Содержание
1. Исходные данные 2
2. Оценка земельного участка 5
3. Оценка объекта затратным методом_ 5
4. Оценка объекта по методу сравнения продаж_ 9
5. Оценка объекта по методу дисконтирования доходов 11
6. Согласование результатов оценки_ 13
1. Исходные данные
Тип оцениваемого объекта недвижимости
Здание офисного типа
Адрес
Город N, улица Цветочная, дом 5
Правовой режим объекта
Полное право собственности на здание с правом долгосрочной (49 лет) аренды земли.
Собственники недвижимости
Здание: ООО «Бизнес-сервис». Земля: государство.
Местоположение объекта
Здание расположено в центральной части города на участке земли площадью 1028 кв. м с ровным рельефом. К участку подходит дорога с твердым покрытием. Имеется легкий доступ к центральной магистрали города N. Ставка земельного налога для данного участка составляет 70 руб. за 1 кв. м.
Описание здания
Здание представляет собой 5‑ти этажное кирпичное строение, имеет все виды благоустройства: оборудовано лифтами, системами горячего и холодного водоснабжения, канализации, центрального отопления, вентиляции, электроснабжения, противопожарной защиты. В здании имеется необходимое количество телефонных линий на каждом этаже расположены офисные помещения с одним общим коридором. На первом этаже помещается кафе. В здании есть подвал, часть которого сдается в аренду под складские цели. Здание введено в эксплуатацию 5 лет назад.
Нормативный срок эксплуатации здания составляет 100 лет.
Строительный объем здания 10028 куб. м.
Полезная (арендная) площадь – 2828 кв. м.
Полезная (арендная) площадь подвала – 128 кв. м.
Прямые затраты на строительство данного типа здания составляют в текущих ценах 900 руб. за 1 куб. м.
Коэффициент отличий оцениваемого здания от типового – 1,05.
Здание имеет все виды износа. В здании отсутствует система охранной сигнализации, что не отвечает современным требованиям к офисным зданиям. Стоимость устройства такой системы составляет 60% от полной восстановительной стоимости системы телефонизации здания.
Недавно ближайший к зданию жилой дом поставлен на капитальный ремонт, что затрудняет подъезд к зданию. Связанный с этим внешний износ составляет 0, 1% от полной восстановительной стоимости здания.
Существующее использование здания
Здание сдается в аренду. Ставка арендной платы за 1 кв. м. полезной площади здания составляет 300 руб. в месяц. Ставка арендной платы за 1 кв. м. площади подвала составляет 100 руб. в месяц. Расположенное на 1 этаже здания кафе приносит дополнительный чистый операционный доход в размере 20 000 руб. в месяц.
Для дальнейшего использования здания необходимо выполнить текущий ремонт помещений. Стоимость ремонта в текущих ценах составляет 1200 тыс. руб. Срок выполнения ремонтных работ – 6 месяцев (в этот период здание закрывается на ремонт). После ремонта помещения можно сдавать в аренду. Типичный период коммерческого использования здания по данным рынка аренды нежилых помещений составляет 5 лет. Ожидается, что в первый год можно будет сдать в аренду 70% площадей; во второй – 85%; в третий – 90%; в четвертый и пятый год незанятые площади не превысят 5%.
Расходы по эксплуатации всего здания включают:
• заработную плату персонала (фонд оплаты труда – ФОТ) в размере 40 000 руб. в месяц;
• начисления на заработную плату (единый социальный налог) в размере 35, 6% от ФОТ;
• оплату коммунальных услуг – 50 руб. в месяц в расчете на 1 кв. м полезной площади здания;
• прочие расходы в размере 30 руб. в месяц в расчете на 1 кв, м полезной площади здания;
• налог на имущество в размере 2% от остаточной стоимости здания;
• амортизационные отчисления на восстановление здания – 1% от пол ной восстановительной стоимости здания.
Анализ рынка показывает, что, начиная со второго года после ремонта здания, доходы и расходы будут ежегодно расти, в том числе:
• арендная плата на 8%;
• чистый доход от кафе – на 2%;
• заработная плата персонала – на 5%;
• коммунальные услуги и прочие расходы – на 3%.
Ставка дисконтирования по данным рынка определена на уровне 22% для первого года коммерческого использования здания; 25% – для второго года; 27% – для третьего года; 29% для четвертого и 30% – для пятого года.
Характеристики сопоставимых с оцениваемым объектов
Для расчета стоимости объекта по методу сравнения продаж выбраны 4 сопоставимых с оцениваемым объекта – А, Б, В и Г.
Объекты А и Б были проданы 3 месяца назад, объекты В и Г проданы 1 месяц назад. Объект А расположен в, центре города, объекты Б, В, и Г – на окраине. Физическое состояние объектов Б и В аналогично состоянию оцениваемого объекта, состояние объектов А и Г лучше. Полезная (арендная) площадь, цены объектов и доходы от их использования приведены в таблице 1.
Таблица 1. Данные по сопоставимым объектам
| Показатели |
Объекты |
| А |
Б |
В |
Г |
| Полезная (арендная) площадь здания, кв. м. |
1528,00 |
2028,00 |
3228,00 |
1828,00 |
| Цена продажи, тыс. руб. |
9250,00 |
9440,00 |
17140,00 |
10350,00 |
| Чистый операционный доход от аренды, тыс. руб. |
2960,00 |
2832,00 |
5820,00 |
3312,00 |
Стоимость земельного участка определяется на основе нормативной цены земли, которая принимается в размере 95-кратной ставки земельного налога на единицу площади земельного участка по формуле:

где: VL
– стоимость земельного участка, тыс. руб.;
ТL
– ставка земельного налога, руб.;
SL
– площадь земельного участка, кв. м.
VL
=95*0.070*1028=6836.20 тыс. руб.
Оценка объекта по затратному методу производится в изложенной ниже последовательности.
1. Определяется полная восстановительная стоимость здания

где: СD
– прямые затраты, тыс. руб.;
Сl
– косвенные затраты, тыс. руб.;
Р – предпринимательская прибыль, тыс. руб.
Прямые затраты рассчитываются по формуле:

где СD
– прямые затраты на 1 куб. м. строительного объема типового объекта в текущих ценах, тыс. руб.;
BV
– строительный объем оцениваемого здания, куб. м.;
К – коэффициент отличий оцениваемого здания от объекта-аналога.
CD
=0.9*10028*1.05=9476,46 тыс. руб.
Косвенные затраты (Сl
) составляют 40% от прямых затрат.
Cl
=CD
*40%=9476.46*40%=3790,58 тыс. руб.
Предпринимательская прибыль (Р) рассчитывается на основе сравнения с отдачей на инвестиции. В настоящее время строительные проекты являются достаточно рентабельным бизнесом и приносят 20–40% дохода на вложенный капитал. В связи с этим процент предпринимательской прибыли принимается равным 30% от суммы прямых и косвенных затрат.
P=(Cl
+CD
)*30%=(9476,46+3790,58)*30%=3980,11 тыс. руб.
Откуда полная восстановительная стоимость здания:
VR
=9476,46+3790,58+3980,11=17247,16 тыс. руб.
2. Определяется накопленный износ здания – D:

где: DP
– физический износ здания, тыс. руб.;
DF
– функциональный, износ здания, тыс. руб.;
DE
– внешний износ здания, тыс. руб.
Для учета физического износа определяется восстановительная стоимость конструктивных элементов здания, а затем рассчитывается их износ.
Физический износ здания DP
=2381,54 тыс. руб.
Функциональный износ DF
=344.94*60%=206,97 тыс. руб.
Внешний износ DE
=17247,46*1%=172.47 тыс. руб.
Накопленный износ здания:
D=DP
+DF
+DE
=2381,54+206,97+172,47=2760,98 тыс. руб.
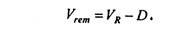
3. Определяется остаточная стоимость здания (VRES
) путем вычитания из полной восстановительной стоимости величины накопленного износа:

VR
=17247,16 тыс. руб.
D=2759.88 тыс. руб.
VREM
=17247,16–2760,98=14486,17 тыс. руб.
4. Определяется общая стоимость оцениваемого объекта недвижимости по затратному методу (VCA
) как сумма остаточной стоимости здания и стоимости земельного участка:
VCA
=VREM
+VL
VREM
=14486,17 тыс. руб.
VL
=6836,20 тыс. руб.
VCA
=VREM
+VL
=6836,20+14486,17=21322,37 тыс. руб.
Таблица 2. Расчет физического износа оцениваемого здания
| Наименование конструктивных элементов здания |
% от восстановительной стоимости всего здания |
Восстановительная стоимость элемента |
Фактический срок эксплуатации |
Нормативный срок эксплуатации |
Коэффициент износа |
Сумма износа |
| Фундамент |
7% |
1207,30 |
5 |
100 |
0,05 |
60,37 |
| Наружные стены |
16% |
2759,55 |
5 |
100 |
0,05 |
137,98 |
| Перекрытия |
14% |
2414,60 |
5 |
100 |
0,05 |
120,73 |
| Кровля |
8% |
1379,77 |
5 |
50 |
0,10 |
137,98 |
| Перегородки |
8% |
1379,77 |
5 |
80 |
0,06 |
86,24 |
| Внутренняя отделка |
6% |
1034,83 |
5 |
5 |
1,00 |
1034,83 |
| Наружная отделка |
3% |
517,41 |
5 |
60 |
0,08 |
43,12 |
| Система водоснабжения и канализации |
10% |
1724,72 |
5 |
50 |
0,10 |
172,47 |
| Система электроснабжения |
7% |
1207,30 |
5 |
40 |
0,13 |
150,91 |
| Система отопления |
9% |
1552,24 |
5 |
50 |
0,10 |
155,22 |
| Система вентиляции |
2% |
344,94 |
5 |
40 |
0,13 |
43,12 |
| Система пожаротушения |
3% |
517,41 |
5 |
50 |
0,10 |
51,74 |
| Система телефонизации |
2% |
344,94 |
5 |
40 |
0,13 |
43,12 |
| Лифты |
5% |
862,36 |
5 |
30 |
0,17 |
143,73 |
| Всего |
100% |
17247,16 |
2381,54 |
Стоимость объекта оценки по методу сравнения продаж определяется в приведенной ниже последовательности
1. На основании исходных данных о характеристиках сопоставимых с оцениваемым объектов А, Б, В и Г
Таблица 3. Характеристики объектов-аналогов
| Показатели |
Сопоставимые объекты |
| А |
Б |
В |
Г |
| Цена продажи, тыс. руб.; |
6,05 |
4,65 |
5,31 |
5,66 |
| Полезная площадь здания, кв. м. |
1524,00 |
2024,00 |
3224,00 |
1824,00 |
| Время продажи, месяцы |
3 |
3 |
1 |
1 |
| Местоположение (хуже, лучше, аналог) |
лучше |
хуже |
хуже |
Хуже |
| Состояние объекта (хуже, лучше, аналог) |
лучше |
аналог |
аналог |
лучше |
2. Проводится корректировка цен продажи сопоставимых объектов, т. к. они отличаются по своим характеристикам от оцениваемого объекта.
В качестве единицы сравнения объектов принимается 1 кв. м. полезной площади здания.
Корректировка цен продажи сопоставимых объектов (в расчете на 1 кв. м полезной площади) осуществляется последовательно по каждому показателю (время продажи, местоположение и состояние объекта). Для этого выбираются два объекта, отличающиеся по данному показателю и имеющие сходные иные характеристики. Разница в цене выбранной пары объектов является абсолютной величиной корректировки по данному показателю, на эту величину уменьшается либо увеличивается (в зависимости от того, лучше или хуже сопоставимый объект по сравнению с оцениваемым) цена каждого сопоставимого объекта. Для корректировки по времени продажи рассчитывается рост цены за 1 месяц, затем определяются цены продажи сопоставимых объектов на дату оценки.
Величина корректировки по каждому показателю и каждому объекту записывается в таблицу 5 либо со знаком «–»» (если сопоставимый объект по данному показателю хуже, чем оцениваемый), либо со знаком «–» (если сопоставимый объект по данному показателю лучше, чем оцениваемый).
Таблица 4. Корректировка цен продажи сопоставимых объектов
| № n/n |
Показатели |
Сопоставимые объекты |
| А |
Б |
В |
Г |
| 1 |
Цена продажи в расчете на 1 кв. м полезной площади здания |
6,05 |
4,65 |
5,31 |
5,66 |
| 2 |
Величина корректировки по времени продажи |
0,33 |
0,33 |
0,33 |
0,33 |
| 3 |
Скорректированная по времени продажи цена |
6,71 |
5,31 |
5,31 |
5,66 |
| 4 |
Величина корректировки по местоположению |
-1,05 |
| 5 |
Скорректированная по местоположению цена |
5,66 |
5,31 |
5,31 |
5,66 |
| 6 |
Величина корректировки по состоянию объекта |
-0,35 |
-0,35 |
| 7 |
Скорректированная по всем показателям сравнения цена |
5,31 |
5,31 |
5,31 |
5,31 |
В результате расчетов, была получена скорректированная по всем показателям цепа продажи (за 1 кв. м.) сопоставимых объектов, которая принимается в качестве стоимости 1 кв. м. полезной площади оцениваемого здания = 5,31 тыс. руб.
3. Определяется стоимость оцениваемого здания – VВ

где: PС
– стоимость 1 кв. м. полезной площади оцениваемого здания, тыс. руб.;
SB
– полезная (арендная) площадь оцениваемого здания (без учета сдаваемой в аренду площади подвала), кв. м.
PC
=5,31 тыс. руб.
SB
=2828 кв. м.
VB
=5,31*2828=15016,68 тыс. руб.
4. Определяется стоимость всего оцениваемого объекта недвижимости по методу сравнения продаж (VSC
) путем суммирования стоимости здания (VB
) и стоимости земельного участка (VL
):

VL
=6836,20 тыс. руб.
VB
=15016,68 тыс. руб.
VSC
=6836,20+15016,68=21852,88 тыс. руб.
5. Оценка объекта по методу дисконтирования доходов
Для определения стоимости объекта по методу дисконтирования доходов анализируются доходы и расходы за весь период коммерческого использования здания.
1. Определяется потенциальный валовой доход от аренды здания – PGI:

rB
– арендная плата за 1 кв. м полезной площади здания в месяц, тыс. руб.;
Sp – полезная площадь здания, кв. м.;
rb
– арендная плата за 1 кв. м полезной площади подвала в месяц, тыс. руб.;
Sb
– полезная площадь подвала, кв. м.;
m– количество месяцев получения арендной платы в анализируемом году.
2. Определяется действительный валовой доход – EGI:

где k – коэффициент заполняемости здания (доля сданных в аренду площадей).
3. Определяются текущие операционные расходы (СОЕ) по эксплуатации здания путем суммирования:
• фонда оплаты труда персонала;
• начислений на заработную плату (единый социальный налог) в размере 35, 6% от фонда оплаты труда персонала;
• платежей за коммунальные услуги;
• прочих расходов;
• амортизационных отчислений на восстановление здания в размере 1% от полной восстановительной стоимости здания (VR
).
• налога на имущество в размере 2% от остаточной стоимости здания в каждом анализируемом году.
При расчете общей суммы платежей за коммунальные услуги и прочих расходов полезная площадь подвала не учитывается.
Остаточная стоимость здания (Vn
rem
) в каждом анализируемом году, начиная со второго, определяется по формуле:

где: Vn
-1
rem
– остаточная стоимость здания в предыдущем году тыс. руб.;
А – амортизационные отчисления на восстановление здания в размере 1% от полной восстановительной стоимости здания, тыс. руб.
4. Определяется чистый операционный доход от аренды (NOI1
) как разница между действительным валовым доходом и текущими операционными расходами:

5. Определяется денежный поток (CF) как общий чистый операционный доход от здания (с учетом дополнительного дохода от кафе):

где NOI – чистый операционный доход от кафе, тыс. руб.
6. Определяется коэффициент дисконтирования – kd

где: i – ставка дисконтирования, доли единицы.
7. Определяется дисконтированный денежный поток – DCF:

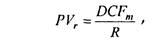
8. Определяется текущая стоимость перепродажи здания (реверсии) в конце срока его коммерческого использования – PVr.

где: DCFm
, – дисконтированный денежный поток последнего, 5‑го года;
R– коэффициент капитализации для здания, который определяется на основе исходных данных по сопоставимым с оцениваемым объектам.
9. Определяется текущая стоимость здания – РVB
:

где: IС – единовременные инвестиции, т.е. затраты на текущий ремонт помещений в здании, тыс. руб.
10. Определяется стоимость всего объекта недвижимости по метолу дисконтирования доходов – VDl
:

Анализируются все полученные по трем методам оценки значения стоимости объекта. Для этого кратко описываются преимущества и недостатки каждого из использованных методов оценки применительно к оцениваемому объекту с учетом его специфических особенностей (местоположения, доходности и т.п.) и состояния рынка недвижимости. На основании этого, полученным различными методами оценкам присваиваются весовые коэффициенты в долях единицы (общая сумма коэффициентов должна быть равна единице), и определяется средневзвешенное значение стоимости объекта, которое и принимается в качестве рыночной стоимости оцениваемого объекта недвижимости.
Таблица 5 Расчет стоимости здания методом дисконтирования доходов
| Наименование показателей |
Значение показателей по годам |
| 1 год |
2 год |
3 год |
4 год |
5 год |
| Полезная площадь здания, кв. м |
1979,60 |
2403,80 |
2545,20 |
2686,60 |
2686,60 |
| Полезная площадь подвала, кв. м |
89,60 |
108,80 |
115,20 |
121,60 |
121,60 |
| Ставка арендной платы за 1 кв. м полезной площади здания в месяц, тыс. руб. |
0,30 |
0,32 |
0,35 |
0,37 |
0,40 |
| Ставка арендной платы за 1 кв. м полезной площади подвала в месяц, тыс. руб. |
0,10 |
0,11 |
0,12 |
0,12 |
0,13 |
| Потенциальный валовой доход от аренды здания, тыс. руб. |
3563,28 |
9345,97 |
10628,76 |
11992,98 |
12766,72 |
| Потенциальный валовой доход от аренды подвала, тыс. руб. |
8,96 |
11,75 |
13,36 |
15,08 |
16,05 |
| Итого потенциальный валовой доход, тыс. руб. |
3572,24
|
9357,72
|
10642,12
|
12008,06
|
12782,77
|
| Коэффициент заполняемости |
0,7 |
0,85 |
0,9 |
0,95 |
0,95 |
| Действительный валовой доход, тыс. руб. |
2500,57
|
7954,07
|
9577,91
|
11407,66
|
12143,64
|
| Фонд оплаты труда персонала, тыс. руб. |
240 |
480 |
480 |
480 |
480 |
| Единый социальный налог, тыс. руб. |
85,44 |
170,88 |
170,88 |
170,88 |
170,88 |
| Плата за коммунальные услуга, тыс. руб. |
593,88 |
1442,28 |
1527,12 |
1611,96 |
1611,96 |
| Прочие расходы, тыс. руб. |
356,328 |
865,368 |
916,272 |
967,176 |
967,176 |
| Остаточная стоимость здания, тыс. руб. |
2897,23 |
2862,74 |
2828,25 |
2793,75 |
2759,26 |
| Налог на имущество, тыс. руб. |
57,94 |
57,25 |
56,56 |
55,88 |
55,19 |
| Амортизационные отчисления на восстановление здания, тыс. руб. |
34,49 |
34,49 |
34,49 |
34,49 |
34,49 |
| Итого текущие операционные расходы, тыс-руб.
|
4265,32
|
5913,02
|
6013,58
|
6114,14
|
6078,95
|
| Чистый операционный доход от аренды, тыс. руб.
|
-1764,75
|
2041,05
|
3564,33
|
5293,52
|
6064,68
|
| Чистый операционный доход от кафе, тыс. руб. |
120 |
240 |
240 |
240 |
240 |
| Денежный поток, тыс. руб.
|
-1644,75
|
2281,05
|
3804,33
|
5533,52
|
6304,68
|
| Ставка дисконтирования, % |
22 |
25 |
27 |
29 |
30 |
| Коэффициент дисконтирования |
0,82 |
0,64000 |
0,48819 |
0,36111 |
0,26933 |
| Дисконтированный денежный поток, тыс. руб. |
-1348,16 |
1459,87 |
1857,24 |
1998,22 |
1698,03 |
| Инвестиции (затраты на ремонт), тыс. руб. |
1200 |
0 |
0 |
0 |
0 |
| Текущая стоимость перепродажи (реверсии) здания, тыс. руб. |
15,436 |
| Стоимость здания по методу дисконтирования доходов, тыс. руб. |
19901,2 |
|