Банк рефератов содержит более 364 тысяч рефератов, курсовых и дипломных работ, шпаргалок и докладов по различным дисциплинам: истории, психологии, экономике, менеджменту, философии, праву, экологии. А также изложения, сочинения по литературе, отчеты по практике, топики по английскому.
Полнотекстовый поиск
Всего работ:
364139
Теги названий
Разделы
Авиация и космонавтика (304)
Административное право (123)
Арбитражный процесс (23)
Архитектура (113)
Астрология (4)
Астрономия (4814)
Банковское дело (5227)
Безопасность жизнедеятельности (2616)
Биографии (3423)
Биология (4214)
Биология и химия (1518)
Биржевое дело (68)
Ботаника и сельское хоз-во (2836)
Бухгалтерский учет и аудит (8269)
Валютные отношения (50)
Ветеринария (50)
Военная кафедра (762)
ГДЗ (2)
География (5275)
Геодезия (30)
Геология (1222)
Геополитика (43)
Государство и право (20403)
Гражданское право и процесс (465)
Делопроизводство (19)
Деньги и кредит (108)
ЕГЭ (173)
Естествознание (96)
Журналистика (899)
ЗНО (54)
Зоология (34)
Издательское дело и полиграфия (476)
Инвестиции (106)
Иностранный язык (62791)
Информатика (3562)
Информатика, программирование (6444)
Исторические личности (2165)
История (21319)
История техники (766)
Кибернетика (64)
Коммуникации и связь (3145)
Компьютерные науки (60)
Косметология (17)
Краеведение и этнография (588)
Краткое содержание произведений (1000)
Криминалистика (106)
Криминология (48)
Криптология (3)
Кулинария (1167)
Культура и искусство (8485)
Культурология (537)
Литература : зарубежная (2044)
Литература и русский язык (11657)
Логика (532)
Логистика (21)
Маркетинг (7985)
Математика (3721)
Медицина, здоровье (10549)
Медицинские науки (88)
Международное публичное право (58)
Международное частное право (36)
Международные отношения (2257)
Менеджмент (12491)
Металлургия (91)
Москвоведение (797)
Музыка (1338)
Муниципальное право (24)
Налоги, налогообложение (214)
Наука и техника (1141)
Начертательная геометрия (3)
Оккультизм и уфология (8)
Остальные рефераты (21692)
Педагогика (7850)
Политология (3801)
Право (682)
Право, юриспруденция (2881)
Предпринимательство (475)
Прикладные науки (1)
Промышленность, производство (7100)
Психология (8692)
психология, педагогика (4121)
Радиоэлектроника (443)
Реклама (952)
Религия и мифология (2967)
Риторика (23)
Сексология (748)
Социология (4876)
Статистика (95)
Страхование (107)
Строительные науки (7)
Строительство (2004)
Схемотехника (15)
Таможенная система (663)
Теория государства и права (240)
Теория организации (39)
Теплотехника (25)
Технология (624)
Товароведение (16)
Транспорт (2652)
Трудовое право (136)
Туризм (90)
Уголовное право и процесс (406)
Управление (95)
Управленческие науки (24)
Физика (3462)
Физкультура и спорт (4482)
Философия (7216)
Финансовые науки (4592)
Финансы (5386)
Фотография (3)
Химия (2244)
Хозяйственное право (23)
Цифровые устройства (29)
Экологическое право (35)
Экология (4517)
Экономика (20644)
Экономико-математическое моделирование (666)
Экономическая география (119)
Экономическая теория (2573)
Этика (889)
Юриспруденция (288)
Языковедение (148)
Языкознание, филология (1140)

Реферат: Транспортная система России

Название: Транспортная система России
Раздел: Рефераты по транспорту
Тип: реферат Добавлен 01:47:15 21 февраля 2010 Похожие работы
Просмотров: 296 Комментариев: 21 Оценило: 2 человек Средний балл: 5 Оценка: неизвестно     Скачать

РЕФЕРАТ

по курсу «Логистика»

по теме: «Транспортная система России»

Ведение

Россия располагает мощной транспортной системой, в которую входят железнодорожный, морской, речной, автомобильный, воздушный и трубопроводный транспорт. Каждый из этих видов транспорта представляет собой совокупность средств и путей сообщения, а также различных технических устройств и сооружений, обеспечивающих нормальную и эффективную работу всех отраслей народного хозяйства. Виды транспорта общего пользования являются также самостоятельными отраслями народного хозяйства и вместе взятые (включая погрузочно-разгрузочные работы) составляют межотраслевой комплекс в региональном и межотраслевом балансах народного хозяйства.

Органическими частями транспортной сети являются железные дороги, морские и судоходные речные пути, автомобильные дороги, трубопроводы для транспортирования нефти и газа, сеть воздушных линий. Помимо путей сообщения, транспорт располагает и средствами для перемещения продукции – это автомобили, локомотивы, вагоны, суда и другой подвижной состав. К техническим устройствам и сооружениям транспорта относят станции, депо, мастерские, ремонтные заводы, предприятия технического обслуживания и т.д.

Каждый из перечисленных выше видов транспорта имеет свою материально-техническую базу, документацию и технико-эксплуатационные показатели работы. Рассмотрим их подробнее.

1. Железнодорожный транспорт

Вагонный парк состоит из пассажирских и грузовых вагонов. Грузовые вагоны подразделяются на универсальные (крытые, полувагоны, платформы, цистерны) и специализированные, приспособленные для перевозок определенного вида груза (изотермические, цементо­возы, кислотные и др.). Крытые вагоны используют для перевозки ценных грузов, и грузов, боящихся атмосферных осадков; полувагоны – для массовых наволочных и лесных грузов; цистерны – для наливных грузов (бензин, керосин, молоко и др.). Тяжеловесные и крупногабаритные грузы перевозят в транспортерах грузоподъемностью 400 т. Каждый тип вагона характеризуется грузоподъемностью, вместимостью, массой тары вагона и другими показателями. Грузоподъемность определяется количеством груза в тоннах, которое может быть погружено в данный вагон в соответствии с прочностью его ходовых частей, рамы и кузова, вместимостью – произведением длины вагона на его ширину и высоту.

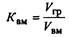
Важнейшим элементом роста производительности вагонного парка является полное использование грузоподъемности и вместимости вагонов. О степени использования грузоподъемности и вместимости вагона при перевозке того или иного груза можно судить по соответствующим коэффициентам.

Коэффициент использования грузоподъемности Кгр определяется отношением массы груза в вагоне Мгр (т) к его грузоподъемности q (т) :

Коэффициент вместимости Квм рассчитывают как частное от деления объема груза в вагоне Vгр3 ) на вместимость вагона

Чем ближе к единице значение этих коэффициентов, тем выше показатель грузоподъемности или вместимости вагона.

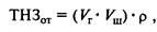
Особое значение имеют технические нормы загрузки вагонов. Техническая норма загрузки – количество груза, которое должно быть загружено в вагон данного типа при наилучшем использовании его грузоподъемности и вместимости. Ввиду того, что учесть все разнообразие грузов, способов их подготовки и погрузки нельзя, разрабатываются местные технические нормы. Эти нормы согласовываются с грузоотправителями. Техническую норму загрузки определяют для тарных грузов с учетом их свойств и схемы укладки, а для навалочных и насыпных рассчитывают отдельно для перевозки в крытых вагонах и на открытом подвижном составе.

Техническую норму загрузки вагонов определяют по формулам:

для крытых вагонов:

для открытых:

где Vв – полный объем вагона, м3 ;

kв – коэффициент использования объема вагона при перевозке данного груза;

Vг – объем основной части груза, м3 ;

Vш – объем «шапки», м3 .

р – массовая плотность груза, т/м3 .

Для выполнения грузовых, коммерческих и других операций железная дорога имеет грузовые станции, которые оснащены грузовыми устройствами и сооружениями.

Грузовая станция – это комплекс путевых и грузовых устройств, технических и служебных помещений, предназначенных для выполнения соответствующих грузовых и коммерческих операций. Она производит операции по приему, погрузке и выдаче грузов и багажа.

2. Морской и речной транспорт

Основными показателями, характеризующими речные и морские суда, являются водоизмещение, грузоподъемность, грузовместимость, размеры судов (длина, ширина, высота борта) и осадка в груженом и порожнем состояниях.

Водоизмещение (массовое и объемное) определяется массой или объемом воды соответственно, вытесняемой плавающим судном.

Грузоподъемность судна – это его перевозочная способность, выраженная в тоннах.

Дедвейт (или полная грузоподъемность) – количество тонн груза, которое может принять судно сверх собственной массы до осадки по летнюю грузовую марку.

Дедвейт определяется по формуле:

где Вп – массовое водоизмещение судна с полным грузом, т;

Вц – массовое водоизмещение судна без груза, т.

Различают полную и чистую грузоподъемность судна. Полная грузоподъемность Д – это сумма массы служебного (вода, топливо, провиант) и перевозимого груза.

Чистая грузоподъемность Дч равна массе перевозимого груза:

где С – масса всех судовых запасов, т.

Грузовместимость – это способность судна вместить груз оп­ределенного объема. Различают грузовместимость одинарную, когда объем всех грузовых помещений, используется единовременно, и составную, или двойную, когда грузовые помещения используются равновременно, по очереди. В зависимости от рода перевозимых грузов определяют грузовместимость для грузов тарно-упаковочных, штучных и сыпучих.

Одним из показателей, характеризующих эксплуатационные качества судна, является удельная грузовместимость Vуд , м3 /т, которая определяется следующим образом:

Для выполнения операций по погрузке и выгрузке приему и выдаче грузов, организации перевозок и обслуживанию флота имеются морские и речные порты и пристани.

Портом называют прибрежный пункт, имеющий удобные водные подходы для судов, связанный со стороны береговой территории с железнодорожным и безрельсовым транспортом и оснащенный соответствующими сооружениями, устройствами и оборудованием, обеспечивающими быструю погрузку и разгрузку судов, вагонов и автотранспорта, навигационное обслуживание судов, культурно-бытовое обслуживание и экипировку судов.

3. Автомобильный транспорт

Материально-техническая база автомобильного транспорта состоит из подвижного состава (автомобили, тягачи, прицепы и полуприцепы), автотранспортного предприятия и автомобильных дорог.

Грузовые автомобили различают по грузоподъемности: особо малой – до 0,5 т, малой – от 0,5 до 2 т, средней – от 5 до 15 т и особо большой – более 15т.

Автомобили-тягачи – это автомобили, приспособленные для буксировки прицепов.

Целесообразность использования подвижного состава того или иного типа определяется его эксплуатационно-техническими качествами и конкретными условиями эксплуатации. К эксплуатационно-техническим качествам автомобиля относят его характеристику по габаритам и массе, проходимость, устойчивость и маневренность, подвижность, динамические качества и экономичность.

Показателями эффективности подвижного состава могут быть себестоимость, производительность, энергоемкость, материалоемкость и др.

Для осуществления перевозок грузов на автомобильном транспорте имеются автотранспортные предприятия (АТП), – это транспортные предприятия комплексного типа, осуществляю­щие перевозку грузов или пассажиров, хранение, техническое обслуживание и ремонт подвижного состава, а также обеспечение транспортных средств эксплуатационными материалами. Наряду с АТП существуют и гаражи-стоянки, станции технического обслуживания, авторемонтные мастерские, автозаправочные станции.

Все грузы, принимаемые к перевозке, независимо от вида сообщения должны иметь маркировку, одинаковую для всех видов транспорта.

Технико-экономические особенности различных видов транспорта и их сферы рационального использования систематизированы в таблице 1[1] .


Таблица 1

Технико-экономические особенности различных видов транспорта и сферы их рационального использования

Вид транспорта

Особенности транспорта

Сфера применения

Достоинства

Недостатки

1. Железно­дорожный

Высокая провозная и пропускная способность; регулярность перевозок; невысокая себестоимость перевозок

Большие капиталовложения на сооружение пути; большие затраты металла

Практически не ограничена

2. Морской

Обеспечивает массовые межконти­нентальные перевозки грузов;

низкую себестоимость; практически неограниченную пропускную способность

Зависимость от естественно-географических и навигационных условий, создание портового хозяйства

Практически не ограничена

3. Речной

Высокая провоз­ная способность;

невысокая себестоимость перевозок;

небольшие капиталовложения на организацию судоходства

Неравномерность глубин, сезонность работы, небольшая скорость перевозки

Практически не ограничена

4. Автомобильный

Большая маневренность и подвижность;

высокая скорость доставки груза;

небольшие капиталовложения в освоение малого грузооборота на короткие расстояния

Низкая производительность труда;

низкий уровень эксплуатационных показателей;

плохое состояние дорожной сети

На короткие расстояния до 300 км

5. Воздушный

Высокая скорость доставки;

самый короткий путь следования

Высокая себестоимость перевозки

Практически не ограничена

В настоящее время реструктуризация транспортного комплекса страны вступила в завершающую стадию. Задача разгосударствления транспорта с приватизацией и акционированием его производственных мощностей решена практически в полном соответствии с установками Международного валютного фонда (МВФ), Всемирного банка, Европейского банка реконструкции и развития (ЕБРР), рекомендациями других зарубежных организаций при минимальном участии в принятии решений отечественных ученых и специалистов-практиков. Самостоятельная российская экономическая и управленческая мысль, не получив поддержки в правительстве, проявить себя не сумела.

Процессы приватизации и акционирования серьезно повлияли на условия и эффективность работы транспорта. Рост аварийности и травматизма, повышение транспортных издержек, недопустимо высокий износ технических средств, особенно подвижного состава, растущие «пробки» на автомобильных дорогах убеждают в том, что транспорт России продолжает находиться в кризисном состоянии. Степень износа транспортных средств в целом по транспортному комплексу составляет свыше 50%, а по воздушным судам – 70%[2] .

Ослабление рычагов централизованного управления в использовании производственных мощностей транспорта проявляется, прежде всего, в ухудшении такого показателя, как производительность труда. Даже на железных дорогах значительная доля активной части производственных основных фондов оказалась выведенной из сферы централизованного управления. Из общего парка железнодорожных цистерн, например, около 40% уже находятся в собственности негосударственных коммерческих организаций. Рост числа посреднических коммерческих структур, обособление в единой транспортной системе отдельных предприятий, дезинтегрируя сеть, не могут не сказаться отрицательно на уровне транспортных издержек.

Одна из главных причин неудовлетворительного состояния транспортного комплекса в целом на завершающем этапе реформ видится в ошибочной стратегии и тактике реформирования отрасли, которые в начале 1990-х гг. принимались и приводились в жизнь без тщательной научной проработки и технико-экономических обоснований. Не учитывались национальные особенности российской экономики, геополитические и геоэкономические интересы страны и ее исторический опыт. Социально-экономическая жизнь конкретной страны рассматривалась как «черный ящик». Решения «опирались» на метод «подобия и аналогий», «проб и ошибок», причем в качестве прототипа принимались модели, разработанные применительно к условиям стран Западной Европы и США, но не России.

По мнению российских ученых, пути решения этих проблем следующие[3] :

· оптимизация проектов и программ развития транспортного комплекса России в условиях многоукладной рыночной экономики и с учетом природно-климатических, социально-экономических, демографических, политических и других особенностей страны;

· управление транспортным комплексом страны и перевозочным процессом с использованием современных информационных технологий;

· обеспечение транспортной безопасности России;

· ускорение и повышение эффективности интеграционных процессов в транспортном комплексе стран СНГ;

· формирование единой транспортной системы (ЕТС) России с гармонизацией интересов государства, общества и бизнеса;

· контроль и надзор в транспортном комплексе России.

В сегодняшних условиях транспортная система РФ должна иметь опережающее развитие по сравнению с развитием торговли и производства, особенно в контексте вступления России в ВТО. В последние несколько лет объем перевозок неуклонно растет, этому росту не помешал даже кризис 1998 года, поскольку ослабление национальной валюты способствует увеличению экспортного объема торговли. В России действует Федеральная целевая программа «Модернизация транспортной системы России (2002-2010 годы)»[4] . В развитие транспортной системы России до 2010 года будет вложено 2 триллиона рублей. Общий дедвейт судов к 2010 году должен увеличиться на 5 миллионов тонн. При этом Правительство РФ выступает против демпинговых цен на транспортном рынке, которые образуются в результате использования в торговых целях причалов судостроительных заводов и военных портов.

ЛИТЕРАТУРА

1. Гаджинский А.М. Логистика: Учебник – 2-е изд. – М.: ИВЦ «Маркетинг», 2006.

2. Ерохина Л.И., Спиридонова Е.Е. Основы организации обслуживания в системе сервисных услуг. – Уч. пособие. – М.: ГАСБУ, ПТИС, 2004.

3. Костоглодов Д.Д., Харисова Л.М. Распределительная логистика. – Ростов Н/Д: ЭБ, 2007.

4. Логистика: Учебное пособие под ред. проф. Б.А.Аникина. – М.: ИНФРА-М, 2005.

5. Неруш Ю.М. Коммерческая логистика. – М.: Банки и биржи «ЮНИТИ», 2005.

6. Неруш Ю.М. Логистика: Учебник для вузов. – 2-е изд., перераб. и доп. – М.: ЮНИТИ-ДАНА, 2001.

7. www.goverment.ru


[1] Гаджинский А.М. Логистика: Учебник – 2-е изд. – М.: ИВЦ «Маркетинг», 2006. С. 51.

[2] www.goverment.ru

[3] Неруш Ю.М. Логистика: Учебник для вузов. – 2-е изд., перераб. и доп. – М.: ЮНИТИ-ДАНА, 2001. С. 25.

[4] www.goverment.ru

Оценить/Добавить комментарий
Имя
Оценка
Комментарии:
Хватит париться. На сайте FAST-REFERAT.RU вам сделают любой реферат, курсовую или дипломную. Сам пользуюсь, и вам советую!
Никита23:45:12 02 ноября 2021
.
.23:45:10 02 ноября 2021
.
.23:45:08 02 ноября 2021
.
.23:45:07 02 ноября 2021
.
.23:45:05 02 ноября 2021

Смотреть все комментарии (21)
Работы, похожие на Реферат: Транспортная система России

Назад
Меню
Главная
Рефераты
Благодарности
Опрос
Станете ли вы заказывать работу за деньги, если не найдете ее в Интернете?

Да, в любом случае.
Да, но только в случае крайней необходимости.
Возможно, в зависимости от цены.
Нет, напишу его сам.
Нет, забью.



Результаты(287666)
Комментарии (4159)
Copyright © 2005-2021 HEKIMA.RU [email protected] реклама на сайте