ПЕРВОЕ НАЧАЛО ТЕРМОДИНАМИКИ И ЕГО ПРИМЕНЕНИЕ
Основные определения
Химическая термодинамика применяет положения и законы общей термодинамики к изучению химических явлений. Для вывода закономерностей химической термодинамики нужно знать начальное и конечное состояния системы, а также внешние условия, при которых протекает процесс (температура, давление и т. п.). Химическая термодинамика не позволяет делать какие-либо выводы о внутреннем строении вещества и механизме протекания процессов. В этом заключается ограниченность термодинамического метода.
В химической термодинамике применяются те же понятия, термины и величины, что и в общей термодинамике.
Системой называется отдельное тело или группа тел, находящихся во взаимодействии и условно обособленных от окружающей среды.
Изолированной системой называют такую систему, которая не обменивается теплотой и работой с окружающей средой, т. е. энергия и объем которой постоянны.
Состояние системы — совокупность физических и химических свойств, характеризующих эту систему.
Состояние термодинамической системы характеризуется термодинамическими параметрами. К термодинамическим параметрам относятся температура, давление, объем, концентрация и др.
Термодинамическим процессом называется всякое изменение в системе, связанное с изменением хотя бы одного из термодинамических параметров. Если изменение параметра зависит только от начального и конечного состояния и не зависит от пути процесса, то такой параметр называется функцией состояния.
Круговым процессом, или циклом, называется процесс, при котором термодинамическая система, выйдя из некоторого начального состояния и претерпев ряд изменений, возвращается в то же самое состояние; в этом процессе изменение любого параметра состояния равно нулю. В зависимости от условий протекания различают процессы: изобарный, изотермный, адиабатный, изохорный, изобарно-изотермный и др.
Внутренняя энергия, теплота и работа. Первое начало термодинамики
Движение является неотъемлемым свойством материи. Движение проявляется в разных формах, качественно отличающихся друг от друга, но взаимосвязанных между собой и превращающихся друг в друга. Мерой движения является энергия. В химической термодинамике важное значение имеет понятие внутренней энергии.
Внутренней энергией системы называется сумма потенциальной энергии взаимодействия всех частиц тела между собой и кинетической энергии их движения, т. е. внутренняя энергия системы складывается из энергии поступательного и вращательного движения молекул, энергии внутримолекулярного колебательного движения атомов и атомных групп, составляющих молекулы, энергии вращения электронов в атомах, энергии, заключающейся в ядрах атомов, энергии межмолекулярного взаимодействия и других видов энергии. Внутренняя энергия — это общий запас энергии системы за вычетом кинетической энергии системы в целом и ее потенциальной энергии положения. Абсолютная величина внутренней энергии тела неизвестна, но для применения химической термодинамики к изучению химических явлений важно знать только изменение внутренней энергии при переходе системы из одного состояния в другое.
Все изменения внутренней энергии при ее переходе от одного тела к другому можно разбить на две группы. В первую группу входит форма перехода энергии за счет хаотического столкновения молекул двух соприкасающихся тел. Мерой передаваемой таким способом энергии является теплота.
Во вторую группу входят многие формы перехода энергии при перемещении масс, состоящих из большого числа частиц, под действием каких-либо сил. Сюда относятся поднятие тел в поле тяготения, переход электричества от большего к меньшему потенциалу, расширение газа и т. п. Общей мерой передаваемой таким способом энергии является работа.
Во многих процессах передача внутренней энергии может осуществляться частично в виде теплоты и частично в виде работы. Таким образом, теплота и работа характеризуют качественно и количественно две различные формы передачи энергии от одного тела к другому; они измеряются в тех же единицах, что и энергия.
Работу или энергию любого вида можно представить как произведение двух факторов: фактора интенсивности на изменение фактора емкости, называемого также фактором экстенсивности (если фактор интенсивности остается постоянным во время процесса). Так, например, обычная механическая работа равна произведению приложенной силы на приращение пути. Если две системы могут взаимодействовать, то они образуют одну общую систему, причем фактор емкости новой системы равен сумме факторов емкости составляющих ее частей при условии, если факторы интенсивности обеих исходных систем одинаковы. Если факторы интенсивности исходных систем неодинаковы, то в общей системе начинается процесс, протекающий в сторону выравнивания факторов интенсивности за счет изменения соответствующих факторов емкости. Так, например, давления выравниваются за счет изменения объемов. Взаимосвязь между внутренней энергией, работой и теплотой устанавливается на основе первого начала термодинамики. Первое начало термодинамики представляет собой постулат, вытекающий из многовекового опыта человечества. Существует ряд формулировок первого начала термодинамики, которые равноценны друг другу и вытекают одна из другой. Если одну из них рассматривать как исходную, то другие получаются из нее как следствия.
Первое начало термодинамики непосредственно связано с законом сохранения энергии и утверждает, что в любой изолированной системе запас энергии остаётся постоянным. Отсюда следует закон эквивалентности различных форм энергии: разные формы энергии переходят друг в друга в строго эквивалентных количествах. Первое начало можно выразить и в такой форме: вечный двигатель первого рода невозможен, т. е. невозможно построить машину, которая давала бы механическую работу, не затрачивая на это соответствующего количества молекулярной энергии; или внутренняя энергия является функцией состояния, т. е. ее изменение не зависит от пути процесса, а зависит только от начального и конечного состояния системы.
Докажем, что внутренняя энергия является функцией состояния. Пусть при переходе системы из первого состояния во второе по одному пути изменение внутренней энергии равно ΔUа, а по другому пути — ΔUb,т. е. предположим вначале, что изменение внутренней энергии зависит от пути процесса. Если величины ΔUа и ΔUbразличны, то, изолируя систему и переходя из состояния 7 в состояние 2 одним путчем, а затем обратно из состояния 2 в состояние 1 другим путем, получали бы выигрыш или потерю энергии ΔUb—ΔUа-но по условию система изолированная, т. е. она не обменивается теплом и работой с окружающей средой и запас ее энергии согласно первому началу термодинамики должен быть постоянным. Таким образом, сделанное предположение ошибочно. Изменение внутренней энергии при переходе системы из состояния 1 в состояние 2 не зависит от пути процесса, т. е. внутренняя энергия является функцией состояния.
Изменение внутренней энергии ΔUсистемы может происходить за счет обмена теплотой Qи работой А с окружающей средой. Условились считать положительными величинами теплоту, полученную системой и работу, совершенную системой. Тогда из первого начале термодинамики следует что полученная системой извне теплота Qрасходуется на приращение внутренней энергии ΔUи работу А, совершенную системой, т, е.
Q = ΔU + A.(II, 1)
Уравнение (II, 1) представляет собой математическую формулировку первого начала термодинамики. Величины ΔU, Qи А в уравнении (II, 1) могут иметь как положительное, так и отрицательное значение в зависимости от характера процесса. Если, например, все три величины отрицательны, то это означает, что отданная системой внешней среде теплота равна убыли внутренней энергии плюс полученная системой работа.
В отличие от внутренней энергии, теплота Qи работа А не являются функциями состояния, они зависят от пути процесса. Разность их
Q- A= ΔU (II, 2)
от пути процесса не зависит. Для бесконечно малого изменения этих величин имеем
термодинамика эндотермический реакция
δQ = dU + δA,(II,3)
где dU— полный дифференциал внутренней энергии системы; δQ— бесконечно малое количество теплоты; δА — бесконечно малое количество работы.
Работа расширения идеального газа в разных процессах
Для многих систем единственный вид работы — работа расширения. Практическое значение имеет обычно работа расширения газа, причем многие газы при достаточно низких давлениях и сравнительно высоких температурах приближенно подчиняются законам идеальных газов. Рассмотрим математические соотношения для вычисления работы расширения идеального газа в разных процессах. При расширении газа совершается работа, которая вычисляется по уравнению
δA=pdv, (II,5)
или в интегральной форме
A= ,(11,6)
Интегрирование уравнения (II, 6) возможно только для процесса расширения или сжатия газа в условиях, близких к равновесным. Совершаемая при этом работа является наибольшей и называется максимальной работой.
Для интегрирования уравнения (II, 6) нужно знать зависимость между давлением и объемом газа, т. е. уравнение состояния газа.
Эта зависимость для идеального газа описывается уравнением состояния Менделеева — Клапейрона:
pv = nRT,(11,7)
где n — число молей идеального газа; R— универсальная газовая постоянная, равная 8,314 дж/моль-град.
Рассмотрим выражения для максимальной работы расширения идеального газа в пяти процессах: изобарном, изотермном, адиабатном, изохорном и изобарно-изотермном.

1. Изобарный процесс осуществляется при постоянном давлении (р = const). При этом из уравнения (II, 6) получаем
A = p(υ2- υ1). (II,8)
Учитывая, что pv2 = nRT2и pv1 = nRT1 имеем
A=nR(T2-T1)(11,9)
2. Изотермный процесс протекает при постоянной температуре (T=const). Подставляя в уравнение (II, 6) вместо р величину nRT/vиз (II, 7), получим после интегрирования
A = 2,3nRT lg(υ2/υ1) (II,10)
Учитывая, что при T= constp1v1 = p2v2, получим
A = 2,3nRTlg (p2/p1). (II, 11)
3. Адиабатный процесс отвечает условию Q = 0. В этом процессе одновременно изменяются температура и давление газа. В связи с тем, что газ не получает теплоты извне, работа адиабатного расширения производится за счет уменьшения внутренней энергии и газ охлаждается:
А = — ΔU.(II, 12)
Приращение внутренней энергии зависит от мольной теплоемкости идеального газа при постоянном объеме Cv,т. е.
ΔU = nCv(T2-T1). (II, 13)
Из сравнения уравнений (II, 12) и (II, 13) получаем
A= nCv(T1-T2),(II, 14)
где T1 — начальная температура; Т2 — конечная температура.
4. Изохорный процесс протекает при постоянстве объема (v = const).
Из уравнения (II, 6) получаем A=0
График в координатах р, vдля четырех перечисленных процессов расширения или сжатия газа представлен на рис. 19. Площадь под кривой для соответствующего процесса дает максимальную работу расширения газа в этом процессе.
5. Изобарно-изотермный процесс отвечает условию, когда р = constи Т = const. Если число молей п в смеси газов изменяется в результате химической реакции, например,
2СО+О2 = СО2, N2O4 = 2N02
или в результате физического процесса, например, при испарении жидкости, то протекает изобарно-изотермный процесс расширения или сжатия смеси газов. При этом максимальная работа расширения идеального газа в соответствии с уравнением (II, 8) равна
A = p(v2 — v1) = pΔv.
При р = constи T = constиз уравнения (II, 7) получаем
рΔυ = ΔnRT,
отсюда
A = ΔnRT(II, 15)
где Δn— приращение числа молей газов в результате реакции.
Величина Δn может иметь положительное и отрицательное значения, в зависимости от того, увеличивается или уменьшается число молей газов во время процесса.
Применение первого начала термодинамики к процессам в любых системах. Закон Гесса
Примем, что единственным видом работы, которая совершается системой, является работа расширения. Подставляя уравнение (II, 5) в (II, 3), получим
δ Q = dU + pdv.(И, 16)
Рассмотрим два процесса: изохорный и изобарный. При изохорном процессе y = const, dυ = 0 и интегрирование уравнения (II, 16) дает
Qυ = U2 – U1= ΔU. (II,17)
Таким образом, теплота изохорного процесса равна приращению внутренней энергии системы.
При изобарном процессе (р = const) интегрирование уравнения (II, 16) и простое преобразование дают
Qp= (U2 + pυ2) - (U1 + pυ1)- (11,18)
В химической термодинамике важное значение имеет термодинамическая функция — энтальпия Н, которая связана с внутренней энергией соотношением
H = U +pυ.(11,19)
Внутренняя энергия U,давление р и объем vпредставляют собой функции состояния. Отсюда следует, что энтальпия — также функция состояния. Из уравнений (II, 18) и (II, 19) получаем
Qp = H2-H1 = ΔH.(11,20)
Таким образом, теплота изобарного процесса равна приращению энтальпии системы во время этого процесса. Для бесконечно малого изменения теплоты в изохорном и изобарном процессах можно написать
δQv = dQv = dU; δQp = dQp = dH.(11,21)
Из уравнений (II, 17) и (II, 20) следует, что для двух практически важных процессов изохорного и изобарного — теплота процесса приобретает свойства функции состояния, т. е. она не зависит от пути процесса а зависит только от начального и конечного состояния системы. Это положение было сформулировано на основании опытных данных Г. И. Гессом и называется законом Гесса. Закон Гесса — математическое следствие первого начала термодинамики и составляет теоретическую основу термохимии.
Термохимией называется раздел химической термодинамики, в котором рассматривается применение первого начала (закон Гесса) для вычисления тепловых эффектов различных физико-химических процессов: химических реакций, фазовых переходов, процессов кристаллизации, растворения и др. Для практики наибольший интерес имеют термохимические расчеты теплового эффекта химической реакции.
Тепловым эффектом химической реакции называется количество теплоты, которое выделяется или поглощается при необратимом протекании реакций, когда единственной работой является только работа расширения при этом температуры исходных веществ и продуктов реакции должны быть одинаковыми.
В соответствии с уравнениями (II, 17) и (II, 20) тепловой эффект химической реакции при постоянном объеме Qvравен приращению внутренней энергии системы во время реакции; тепловой эффект химической реакции при постоянном давлении Qpравен приращению энтальпии во время этой реакции:
QV = ΔU, Qn= ΔH.(II, 22)
При этом тепловой эффект эндотермической реакции, т. е. реакции, протекающей с поглощением тепла, в соответствии с общими правилами знаков для переданной теплоты будет положительным; а тепловой эффект экзотермической реакции, т. е. реакции, протекающей с выделением тепла, — отрицательным. В дальнейшем изложении тепловой эффект химической реакции при постоянном объеме будет обозначаться AUи при постоянном давлении — ΔН.
Из (II, 19) для процесса, протекающего при р = const, вытекает соотношение
ΔH = ΔU + pΔv.(П.23)
Для химической реакции из уравнений (И, 23) и (II, 15) получаем
ΔH=ΔU + ΔnRT,(II, 24)
где An— приращение числа молей газообразных веществ в результате протекания химической реакции.
Из уравнения (II, 24) можно вычислить тепловой эффект реакции ΔН, если известен тепловой эффект ΔU.
Если реакция происходит в конденсированных фазах, т. е. когда реагенты представляют собой жидкие и твердые продукты, то различием между АН и AUможно пренебречь.
При написании уравнений термохимических реакций указывают агрегатное состояние реагентов и тепловой эффект реакции. Так, например,
РС15 (т) + Н20 (г) -> РОС13 (ж) + 2НС1 (г) ΔН = — 111,4 кдж.
Это означает, что тепловой эффект данной реакции при постоянном давлении равен ΔH= 111,4 кдж.
Поясним на примере окисления железа приемы использования первого начала термодинамики (закона Гесса) при расчете тепловых эффектов реакций.
Железо, реагируя с кислородом, может образовать окись железа (III):
2Fe(т) +1,502 (г) -> Fe203 (т) ΔН1=821 кдж. (1)
Эта же реакция может осуществляться другим путем с образованием промежуточного продукта — окиси железа (II):
2Fe(т) + О, (г) 2FeO(т) ΔH2 = 527 кдж; (2)
2FeO(т) +0,502(г) -> Fe203 (т) ΔH3 = — 294 кдж. (3)
Все три реакции протекают при постоянном давлении, причем начальные и соответственно конечные состояния (температура, агрегатное состояние и др.) для реакций (1) — (3) одинаковы.
При помощи закона Гесса можно определить тепловой эффект одной из этих реакций [например, реакции (1)], если известны тепловые эффекты двух других реакций. Для этого используются два приема.
1. Прием алгебраического сложения термохимических уравнений. После алгебраического суммирования уравнений реакций (2) и (3) и сокращения одинаковых слагаемых получим
2Fe(т)+1,50., (г) -> Fe203 (т) ДЯ2 + АН3.
Как видно, термохимическое уравнение (4) совпадает с (1). Отсюда в соответствии с законом Гесса получаем
ΔH1 = ΔH2 + ΔH3,
или
— 527+ (— 294) = —821 кдж, что совпадает со значением ΔН=-821 кдж.
Термохимия
Большое значение для термохимии имеет закон Гесса, так как при помощи его можно рассчитывать тепловые эффекты таких реакций, которые или нереализуемы, или не могут быть проведены до конца. Закон Гесса позволяет вычислять тепловые эффекты процессов, для которых экспериментальные данные отсутствуют. Это относится не только к химическим реакциям, но и к процессам растворения, испарения, сублимации, кристаллизации и др.
Тепловые эффекты химических реакций можно вычислить по теплотам образования и сгорания.
Теплотой образования называют тепловой эффект при образовании из простых веществ одного моля соединения. При этом теплота образования простых веществ (N2, Н2, 02 и др.) принимается равной нулю. Стандартные теплоты образования вычисляются при стандартных условиях: 25°С и 1,013-105 н/м2 (1 атм). Простые вещества рассматриваются в том агрегатном состоянии и в той модификации, в каких они устойчивы при стандартных условиях. Например, стандартная теплота образования карбоната кальция — это тепловой эффект реакции
Са(т) + С(граф)+1,502(г) = СаС03(т) ΔH = — 1206 кдж.
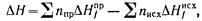
По сравнительно небольшому числу стандартных теплот образования можно вычислить тепловые эффекты многих химических реакций. При этом пользуются правилом, которое вытекает из закона Гесса: тепловой эффект химической реакции равен разности между суммой теплот образования продуктов реакции и суммой теплот образования исходных веществ. В математической форме это правило записывается следующим образом:
(II, 25)
Если известен тепловой эффект реакции ΔН, то тепловой эффект ΔUвычисляется по (II, 24).
Зная тепловой эффект образования химического соединения в одном агрегатном состоянии, можно на основе закона Гесса вычислить тепловой эффект его образования в другом агрегатном состоянии:

При термохимических расчетах реакций, протекающих в растворах, надо учитывать тепловой эффект процесса растворения химического соединения в данном растворителе.
Тепловой эффект образования химического соединения, диссоциирующего на ионы, определяется по теплотам образования ионов в растворе.
Теплота растворения зависит от концентрации химического соединения в растворе. Теплота, которая поглощается или выделяется при растворении одного моля вещества в таком количестве растворителя, чтобы образовался раствор с определенной моляльностыо т, называется интегральной теплотой растворения.
Теплота растворения твердого соединения с ионной кристаллической решеткой определяется в основном суммой двух величин: теплоты разрушения кристаллической решетки и теплоты сольватации ионов молекулами растворителя. В связи с тем, что на разрушение кристалла теплота затрачивается, а процесс сольватации сопровождается выделением теплоты, знак теплоты растворения может оказаться как положительным, так и отрицательным в зависимости от того, какое из двух слагаемых больше по абсолютной величине. Например, при растворении 1 моль СиС12*2Н20 в 8 моль воды поглощается 3,35 кдж теплоты; при растворении того же количества кристаллогидрата в 12 моль воды теплота растворения равна нулю; а при его растворении в очень большом количестве воды выделяется 17,67 кдж теплоты.

Зависимость интегральной теплоты растворения ΔНт от моляльности т раствора приведена на рис. 20. Значение ΔHравно первой интегральной теплоте растворения; оно равно тепловому эффекту при растворении одного моля вещества в бесконечно большом количестве растворителя; А Н0 определяется графической экстраполяцией ΔHт к т = 0. Отрезок ΔНя на рис. 20 соответствует последней или полной интегральной теплоте растворения; она равна теплоте растворения моля вещества в таком количестве растворителя, чтобы образовался насыщенный раствор.
Прибавление воды к раствору также сопровождается тепловым эффектом — теплотой разведения. Чем разбавленнее раствор, тем теплота разведения меньше. Пользуясь интегральными теплотами растворения, можно вычислить теплоты разведения. Различают две теплоты разведения — интегральную и промежуточную. Интегральной теплотой разведения ΔНт называют тепловой эффект, наблюдающийся при разбавлении раствора, содержащего один моль растворенного вещества, до бесконечного разведения, т. е. до т = 0.
Теплота растворения одного моля вещества в большом объеме* раствора определенной концентрации называется дифференциальной теплотой растворения.
При взаимодействии грамм-эквивалента сильной кислоты с сильным основанием в разбавленных водных растворах выделяется почти одинаковое количество тепла ДЯ = — 55,9 кдж/г-экв (при 25°С). Постоянство теплот нейтрализации связано с тем, что при взаимодействии сильных кислот и оснований, полностью диссоциированных в водных растворах, из ионов Н4" (точнее из ионов гидроксония Н30+) кислоты и ОН" основания образуются молекулы воды:
Н++ Сl+ К++ОН=Сl+К+ + Н20(ж)
Нейтрализация слабых кислот сильными основаниями или сильных кислот слабыми основаниями сопровождается одновременной диссоциацией слабого электролита. При этом выделяется или поглощается теплота диссоциации ΔHДИСС, которая зависит от теплоты, поглощаемой при распаде молекулы на ионы, и теплоты гидратации ионов молекулами растворителя. Теплота диссоциации может быть как положительной, так и отрицательной. Таким образом, теплота нейтрализации слабых кислот и оснований складывается из двух величин: теплоты образования воды из ионов и теплоты диссоциации слабого электролита:
ΔH = — 55,9 + ΔHдисс, (II, 28)
где ΔH - теплота нейтрализации слабого электролита, кдж/моль\ АЯдисс — теплота диссоциации слабого электролита, кдж/моль.
Тепловые эффекты химических реакций с участием органических соединений удобно вычислять по теплотам сгорания, которые легко определяются из опыта. Теплотой сгорания называется тепловой эффект при постоянном давлении реакции окисления кислородом одного моля химического соединения с образованием продуктов сгорания. В качестве продуктов сгорания элементов С, Н, N, Sи С1 принимают С02(г), Н20(ж), N2(r), SO2(r) и НС1(г).
Теплота сгорания, например, жидкого анилина представляет собой тепловой эффект реакции
C6H5NH2 (ж) + 7 02 (г) -> 6С02 (r)+3Н20 (ж) + N2
ΔHсг = — 3396 кдж/моль.
Вычисление тепловых эффектов реакций по теплотам сгорания производится на основании правила, являющегося следствием закона Гесса: тепловой эффект химической реакции равен разности между суммой теплот сгорания исходных веществ и суммой теплот сгорания продуктов реакции.
Литература
Энгельс Ф. Диалектика природы. Политиздат, 1965.
Ленин В. И. Материализм и эмпириокритицизм. Политиздат, 1962.
Герасимов Я. И. и др. Курс физической химии, т. 1, 2. «Химия», М. Л., 1973, 1970.
Герасимов Я. И. Развитие физической химии в СССР. «Наука», 1907.
Даниэльс Ф., Альберти Р. Физическая химия. «Высшая школа», 1967.
Жуховицкий А. А., Шварцман Л. А. Физическая химия. Металлург- издат, 1962.
Киреев В. А. Курс физической химии. Госхимиздат, М. — Л., 1955.
Киреев В. А. Краткий курс физической химии. «Химия», М. — Л., 1969,
Мелвин-Хьюз Э. А. Физическая химия, т. 1, 2. ИЛ, 1962.
Мищенко К. П., РавдельА. А. Краткий справочник физико-химических величин. «Химия», М.—Л., 1967.
Николаев Л. А., Тулупов В. А. Физическая химия. «Высшая школа», 1967.
Ормонт Б. Ф. Введение в физическую химию и кристаллохимию полупроводников. «Высшая школа», 1973.
|