется для индивидуальной проверки блоков. Исключение составляет проверка усилителя, требующего совместной работы с блоками формирования сигналов.

Проверяемый прибор подключается к соответствующему разъему стенда гибким шлангом. Для переключения пульта на проверку и регулировку того или иного прибора ключи и тумблеры коммутационно-измерительной панели устанавливают в соответствующие положения.

В процессе эксплуатации для проведения измерений параметров линейных цепей, источников питания, замены различных цепей резервными, контроля работы узлов предусматриваются вводно-испытательные щитки и панели с приборами и элементами индикации, размещаемые на стативах центрального поста и линейных пунктов.

Для проверки работы кодовых устройств на центральном посту устанавливается испытательный статив, на котором смонтирована приемо-передающая аппаратура сигналов ТУ и ТС, обеспечивающая прием, регистрацию и индикацию контрольными лампами и светодиодами приказов ТУ для линейных пунктов. Схема статива может быть настроена на передачу сигнала ТС от группы контролируемых объектов с любым номером.

В соответствии с эксплуатационно-техническими требованиями компьютерные системы ДЦ резервируются. Однако и в этом случае проводится техническое обслуживание аппаратуры, целью которого является предупреждение появления неисправностей, связанных со старением элементов, выходом из строя радиокомпонентов, деталей и узлов, которые при последующей эксплуатации могут привести к появлению отказов или неисправностей в работе.

Обслуживание технических средств компьютерных ДЦ должно включать в себя два аспекта:

периодическое профилактическое обслуживание технических средств специально подготовленным персоналом электромехаников поста ДЦ;

фирменное сервисное обслуживание и ремонт сменных модулей и блоков вычислительной техники. Оно осуществляется подразделениями, обслуживающими средства вычислительной техники (в гарантийный период - поставщиком вычислительной техники).

Кроме регламентных работ по контролю, измерениям и регулировкам параметров каналов и источников электроснабжения для компьютерных устройств ДЦ, периодическое профилактическое обслуживание включает в себя: внешний осмотр и чистку аппаратуры; внутреннюю проверку и чистку аппаратуры; проверку работоспособности источников бесперебойного питания.

Эти виды работ выполняются при непрерывном функционировании ДЦ благодаря резервированию системы. После завершения работ по техническому обслуживанию первого комплекта аппаратуры, включения питания и запуска его выполняются работы по техническому обслуживанию оборудования другого комплекта.

Для обеспечения высоких показателей готовности к выполнению редко затребываемых функций, например при передаче и реализации ответственных команд, проверяется функционирование аппаратуры.

При отказе устройств обслуживающим сменным персоналом выполняются работы по замене неисправного оборудования, используя ЗИП, а также проверяется правильность функционирования устройств после устранения отказа. Все переключения выполняются электромехаником в соответствии со схемами подключения устройств. Отказавшие устройства подлежат ремонту соответствующим подразделением (фирменное сервисное обслуживание) с предоставлением последним исправного оборудования для восстановления ЗИП.

В случае отказа системного блока для обеспечения аварийного запаса и сокращения времени восстановления на полученный исправный системный блок обслуживающим персоналом поста ДЦ с дискет (CD-диска) должно быть инсталлировано программное обеспечение в соответствии с Инструкцией по инсталляции программного обеспечения.

Технологический процесс по обслуживанию и ремонту сменных модулей и блоков вычислительной техники выполняется в соответствии с технологическими картами на систему.

Разработчиком после ввода в постоянную эксплуатацию осуществляется гарантийное сопровождение устройств и программного обеспечения, продолжительность которого составляет не менее одного года.

Техническим средством, обеспечивающим технологический процесс обслуживания компьютерных систем, является комплекс автоматизированного рабочего места электромеханика поста ДЦ (АРМ ШН). Функционально он включает в себя:

программно-аппаратные средства контроля и измерений параметров сигналов ТУ-ТС-ТИ (программный аналог осциллографа, сервисные программы измерения параметров канала);

программный модуль контроля оперативной поездной обстановки на участке;

программный модуль просмотра и анализа протоколов работы системы;

средства диагностирования аппаратуры ДЦ для проверки исправности модулей сопряжения;

программный модуль контроля функционирования источников бесперебойного питания;

программный аналог испытательного статива для контроля корректности обработки формируемых команд управления.

4. Организация электропитания систем

Основным условием бесперебойной работы систем диспетчерской централизации, в особенности использующей надежного электроснабжения устройств центрального поста (центра управления) и контролируемых пунктов. Прекращение действия ДЦ по причине отсутствия электроэнергии не влечет за собой угрозы нарушения условий безопасности перевозочного процесса. Однако косвенная угроза имеется, поскольку персонал вынужден регулировать движение без технических средств, что, кроме того, приводит к потерям в движении до перевода станций на резервное управление. По этой причине системы ДЦ являются потребителями электроэнергии особой группы 1 категории и должны получать питание от двух независимых источников энергии по двум фидерам (силовым кабелям) с автоматическим переключением питания с одного фидера на другой в случае пропадания напряжения. Емкость аккумуляторов рассчитывается на резервное питание устройств в течение 6 ч.

Электропитающая установка центрального поста ДЦ состоит из вводной панели ПВ-60 и панели выпрямителей ПДЦ. Вводная панель предназначена для подключения двух фидеров переменного тока и одного фидера от резервного источника, а также автоматического переключения нагрузки на работающий фидер при пропадании напряжения хотя бы одной из фаз работающего фидера. Коммутационная мощность панели составляет 60 кВА. На каждый диспетчерский круг устанавливаются панель ПДЦ и группа аккумуляторов, состоящая из двух секций по шесть аккумуляторов каждая.

Электроснабжение современных систем, основывающихся на средствах вычислительной техники, имеет некоторые особенности. Электронное оборудование компьютерных систем ДЦ в процессе эксплуатации оказывается под воздействием различных электромагнитных помех, большая часть которых распространяется по цепям электропитания. Эти факторы могут вызвать не только сбои в работе компьютера или другого электронного оборудования и потерю данных, но и необратимые процессы разрушения программного продукта, а также выход из строя аппаратуры. Статистика также свидетельствует, что по причинам, связанным со сбоями в электросети, в 75% случаев происходит потеря информации и в 65% выходит из строя электронное оборудование. Искаженное, нестабильное напряжение электропитания системы отрицательно воздействует на файл-серверы, рабочие станции и другую сетевую аппаратуру (концентраторы, маршрутизаторы, коммутаторы, мосты и пр.). Так, со снижением напряжения увеличивается потребляемый ток, в результате растет температура внутри корпуса системного блока, монитора, модемов и другого периферийного оборудования. Повышенная температура значительно сокращает срок службы многих элементов, особенно электролитических конденсаторов, приводит к выходу из строя полупроводниковых элементов.

Бесперебойное снабжение электропитанием электронных устройств позволяет избежать таких отказов.

Источники бесперебойного питания (ИБП) выполняют две основные функции: обеспечивают приемлемое качество электроэнергии на выходе и обеспечивают резервное электропитание в случае полного пропадания (или отклонения за пределы установленных норм) входного напряжения.

В состав любого ИБП входят следующие элементы: входной фильтр (ВФ), включающий в себя радиочастотный фильтр и подавитель импульсов; аккумуляторная батарея (АБ) с зарядным устройством (ЗУ); инвертор - преобразователь постоянного тока в переменный; в некоторых типах ИБП - преобразователь постоянного тока в постоянный ток другого номинального значения (конвертор); в некоторых типах ИБП - трансформаторы для развязки выхода от входа; схемы управления работой ИБП.

Способность ИБП обеспечивать заданные качество и бесперебойность питания нагрузки определяется его внутренней архитектурой, или классом.

Различают три класса источников: OFF-LINE (STANDBY), LINE-INTERACTIVE, ON-LINE.

В ИБП OFF-LINE электроэнергия внешнего снабжения через подавитель импульсов и радиочастотный фильтр передается на нагрузку (рис.2). В случае недопустимых возмущений или полного пропадания входного напряжения специальные ключи переводят подключаемую к ИБП нагрузку на АБ и инвертор.

Общим недостатком таких ИБП является разрыв синусоиды напряжения на выходе устройства на время 1-5 мс при переключении на резервный источник.

Благодаря большой суммарной входной емкости таких блоков питания, достаточной для поддержания номинального напряжения на его силовых элементах в течение такого промежутка времени (менее четверти периода синусоиды), в цепях вторичного электропитания компьютеров перерыва в электроснабжении не произойдет.

Рис.2. Структурная схема источника бесперебойного питания OFF-LINE

Однако для некоторых потребителей такой перерыв недопустим. К ним относятся, например, потребители с линейными (трансформаторными) блоками питания, маломощное (с точки зрения потребляемого тока) сетевое оборудование (репиторы, концентраторы, коммутаторы и др.).

Главными преимуществами таких ИБП являются высокий кпд и простота схемотехнических решений.

Схема ИБП ON-LINE построена по принципу двойного преобразования энергии (рис.3). Входное напряжение через фильтрующие элементы поступает на выпрямитель, затем на инвертор и далее на нагрузку. На входе и выходе этой цепи могут стоять трансформаторные развязки. Аккумуляторная батарея подключена к инвертору и в случае пропадания напряжения на входе сети нагрузка безобрывно переходит на питание от АБ. В случае нарушения работы какого-либо из элементов входное напряжение напрямую коммутируется на нагрузку (режим обхода - bypassmode).

Рис.3. Структурная схема источника бесперебойного питания ON-LINE

Такая технология имеет свои недостатки: снижение ресурса АБ, относительно низкий кпд, ограниченные динамические и перегрузочные возможности.

Однако бесспорными преимуществами ИБП ON-LINE являются: отсутствие разрыва кривой выходного напряжения при переходе на резервный источник; синусоидальная форма выходного напряжения в любом режиме работы; лучшие, по сравнению с другими ИБП, стабилизационные и помехоподавляющие характеристики. Поэтому такие ИБП находят применение для электропитания файловых серверов, телекоммуникационных систем, в АСУ управления ответственными технологическими комплексами, к которым относятся системы ДЦ, и др.

ИБП группы LINE-INTERACTIVE представляют собой разнообразные гибриды ON-LINE и STANDBY-систем. Их объединяет то, что, являясь системами типа OFF-LINE (прерываемыми) (рис.4, а), они снабжают нагрузку в той или иной степени стабилизированным напряжением при питании от сети.

Рис.4. Структурные схемы источника бесперебойного питания LINE-INTERACTIVE

По функциональным и схемотехническим признакам интерактивные ИБП можно отнести к одному из трех основных видов:

со ступенчато-апроксимированной формой выходного напряжения при работе от инвертора;

с синусоидальной формой выходного напряжения;

с феррорезонансной стабилизацией выходного напряжения.

ИБП этого семейства оснащены бустерами (booster) - схемами ступенчатого автоматического регулирования входного напряжения вследствие переключения обмоток

автотрансформатора. Большинство интерактивных ИБП заряжают АБ при обратной работе инвертора, что позволяет избавиться от громоздкого ЗУ (см. рис.3 и 4,6). Сам инвертор постоянно подсоединен к выходу, обеспечивая дополнительные стабилизационные функции.

На основе ИБП проектируются системы гарантированного электроснабжения (СБЭ) (рис.5). Под СБЭ понимают комплекс организационно-технических мероприятий, позволяющий обеспечить бесперебойное и качественное электроснабжение нагрузки. Децентрализованные СБЭ предполагают установку большого количества маломощных ИБП для каждого защищаемого прибора (компьютера, коммуникационного узла и т.д.). В случае централизованных СБЭ для центров диспетчерского управления проектируются централизованное преобразование, стабилизация и распределение энергии для питания потребителей. В общем виде подразумевается установка ИБП (одного или нескольких работающих параллельно или в "горячем" резерве) и одного или нескольких дизель-генераторов. Дополнительные фильтры могут быть вынесены непосредственно к нагрузкам. Генераторы комплектуются панелями управления, которые позволяют выполнять их ручное и автоматическое включение и отключение, синхронизацию нескольких генераторов между собой, аварийные остановы, например, при превышении частоты вращения двигателя, перегреве, низком уровне топлива в баке и др.

Переключения нагрузки между внешними сетями электроснабжения (фидерами 1 и 2) и генератором осуществляется с использованием панелей переключения СБЭ.

Для надежной защиты нагрузки АДЦУ СБЭ контролирует параметры электроэнергии, исправность своих звеньев и своевременно реагирует на возникающие аварийные ситуации. Эти функции в системе выполняет программное обеспечение ИБП. Основными задачами ПО с СБЭ являются:

закрытие операционных систем без потери данных;

самодиагностирование ИБП;

контроль параметров электроэнергии;

дистанционное управление ИБП;

мониторинг СБЭ, включая мотор-генераторные установки, коммутационную аппаратуру, ограничители перенапряжений и другое электрооборудование;

прогнозирование возможных сбоев в электроснабжении с целью принятия превентивных мер по обеспечению бесперебойной работы АДЦУ.


Рис.5. Структурная схема системы бесперебойного электроснабжения

Способность работы СБЭ даже при возникновении неисправностей достигается резервированием ИБП. В этом случае ИБП включаются параллельно, а при отказе одного из них неисправный отключается, а другой берет на себя электроснабжение всего диспетчерского центра управления.

Оценить/Добавить комментарий
Имя
Оценка
Комментарии:
Хватит париться. На сайте FAST-REFERAT.RU вам сделают любой реферат, курсовую или дипломную. Сам пользуюсь, и вам советую!
Никита17:25:28 02 ноября 2021
.
.17:25:27 02 ноября 2021
.
.17:25:26 02 ноября 2021
.
.17:25:25 02 ноября 2021
.
.17:25:25 02 ноября 2021

Смотреть все комментарии (15)
Работы, похожие на Реферат: Применение систем диспетчерской централизации и диспетчерского контроля

Назад
Меню
Главная
Рефераты
Благодарности
Опрос
Станете ли вы заказывать работу за деньги, если не найдете ее в Интернете?

Да, в любом случае.
Да, но только в случае крайней необходимости.
Возможно, в зависимости от цены.
Нет, напишу его сам.
Нет, забью.



Результаты(287967)
Комментарии (4159)
Copyright © 2005-2021 HEKIMA.RU [email protected] реклама на сайте