Министерство науки и образования РФ
Байкальский государственный университет экономики и права
Читинский институт
Кафедра финансов и кредита
Курсовая работа
Экономической и социальной географии России
на тему:
Сравнительная характеристика Центрального и Уральского районов машиностроения.
Работу выполнил:
студент гр. Ф – 10-2
Кирюшев А.С.
Научный руководитель:
доцент кафедры
«Мировая экономика»
к.г.н. Сульженко В.В.
Чита, 2010
ОГЛАВЛЕНИЕ:
Введение
…………………………………………………………………………...3
1. Место машиностроения в хозяйственном комплексе Центрального и Уральского районов.
…………………………………………… ……………………..5
1.1. Место машиностроения в народном хозяйстве Центрального и Уральского районов.
. 5
1.2. Структура машиностроения……………………………………………….. ………………..8
2. Факторы и особенности определившие развитие и размещение отраслей машиностроительного комплекса Центрального и Уральского районов.
. ……14
2.1. Исторические особенности развития промышленности в районе………………………14
2.2. Крупные центры и характерные черты их размещения………… ………………………..18
3. Проблемы и перспективы развития отраслей машиностроения.
………………………………………………………………………30
Заключение
………………………………………………………………………33
Список использованной литературы
...............................................................34
Приложения
ВВЕДЕНИЕ
Машиностроение - системообразующая отрасль отечественной экономики, которая определяет уровень производственного и кадрового потенциала страны, обороноспособность государства, а также устойчивость функционирования всех отраслей промышленности. Машиностроение является главной отраслью для подъема экономики России и придания ей инновационного характера.
От развития машиностроения во многом зависит - сможет ли Россия занять ведущее место среди государств, обладающих высокотехнологичной промышленностью и производящих продукцию, конкурентоспособную на мировых рынках, или превратится в сырьевой придаток экономик развитых стран мира.
Исторически сложилось, что важнейшим машиностроительным районом России является Центральный экономический район. Здесь имеются старые традиции машиностроения, удобное географическое положение, большая потребительская база, наличие высококвалифицированных трудовых ресурсов, близкая сырьевая база.
Центральный район дает стране более 1/3 всей продукции машиностроения страны. Номенклатура выпускаемой продукции разнообразна от тяжелого машиностроения до высокотехнологичного приборостроения и электротехнической промышленности. Предприятия Центрального экономического района связаны прочными производственными связями со многими предприятиями других экономических районов России, а так же унаследовали эти связи с государствами бывшего СССР (Украина, Белоруссия).
Второй по значимости район машиностроения – Урал. Машиностроение Урала – крупная отрасль его рыночной специализации, занимает ведущее место в структуре промышленного производства Уральского экономического района. В настоящее время в районе работают почти 150 машиностроительных предприятий, представляющих все подотрасли машиностроения. Здесь развиты: тяжелое машиностроение ( производство горно-металлургического оборудования, химического и нефтехимического оборудования ), энергетическая ( производство турбин . паровых котлов и других ), транспортное , сельскохозяйственное машиностроение, тракторостроение. Наиболее быстро развивается электротехническое машиностроение, приборостроение, станкостроение.
Многие производства Уральского экономического района являются металлоемкими, поэтому машиностроение тесно взаимодействует с металлургией.
Цель данного исследования
заключается в систематизации знаний об экономических Центральном и Уральском районах машиностроения, путем их сравнения. Исходя из цели, сформулируем задачи исследования:
1. Определить место машиностроения в народном хозяйстве Центрального и Уральского районов.
2. Показать структуру современного машиностроения России.
3. Указать факторы и особенности развития и размещения отраслей машиностроения Центрального и Уральского районов.
5. Описать проблемы и перспективы развития отраслей машиностроения Центрального и Уральского районов.
Сроки исследования:
сентябрь-ноябрь 2010 – 2011 учебного года.
1.
Место машиностроения в хозяйственном комплексе Центрального и Уральского районов
1.1. Место машиностроения в народном хозяйстве Центрального и Уральского районов
Машиностроение — одна из ведущих отраслей экономики нашей страны, которая состоит из большого количества подотраслей и производств. Предприятия этой отрасли связаны между собой и с предприятиями других отраслей народного хозяйства. Это обусловлено несколькими причинами.
Во-первых, машиностроительный комплекс – крупнейший из промышленных комплексов, на его долю приходится почти 20% производимой продукции и всех, работающих в хозяйстве России. Машиностроение и металлообработка характеризуются более крупными размерами предприятий, чем промышленность в целом (средний размер предприятия в отрасли составляет по численности рабочих около 1700 человек, по сравнению с менее чем 850 по промышленности в целом), большей фондоёмкостью, капиталоёмкостью и трудоёмкостью продукции; конструктивно-технологическая сложность продукции машиностроения требует разнообразной по профессиям и квалифицированной рабочей силы. Среди всех отраслей промышленности машиностроение занимает первое место по доле в валовой продукции (в 1990 г. – 30%) и промышленно-производственном персонале, второе место (после топливно-энергетического комплекса) по доле в промышленно-производственных фондах, а также в структуре экспорта (18%).
Во-вторых, машиностроение создает машины и оборудование, применяемые повсеместно: в промышленности, сельском хозяйстве, в быту, на транспорте. Следовательно, научно-технический прогресс во всех отраслях народного хозяйства материализуется через продукцию машиностроения, в особенности таких ее приоритетных отраслей как станкостроение, электротехническая и электронная промышленность, приборостроение, производство электронно-вычислительной техники. Машиностроение, таким образом, представляет собой катализатор научно-технического прогресса, на основе которого осуществляется техническое перевооружение всех отраслей народного хозяйства. Поэтому основное экономическое назначение продукции машиностроения – облегчить труд и повысить его производительность путем насыщения всех отраслей народного хозяйства основными фондами высокого технического уровня.
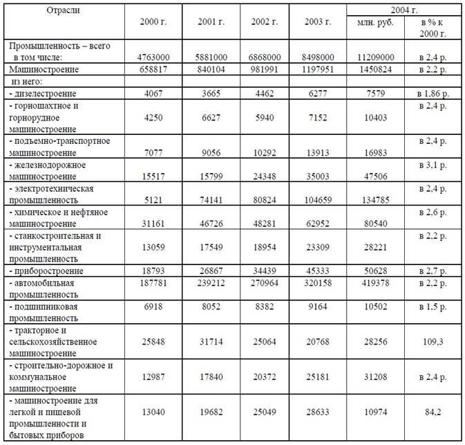
Структуру и динамику развития общего промышленного машиностроения можно представить в виде таблицы 1.
Таблица 1
Структура и динамика производства промышленной продукции по отраслям
машиностроения в России, 2000 – 2004 гг.

Машиностроительный комплекс ЦЭР
по численности занятых и товарной продукции не имеет равных в стране. Среди отраслей машиностроения ведущее место принадлежит тем из них, которые в наибольшей степени зависят от наличия квалифицированных кадров и используют мощный научно-технический потенциал района.
Станкостроительная и инструментальная промышленность ЦЭР производит 1/5 металлорежущих станков и около 1/3 металлообрабатывающего инструмента в СНГ. Предприятия сосредоточены в Москве и Московской области (Коломна, Егорьевск, Дмитров), а также в Рязанской (Рязань, Сасово), Ивановской (Иваново) и Калужской (Сухиничи) областях. Предприятия электротехнической промышленности сосредоточены в столице и в области (Подольск, Серпухов), а также в Ярославле, Рыбинске, Владимире, Кольчугине. Приборостроение наиболее развито в Москве и в Московской области, а также в Орловской, Ярославской и Смоленской областях.
ЦЭР — родина отечественного железнодорожного машиностроения. Производство тепловозов сосредоточено в Коломне, Брянске, Калуге, Людинове, Муроме; вагонов — в Брянске, Твери, Мытищах.
Машиностроение в первую очередь определяет производственный профиль Центрального района. Его межрайонное значение очень велико. Благодаря наличию квалифицированных кадров и мощному научно-техническому потенциалу особенно развиты трудоемкие и неметаллоемкие отрасли: приборостроение, электротехника и электроника, станкостроение. Велика также доля района в общероссийском производстве транспортных средств и оборудования, сельскохозяйственной техники, технологического оборудования для легкой промышленности и электроэнергетики. Специфика машиностроения района — высокий уровень развития общемашиностроительных отраслей: производства режущего и измерительного инструмента, подшипников, электрооборудования, нормалей, литья из черных и цветных металлов. Это обеспечивает большие преимущества в условиях необходимости часто менять модели выпускаемых изделий.
Машиностроение
Урала
производит около 16% промышленной продукции района и сосредоточено более чем на 150 крупных предприятиях, представляющих различные подотрасли. Тяжелое машиностроение развито в Свердловской обл. (заводы «Уралмаш», «Уралхиммаш», «Уралэлектротяжмаш»), Пермском крае (производство горно-шахтного оборудования), Оренбургской обл. (оборудование для металлургического и горнодобывающего комплексов) и в Республике Башкортостан (завод горного оборудования в Уфе). Тяжелое машиностроение отличается наибольшей металлоемкостью и тесно связано с основными металлургическими предприятиями района. Важно также отметить его потенциальные возможности для технического перевооружения всего промышленного комплекса Урала.
Машиностроительный комплекс Урала перенасыщен предприятиями ВПК, что существенно осложняет их конверсию и требует крупных инвестиций. Следовательно, должно пройти определенное время, прежде чем продукция высокотехнологических предприятий закрепится на внутреннем и внешнем рынке.
Доля Урала в производстве и сбыте на внутрироссийском рынке металлорежущих станков, экскаваторов, оборудования для химической промышленности и сельского хозяйства составляет от 20 до 40%.
На Урале имеются значительные мощности для производства товаров народного потребления в машиностроительной отрасли, что позволяет выпускать до 30% холодильников и стиральных машин, 70% мотоциклов в России. Выпуск товаров народного потребления может быть восстановлен до прежнего уровня и далее увеличен за счет конверсии оборонного комплекса.
1. 2. Структура машиностроения.
Машиностроительный комплекс включает машиностроение и металлообработку. В этом комплексе создаются различные машины и оборудование. Машиностроение и металлообработка играют исключительно важную роль в экономике страны. В машиностроительном комплексе действует треть всех предприятий промышленности, в нем сосредоточены десятая часть основных промышленно-производственных фондов, более трети численности промышленно-производственного персонала, создается почти пятая часть стоимости произведенной промышленной продукции в стране. В то же время этот комплекс испытал значительный спад производства в начале 1990-х гг.: согласно имеющимся оценкам, объем выпуска продукции машиностроения к середине 2000-х гг. сократился по сравнению с 1990 г. на 40%. Положение в нем начало улучшаться только с 1999 г., когда впервые после снижения выпуск продукции машиностроения превысил уровень предшествующего года и составил 111% (в 2000 г. — 112% уже по сравнению с 1999 г. и т.д.).
В машиностроительном комплексе до 80% выпускаемой продукции приходится на машиностроение.
Машиностроение имеет сложную структуру. Оно включает свыше 130 отраслей и подотраслей. В отечественной экономической статистике в машиностроении выделяют 18 основных производств. Это машиностроение: 1) энергетическое; 2) металлургическое; 3) горно-шахтное и горнорудное; 4) подъемно-транспортное; 5) электротехническое; 6) химическое; 7) производство нефтепромыслового и геологоразведочного оборудования; 8) производство нефтегазоперерабатывающего оборудования; 9) станкостроительная и инструментальная промышленность; 10) радиоэлектронная и приборостроительная промышленность; 11) транспортное машиностроение (авиа-, судо-, автомобилестроение и железнодорожное машиностроение); 12) тракторостроение; 13) сельскохозяйственное машиностроение; 14) машиностроение для животноводства и кормопроизводства; 15) строительно-дорожное машиностроение; 16) производство оборудования для легкой и пищевой промышленности;17) производство сантехнического и газового оборудования;18) промышленность межотраслевых производств.
Ассортимент выпускаемой продукции российского машиностроения отличается большим разнообразием, что обусловливает глубокую дифференциацию его отраслей и существенно влияет на размещение производства отдельных видов продукции.
В России машиностроение принадлежит к числу наиболее распространенных в территориальном отношении отраслей промышленности. Однако в одних районах оно имеет профилирующее значение, а в других — его функции ограничены главным образом удовлетворением внутренних потребностей.
Центральный экономический район.
Машиностроение и металлообработка представлены практически всеми отраслями и подотраслями. Из 26 отраслей машиностроения, получивших наибольшее развитие в Центральном районе, 19 (или 80%) имеют общероссийскую специализацию. Преобладают сложные и наукоемкие производства. Важнейшие виды продукции машиностроения и металлообработки — это автомобили, изделия радиотехнической и электронной промышленности, управляющие и вычислительные машины, автоматические линии и станки, приборы, инструменты, подшипники.
Транспортное машиностроение
представлено производством автомобилей, тепловозов, вагонов, речных судов. Широкое развитие транспортного машиностроения в районе обусловлено его центральным положением и наличием густой сети путей сообщения.
Крупным центром автомобилестроения является Москва. Здесь расположены завод им. И.А.Лихачева (ЗИЛ), который в основном специализируется на производстве среднетоннажных грузовых автомобилей, и завод малолитражных автомобилей (АЗЛК). В Московской области в Ликино-Дулево находится автобусный завод. В Ярославле налажено производство автомобильных двигателей.
В районе действуют многочисленные предприятия-смежники: машиностроительные, текстильные, химические, которые обеспечиваютавтомобилестроение необходимыми узлами, деталями, комплектующими изделиями в порядке кооперирования.
Одним из крупнейших в стране заводов транспортного машиностроения стал Коломенский тепловозостроительный завод им. В.В. Куйбышева, который еще до 1917 г. выпускал паровозы. Производство маневровых тепловозов создано на Людиновском и Муромском заводах. Вагоностроение представлено Тверским машиностроительным заводом (самым крупным в стране), который производит пассажирские вагоны для поездов дальнего следования и для электропоездов, Мытищинским машиностроительным заводом, выпускающим пассажирские вагоны для метрополитена. В Брянске производятся изотермические вагоны.
Речное судостроение имеет преимущественно местное значение, Центры речного судостроения и судоремонта — Москва, Рыбинск, Кострома.
В районе выпускаются мотоциклы и мотороллеры (Тула, Ковров), самолеты (Москва).
Станкостроение
специализировано на изготовлении автоматических станков и линий, агрегатных станков, гибких производственных систем, станков с числовым программным управлением, т. е. новейшего станочного оборудования. Основные центры станкостроения - Москва, а также Коломна, Иваново, Рязань, Егорьевск. В Москве завод «Красный пролетарий» выпускает полуавтоматические станки, завод им. С, Орджоникидзе специализируется на производстве сложных автоматических линий и агрегатных станков. Заводы «Станколит», «Станкоконструкция», «Станконормаль» изготавливают отдельные узлы, агрегаты, детали. Заводы столицы выпускают также внутришлифовальные, координатно-расточные и другие станки. Москва — крупнейший центр производства инструментов (заводы «Калибр», «Фрезер» и др.). В Рязани получило развитие производство кузнечно-прессового оборудования и автоматических станков. В Коломне производятся карусельные и зубофрезерные станки. Центральному району принадлежит 31,2% производства металлорежущих станков и 13% кузнечно-прессовых машин Российской Федерации.
Приборостроение
представлено выпуском опытной аппаратуры для научных исследований, средств контроля производственных процессов, оптико-механической техники, точных приборов. Основной центр — Москва (заводы «Энергоприбор», «Физприбор», «Манометр», часовые заводы). Приборостроение развито также во Владимире, Рязани, Смоленске, Угличе и других городах.
Электротехническая промышленность
представлена московскими заводами «Динамо», им. Владимира Ильича, Москабель и заводами в Калуге, Ярославле. Район производит около 50% электродвигателей.
Широкое развитие в районе получило производство тракторов
и сельскохозяйственной техники, которое связано с особенностями агроклиматических условий Нечерноземной зоны страны. Колесные тракторы выпускают во Владимире. В Люберцах завод им. А.В Ухтомского выпускает самоходные комбайны, сенокосилки и другие сельскохозяйственные машины. В Бежецке производится льноуборочная техника. Заводы в Туле и Рязани изготавливают картофелепосадочные и уборочные машины, сельскохозяйственный инвентарь.
Выпуск технологического оборудования
обеспечивает нужды как самого района, так и других территорий. Это оборудование для металлургической, цементной, химической, пищевой, целлюлозно-бумажной промышленности и ряда других отраслей.
На территории Центрального района размещены и предприятия тяжелого машиностроения
(Электросталь, Брянск, Калуга).
Широкое развитие в районе получил выпуск продукции бытового назначения:
фотоаппаратов (Красногорск), телевизоров (Москва, Александров), радиоприемников, холодильников (Москва, Муром и др.). В перспективе Центральный район сохранит свое лидирующее положение в машиностроении. Наиболее перспективны станко- и приборостроение, электронная промышленность и электротехника, автомобилестроение и другие наукоемкие отрасли.
Уральский экономический район.
Производство продукции отраслей машиностроения и металлообработки
по стоимости превосходит выпуск всей металлургии района. В прошлом машиностроение было развито крайне слабо, давало всего лишь около 10% промышленной продукции Урала и выпускало в основном несложный сельскохозяйственный инвентарь (серпы, косы, плуги и др.). Ныне по масштабам развития машиностроения в нашей стране Урал уступает только Центральному району. Наибольшее развитие здесь получило тяжелое металлоемкое машиностроение, приближенное к основным базам металла. Урал занимает первое место в стране по выпуску металлургического, подъемно-транспортного и нефтегазового бурового оборудования. Знаменитый Уралтяжмаш в Екатеринбурге производит мощнейшие экскаваторы и другое сложное оборудование, Пермский завод - нефтебуры, Орский Южуралмаш — проходческие комбайны для горнорудной промышленности. -
Значительное развитие получило транспортное машиностроение
. В Нижнем Тагиле крупнейший в стране вагоностроительный завод выпускает грузовые вагоны; пассажирские вагоны — Усть-Катавский завод в Челябинской области. В Миассе производятся грузовые автомобили, в Ижевске — автомобили «Москвич» и мотоциклы, в Кургане находится автобусный завод.
Важное место Урал занимает по выпуску продукции энергетической, электротехнической и станкостроительной промышленности
. В Екатеринбурге сосредоточен выпуск гидравлических и тепловых турбин и электродвигателей, в Перми — дизелестроение, производство кабеля, трансформаторов и высоковольтной аппаратуры.
На Урале развито сельскохозяйственное машиностроение
: здесь находятся один из старейших и крупнейших Челябинский тракторный завод, Пермский, Боткинский (Удмуртия) заводы животноводческой техники, выпускающие, в частности, доильные машины. Завод Кургансельмаш производит специальные почвообрабатывающие орудия для засушливых степей Зауралья и целинных земель в Екатеринбурге. В Златоусте развиты станкостроение и инструментальное производство, в Уфе — моторостроение, производство оборудования для нефтехимической промышленности. Развитие машиностроительного производства в районе связано с освоением новых машин и оборудования, реконструкцией и технологическим обновлением действующих предприятий на основе новейших достижений научно-технического прогресса, внедрением передовых форм организации производства. Важное значение для успешной работы отрасли будут иметь завершение конверсии предприятий оборонного комплекса, перевод предприятий этого комплекса на выпуск гражданской продукции.
2.
Факторы и особенности определившие развитие и размещение отраслей машиностроительного комплекса Центрального и Уральского районов
2.1. Исторические особенности развития промышленности в районе
Первая промышленная революция - «революция паровых машин» в России произошла на рубеже XIX-XX вв. (в развитых странах Европы в XVIII - XIX вв.). Переворот начался в текстильной промышленности в Центральной России, где освободилось значительное количество крестьян. Мощная промышленность на основе старых металлургических производств формировалась на Урале. В XIX в. на долю этих районов приходилось 90% промышленного производства. Революция и гражданская война привели к развалу хозяйства.
В 30-е годы XX в. Россия вступила в период индустриализации (создание крупной машинной индустрии), отставая от развитых стран мира. Первые индустриальные объекты: Магнитогорский и Новокузнецкий металлургические комбинаты; автомобильные заводы ГАЗ и ЗИЛ; Волгоградский и Челябинский тракторные. Накануне Великой Отечественной войны в СССР была развита тяжелая промышленность, что помогло быстро перевести экономику на военные рельсы. Во время войны часть отраслей была эвакуирована на Урал, в Сибирь и Среднюю Азию, а часть - разрушена.
Центральный экономический район.
Центральное положение района на перекрёстке транспортных путей благоприятствовало в прошлом формированию здесь политического и экономического ядра Русского государства. К XVIII в. здесь сложилась крупная мануфактурная промышленность и разнообразные промыслы, которые во 2-й половине XIX в. содействовали быстрому развитию капиталистических форм промышленного производства. В период социалистического строительства Центральный экономический район явился основной базой технической реконструкции народного хозяйства СССР. Благоприятное транспортно-географическое положение, наличие квалифицированной рабочей силы, научно-инженерных кадров, концентрация основных фондов способствовали высоким темпам роста многоотраслевого хозяйства района и превращению его в важнейшую базу индустриального развития и научно-технического прогресса. Характерна высокая концентрация промышленности, научных и учебных институтов, культурно-просветительских организаций и учреждений в центре района — Москве.
Наибольшее развитие промышленный и сельскохозяйственный комплексы Центрального района получили в советский период, особенно в годы индустриализации (1929-1941 гг.). В эти годы строились новые предприятия и обновлялись старые. Главное внимание уделялось развитию черной и цветной металлургии, а также машиностроительной промышленности. Для обеспечения работы всего промышленного комплекса электроэнергией были построены электростанции Шатурская, Каширская (в первые годы советской власти), далее - Рязанская, Смоленская, Костромская, Конаковская (в Тверской области), Новомосковская, Черепетская, Щекинская (все - в Тульской области). Работают все перечисленные ГРЭС на торфе, угле и газе. В самой Москве были построены несколько ТЭС, работающих на газе, для обеспечения нужд населения и предприятий. В военные годы 1942-1945 гг. газ в Москву поставлялся по новому тогда газопроводу Саратов (Елшанка) - Москва. В послевоенные годы строительство электростанций продолжалось. Были построены ГЭС на Волге - Иваньковская, Угличская, Рыбинская. В г. Сергиев Посад (тогда г. Загорск) была построена гидроаккумулирующая электростанция (ГАЭС), в 50-е гг. в г. Обнинске Калужской области была построена первая в мире атомная электростанция. В 70-80 гг. прошлого века были построены еще две атомные электростанции - Смоленская (пос. Десногорск) и Тверская (пос. Удомля).
За годы Советской власти Москва коренным образом изменяет и обогащает свой народнохозяйственный облик. Она превращается из “ситцевой” в машиностроительную, развивает также науку, подготовку кадров, проектно-конструкторскую деятельность, становится главной научно-технической лабораторией.
Уральский экономический район.
В процессе промышленного освоения Урала главное внимание до ХХ века уделялось отраслям, добывающим сырье, которые давали 90% всей промышленной продукции. Металлообрабатывающая промышленность была развита слабо, лишь Мотовилихинский, Воткинский, Златоустовский, Усть-Катавский и некоторые другие заводы выполняли несложное оборудование, метизы, инструменты, простые сельскохозяйственные машины. Пермский завод в Мотовилихе (основан в 1863) изготовлял стальные и чугунные орудия, артиллерийские снаряды. Воткинский (основан в 1759) в начале ХХ века занимал видное место в транспортном машиностроении, выплавлял паровозы, пароходы, шхуны. На Пожвинском в 1817 строились первые русские пароходы для Камы и Волги. На Нижне-Тагильском заводе Ефим и Мирон Черепановы построили в 1833-1834 первый русский паровоз. Он ходил по рельсовому пути, проложенному на протяжении свыше 800 м, и перевозил около 3,5 т груза со скоростью 15 км/ч.
В 1815 впервые на Урале в качестве двигателя была применена паровая машина. Организация производства паровых машин определила возникновение специального производства в Екатеринбурге. Первыми машиностроительными заведениями здесь были казенная механическая мастерская (1800-1805), машиностроительное производство Нижне-Исетского завода (основан примерно в 1807), Мало-Истокская частная механическая фабрика (открыта в 1838), Мельковская частная механическая фабрика (основан в 1844). На базе последней к концу XIX в. вырос специальный машиностроительный завод (владелец Ятес), который изготовлял паровые машины и котлы всех систем, краны, трансмиссии, локомобили, прокатные станы, оборудование и машины для горнодобывающей промышленности, металлообрабатывающие станки. В 1900 был построен первый в Кургане механический завод. В целом к началу ХХ века машиностроение Урала было слабо развито. Доля его в производстве промышленной продукции края не превышала 8-10%. По данным 1912 удельный вес машиностроение Урала в России был следующим: паровозо- и вагоностроения - 2,7%, промышленного машиностроения - 0,9%, сельскохозяйственного машиностроения - 1,9%.
Объем машиностроительного производства на Урале быстро возрастает в период индустриализации. В 1929 в Свердлове создан вагоноремонтный завод имени С.В.Воеводина, машиностроительный завод "Металлист" по производству металлургического оборудования, агрегатов для добычи и переработки нефти, Ижевский завод приступил к производству станков (1930). В 1933 на Урале вступили в строй два машиностроительных гиганта: УЗТМ, ЧТЗ, а в 1937 – Уралвагонзавод. Пуском этих предприятий положено начало производства на Урале тяжелого металлургического и горного оборудования, тракторов и большегрузных вагонов. Для производства энергетического оборудования в 1934 пущен Уралэлектроаппарат. В это же время в число действующих вступили заводы, составившие базу самого машиностроения. В Свердловской области построен завод малых агрегатных станков, в Челябинске - завод специальных станков. В середине 1930-х число машиностроительных заводов приближалось к 80. Урал постепенно превращается в сложный многоотраслевой индустриальный центр, где все больший вес приобретало машиностроение, удельный вес которого во всей крупной промышленности края в 1937 достиг 31,7%. Важным этапом в развитии машиностроения стали годы Великой Отечественной Войны. На Урале было перебазировано 667 предприятий. За годы войны промышленное производство Урала возросло в 4 раза. Удельный вес машиностроения и металлообработки в крупной промышленности региона поднялся с 42,7% в 1940 до 70% в 1943. В годы войны вступили в строй Уралхиммаш, Уральский автомобильный, Челябинский кузнечно-прессовый, Челябинский механический, Копейский машиностроительный, Магнитогорский крановый завод и др. Машиностроение Урала обогатилось за счет эвакуированных с З-х предприятий. На базе эвакуированного Харьковского турбинного и оборудования дизельных цехов Ленинградского Кировского завода был окончательно сформирован Уральский турбомоторный завод. В крупное машиностроительное предприятие превратился "Металлист", на базе эвакуированного оборудования построен Катайский насосный, Бузулукский механический, Сысертский завод гидромашин, Алапаевский станкостроитроительный завод и др. В послевоенный период М региона расширяли специализацию и объемы произв. В 1965 удельный вес машиностроения Урала в машиностроении РСФСР составил по валовой продукции 14,6%. К концу 1980-х на Урале сформировался мощный многоотраслевой машиностроительный комплекс, занимающий ведущее место в отраслевой специализации региона. Регион выдвинулся в первый ряд поставщиков продукции тяжелого, транспортного, горнорудного, металлургического, химического, строительного, дорожного, энергетического и электротехнического машиностроения, получило развитие приборостростроение и электроника. Здесь производились почти все установки непрерывной разливки стали, гусеничные трактора мощностью свыше 100 лошадиных сил, около 90% агломерационного оборудования, свыше 60% бульдозеров и электропогрузчиков, около 45% дизельных двигателей, свыше 30% доменного и сталеплавильного оборудования, около 30% прокатного оборудования и т.д. Около 25% основных фондов машиностроения Урала в конце 1980-х приходилось на предприятия Свердловской области, 21% - Челябинска, 15% - Башкирской автономной республики, 14% - Удмуртии и соответственно по 11%, 7% и 6% - Пермской, Оренбургской и Курганской областей.
До середине 70-х машиностроительный комплекс Урала развивался быстрыми темпами, затем уровень опережающего развития по сравнению со всей промышленностью региона снижается. Основные фонды комплекса региона к концу 80-х оказались изношенными, оснащенными устаревшим оборудованием. Техническая реконструкция машиностроительного комплекса проводилась недостаточно масштабно и комплексно. Доля металлорежущего оборудования в возрасте 20 лет, т.е. физически изношенного и морально устаревшего, составила в целом по машиностроению Урала почти пятую часть всего парка оборудования. Медленно внедрялись такие прогрессивные виды оборудования, как гибкие производительные модули, автоматические манипуляторы, чрезмерно затягивались сроки осуществления мероприятий по технологическому перевооружению отраслей. От разработки технологического задания до его внедрения проходило в среднем 4-5 лет, что значительно снижало эффективность обновления производственного процесса. После распада СССР в 1991 машиностроительные предприятия Урала оказались в чрезвычайно сложном положении из-за нарушения устоявшихся межрегиональных связей. На современном этапе уральское машиностроение ищут новых партнеров, включаются в рыночные отношения, идет процесс акционирования машиностроительных предприятий края.
2.2. Крупные центры и характерные черты их размещения
Машиностроительные заводы представляют отрасль тяжёлой промышленности. Предприятия этой группы производят различные типы машин, орудий, приборов, а также продукцию оборонного назначения. Уровень развития этой отрасли является одним из показателей индустриального развития страны.
Центральный экономический район – район с наиболее развитой обрабатывающей промышленностью. Это обусловлено его выгодным экономико-географическим положением, наличием потребителей и квалифицированной рабочей силы. Таким образом, Центральный экономический район является одним из крупнейших центром машиностроения, где сосредоточены такие заводы как: ГАЗ, Коломенский тепловозостроительный завод, Станколит, Калибр, Динамо и т.д.
Коломенский тепловозостроительный завод
Летом 1863 года железнодорожная линия Москва – Саратов достигла Коломны. Предприимчивый и талантливый военный инженер Аманд Егорович Струве добился подряда на строительство моста через реку Оку и соорудил для этого временные мастерские на левом берегу Оки, у ее слияния с Москвой-рекой. Он приобрел в аренду более 10 десятин земли у крестьян села Боброва и получил право «производить разные постройки, как заводские, так и фабричные». Этим было положено основание одного из крупнейших в России Коломенского завода.
Коломенский завод первым в России стал строить мосты для железнодорожного и городского транспорта, прежде Россия покупала их конструкции за границей.
Аманд Струве строит первый мост, временный через Москву-реку для Московско-Казанского участка железной дороги. Вслед за мостом через Оку (1863-1864 гг.) сооружаются все мосты от Коломны до Воронежа и от Серпухова до Курска и Киева. Киевский мост через Днепр, строившийся в 1868-1870 годах, по новому способу с быками «пневматической системы», современники называли самым большим мостом в Европе: его протяженность превышала один километр. По заказу городской Думы Москвы в 60-70-х годах XIX века Коломенский завод построил Бородинский, Краснохолмский, Москворецкий и Крымский мосты. До сих пор одним из самых грандиозных и изящных сооружений считается Литейный мост, построенный в 1879 году через реку Неву в Петербурге.
С каждой вступавшей в строй магистралью в стране возрастала потребность в железнодорожной технике. И уже в 1865 году в Коломне было организованно производство первых товарных платформ, а затем и вагонов различного типа и началась подготовка к постройке паровозов. Локомотивостроение на Коломенском заводе ведет свою историю с 1869 года, когда из ворот предприятия вышел первый грузовой паровоз - это был один из первых паровозов, построенных в России.
В дореволюционный период Коломенский завод являлся одним из ведущих производителей локомотивов в России. За это время было спроектировано 139 типов паровозов.
В 1878 году изготовлен первый речной пароход «Кулебаки», вслед за ним строились суда различного назначения.
Коломенский завод одним из первых в мире освоил производство нового класса тепловых двигателей – дизелей. В 1903 году здесь был изготовлен первый одноцилиндровый вертикальный дизель мощностью 18 лошадиных сил, а через некоторое время завод стал крупнейшим в стране производителем дизелей. В 1904-1905 гг. дизели с торговой маркой Коломенского завода нашли применение как на заводах, так и в трубопроводном транспорте и на электрических станциях.
Коломенские инженеры нашли способ применения дизеля в качестве силовой установки для речных и морских судов. В 1907 году по проекту русского инженера-изобретателя Раймонда Александровича Корейво был построен первый в мире речной буксирный теплоход «Коломенский дизель», с этого времени началась эра теплоходостроения в России и в Европе. Начались первые поставки дизелей для Военно-Морского Флота. Продукция предприятия была удостоена высших наград на шести международных выставках, получив, таким образом, международное признание. Коломенский завод стал ведущим российским предприятием по теплоходостроению.
В 20-е годы ХХ века Коломенский завод стал одним из самых крупных предприятий страны, сыгравшим значительную роль в развитии железнодорожного транспорта и многих отраслей отечественной промышленности. Был освоен выпуск разнообразной сельскохозяйственной техники, тракторов, трамвайных моторных вагонов, снегоочистителей, вагонеток и другой продукции.
С начала 30-х годов, не прекращая производства паровозов и дизелей, завод начал осваивать изготовление качественно новых для России машин – тепловозов и электровозов. Первый тепловоз мощностью 600 лошадиных сил был построен в 1930 году. Этот тепловоз был оборудован электрической передачей и предназначался для маневровой работы на крупных станциях. А в 1933 году Коломенский завод первым в стране освоил серийное производство магистральных тепловозов.
Великая Отечественная Война изменила профиль заводского производства. Один за другим поступали фронтовые заказы. Налаживая их выполнение, цехи перестраивались и принимали военный вид.
С приближением вражеских войск к Москве основная часть завода была эвакуирована в Киров, где в сжатые сроки было налажено производство военной техники: танков, минометов «Катюша», самоходных установок.
В годы войны оставшиеся в Коломне работники производили ремонт военной техники. Также было налажено производство различных видов боеприпасов и снаряжения, освоена постройка передвижных платформ для зенитных орудий, построено два бронепоезда. Кроме того, завод выполнял крупные заказы металлургических комбинатов: производил коксовыталкиватели, оборудование для доменных печей, чугуновозы, шахтные подъемные машины, конверторы. Для восстановительных работ на освобожденных территориях изготавливались дизель-молоты и запасные части для электростанций.
В середине 1943 года на предприятии возобновились паровозостроение и дизелестроение. Завод осуществлял ремонт паровозов и дизелей, разрабатывались проекты новых конструкций локомотивов и двигателей, воплощенные в металл уже в мирное время.
11 июля 1945 года за успешное выполнение важных заданий по выпуску боеприпасов и металлургического оборудования в годы войны Коломенский завод был награжден орденом Трудового Красного Знамени.
После Великой Отечественной войны появилась необходимость в легком, простом и экономичном грузовом локомотиве. В 1945 году на Коломенском заводе был построен такой паровоз, получивший название «Победа». В честь главного конструктора завода Льва Сергеевича Лебедянского (1898-1968 гг.) – выдающегося конструктора отечественных локомотивов, этим паровозам была присвоена серия «Л». Паровозы «Л» крупной серией, помимо Коломенского завода строили также Ворошиловградский и Брянский заводы. При мощности 2200 лошадиных сил паровоз развивал скорость до 80 км/час и был экономичнее всех эксплуатировавшихся на тот момент грузовых паровозов. Появление на железных дорогах паровозов «Л» позволило значительно повысить скорости движения поездов и, соответственно, увеличить при этом пропускную способность железных дорог.
В послевоенные годы завод, помимо паровозов, изготавливал дизельные двигатели, тюбинги, а также выполнял заказы предприятий черной металлургии. Программой развития Военно-Морского Флота Коломзаводу, как и прежде, отводилась роль создателя и поставщика двигателей внутреннего сгорания для многих типов кораблей.
Объем производства паровозов возрастал быстрыми темпами, однако транспорт не справлялся перевозками возраставшего потока грузов, главным образом потому, что его основная база – паровозы – исчерпала свои возможности. За 88-летнюю историю паровозостроения на предприятии было создано около двухсот типов паровозов и построено 10420 паровозов различного назначения.
В 2000 году в ОАО «Коломенский завод» было освоено производство блочно-транспортабельных электростанций широкого назначения. Эти электростанции используются в качестве источника автономного (основного или вспомогательного) энергоснабжения для предприятий нефте- и газодобывающей промышленности в отдаленных регионах России.
4 декабря 2003 года Президент Российской Федерации Владимир Владимирович Путин посетил ОАО «Коломенский завод». В ходе визита он ознакомился с историей предприятия, динамикой его развития за последние годы, выпускаемой продукцией, а также провел совещание по вопросам развития транспортного машиностроения России.
В своем выступлении глава государства отметил, что одним из приоритетов транспортной политики является комплексное техническое перевооружение транспортной отрасли, при этом он отметил заслуги Коломенского завода и важную роль дальнейших достижений предприятия в реализации транспортной стратегии России.
В настоящее время в ОАО «Коломенский завод» реализуются новые перспективные проекты в области дизелестроения. Изготовлена принципиально новая дизель-электрическая аварийная станция – полностью автоматизированная энергетическая установка, предназначенная для аварийного энергоснабжения. Возобновились работы и по созданию энергетических установок для Военно-Морского Флота. Выпуск продукции коломенского завода в последние годы можно рассмотреть на примере таблицы 2.
Таблица 2
Выпуск продукции коломенским заводом 2006-2007гг.

Коломенский завод располагается на территории одного из высокоразвитых субъектов Российской Федерации – Московской области. В ней сосредоточено около трети всех городских поселений Центрального района, в том числе почти половина городов с населением более 100 тыс. человек. Отличительная особенность области – наличие системы городов науки , что свидетельствует о широком развитии в ней научно-технических комплексов и структур, связанных с НИОКР. [1, с. 367]
Однако Коломна, как и ряд других городов (Клин, Дмитров, Серпухов, Можайск и др.), образует кольцо городов удаленных от центра страны – Москвы, влияние которой ощущается здесь повсюду, постепенно убывая к периферии.
Завод имени Лихачёва (ЗИЛ)
Датой основания ЗИЛа считается 2 августа (20 июля по старому стилю) 1916г. Именно в этот день начальник «Главного Военно-технического Управления России» генерал-майор Г. Кривошеин, в Тюфелевой роще под Москвой, при изрядном стечении публики заложил первый символический камень в фундамент нового завода. Но все же, основными действующими лицами проекта были известные русские предприниматели Степан и Сергей Рябушинские, а также владелец "Переяславской мануфактуры" А. Кузнецов. Рябушинскими планировалось развернуть на заводе производство лицензионного 1,5-тонного грузовика «ФИАТ-15 Ter» образца 1915 года, а также штабных легковых автомобилей по лицензии французской фирмы Hotchkiss.
В Тюфелевой роще состоялась торжественная закладка автомобильного завода, который к марту 1917г. должен был выпустить 150 полуторатонных грузовиков. Трудности сорвали планы строительства завода в намеченные сроки, тогда Рябушинские закупили в Италии машино-комплекты «Ф-15».
Первым директором АМО был назначен талантливый инженер Дмитрий Дмитриевич Бондарев, ранее возглавлявший Русско-Балтийский вагонный завод. Инженерно-технические специалисты и бывшие рабочие автомобильного отделения рижской фирмы составили ядро молодого коллектива московского завода.
Октябрьская революция, гражданская война и разруха не позволили заводу достроиться. На момент революции завод был построен на 95 %. 15 августа 1918г. АМО был национализирован под предлогом срыва Рябушинскими условий контракта с Военным ведомством.
В октябре 1941г. завод был подготовлен к уничтожению и не работал. 15 октября 1941 года завод из Москвы эвакуировали на восток. Оборудование перевезли в города Миасс, Ульяновск, Шадринск и Челябинск. Эвакуированные люди и оборудование стали основой заводов: Ульяновского, Уральского (Миасского) автомобильных, Челябинского кузнечно-прессового и Шадринского автоагрегатного.
Однако после успешного подмосковного наступления Красной Армии зимой 1941-1942 гг. ЗИС понемногу набирал обороты и с июня 1942г. с конвейера стали сходить военные грузовики ЗИС-5В из ранее выпущенных деталей, а также полугусеничные тягачи ЗИС-22, ЗИС-42, выпускалось вооружение для фронта. В Ульяновске первого «Захара» выпустили 30 апреля 1942 года. Один из вариантов ЗИС-15 - ЗИС-15К позже лёг в основу послевоенного грузовика ЗИС-150.
В военный период на ЗИСе выпускалось вооружение для фронта (минометы, автоматы, мины, снаряды и прочее).
В 50-е годы производство завода ориентируется на нужды населения. С 30 апреля 1950г. завод начал выпускать холодильники, а с января 1951г. приступил к производству велосипедов, производство которых прекратилось в 1959г.
Большую роль завод сыграл в судьбе КАМАЗа. На ЗИЛе были спроектированы литейный и автосборочный корпуса, а созданные образцы грузовиков легли в основу модельного ряда автомобилей из Набережных Челнов.
В декабре 1991г. распался СССР, и порвались многолетние внутрисоюзные связи. Производственная программа была пересмотрена и расширена. Этому способствовала и конкуренция со стороны иностранных фирм, которую ранее ЗИЛ никогда не испытывал.
23 сентября 1992г. ПО ЗИЛ было приватизировано первым в отрасли и одним из первых из числа крупнейших предприятий России и преобразовано в Открытое Акционерное Московское Общество "Завод имени И.А.Лихачева" (АМО ЗИЛ) с сохранением торговой марки "ЗИЛ". Общее собрание акционеров избрало новый в истории завода орган управления - Совет директоров. Кроме головного завода, оно включало 30 дочерних предприятий. Одним из его акционеров стало правительство Москвы, которому в настоящее время принадлежит контрольный пакет акций.
Конъюнктура рынка изменилась, нужны были грузовики грузоподъемностью не более трех тонн, рассчитанные на мелких предпринимателей и преимущественное использование в городах для доставки малых партий грузов, и большегрузные грузоподъемностью свыше 10 тонн.
В 1992 году был разработан новый 3-х тонный малотоннажный автомобиль полукапотной компоновки ЗИЛ-5301. Имя «Бычок» этому автомобилю дал мэр г. Москвы Ю.М. Лужков.
Кардинальные реформы в России 90-х гг. существенно отразились на положении ЗИЛа. Первоначальная ставка на тесное сотрудничество в области тяжелых грузовиков и дизелей с фирмами "Кенворт" (Kenworth), "Катерпиллар" (Caterpillar), "Вольво" (Volvo) и "Рено" (Renault) особого успеха не принесла.
К концу XX века АМО ЗИЛ выпускал автомобили более чем в 120 вариантах и предлагал их с кузовами и надстройками, которые выпускали 100 предприятий России и стран СНГ, а комплектующие для них изготовляли 800 заводов и мастерских. В 1998-2000 гг. ЗИЛ выпускал по 20-22 тыс. грузовиков - это в 10 раз меньше его потенциальных возможностей.
Сегодня завод на базе шасси ЗИЛ совместно с другими заводами выпускает большую гамму специальной техники: коммунальную, дорожно-строительную, мусоровозы, вакуумные, силососные, каналопромывочные, аварийно-ремонтные машины, автоцистерны, автоподъемники. В 2003 году освоено производство автомобилей ЗИЛ-433180 и ЗИЛ-432930 с дизельными двигателями с повышенными мощностными показателями Минского моторного завода Д-260.11Е2 (180 лошадиных сил) и Д-245.9Е2 (136 лошадиных сил), которые имеют сертификаты соответствия норм Евро-2.
Уральский экономический район является одним из самых развитых районов машиностроения, где сосредоточенны такие заводы как: Урал, Воткинский завод, УМЗ и др.
Уральский автомобильный завод.
Более чем полувековая история Уральского автомобильного завода началась с решением Государственного Комитета обороны от 30 ноября 1941 года об организации в городе Миассе автомоторного и литейного производств, эвакуированных с Московского автомобильного завода имени Сталина (ЗИС). Морозной зимой 1941 года днем и ночью, прямо с «колес», под открытым небом шел монтаж оборудования. Одновременно возводились производственные корпуса, и уже в марте 1942 года начал работать первый цех нового завода. В апреле 1942 года были собраны первые двигатели и коробки передач.
Страна нуждалась в автомобилях, и по решению Государственного Комитета Обороны от 14 февраля 1943 года завод преобразовывается в автомобильный. Провинциальный город купцов, ремесленников и золотоискателей становится уральской столицей грузовых автомобилей. Первый уральский автомобиль «ЗиС-5В» сошел с конвейера 8 июля 1944 года.
20 июля 1944 года первая партия автомобилей нового автозавода была отправлена на фронт. 30 сентября 1944 года с конвейера сошел тысячный автомобиль. За год со дня выпуска первых машин заводской коллектив отправил на фронт и в народное хозяйство 6800 автомобилей. Уральские грузовики и смонтированные на них знаменитые «Катюши» воевали на всех фронтах Великой Отечественной войны, приближая победу нашего народа.
В послевоенные годы завод приступил к выпуску автомобиля собственной разработки Урал-ЗИС-353М.В связи с дефицитом жидкого топлива в стране разработан «ЗиС-21А» (с газогенераторным двигателем).
В 1954 и 1955 годах Уральский автомобильный завод является участником Выставки достижений народного хозяйства СССР и награждается медалями ВДНХ.
В пятидесятых годах началась спортивная история Уральского автозавода. В октябре 1957 года в Ростове-на-Дону проходили Всесоюзные соревнования по автомобильному спорту. В них участвовали 98 машин марки «ЗИЛ-150», «ГАЗ-63», «ГАЗ-51», среди них - шесть машин «УралЗИС-355В». Спортсмены Уральского автозавода, не имевшие в то время большого опыта подобных соревнований, показали себя достойными противниками корифеев автоспорта, которых собрал кросс. Все первые места завоевала команда уральцев. В личном первенстве первое место и звание чемпиона СССР завоевал экипаж автомобиля в составе водителя П. Терентьева и механика А. Рубинштейна.
С 1962 года «Уральский автомобильный завод имени Сталина» - «УралЗиС» переименовывается в «УралАЗ».
В середине 60-х годов Уральский автомобильный завод выходит на международный рынок с новым грузовиком «Урал-375». Первая партия отправилась в Монголию, вслед за ней две партии машин ушли в Германскую Демократическую Республику. В 1969 году «Урал-375Д», демонстрировавшийся на международной Лейпцигской ярмарке, был награжден золотой медалью и дипломом I степени. В 1972 году этому автомобилю была присвоена высшая категория качества, а в 1973 году - государственный Знак качества - символ технического совершенства того времени.
В 1976 году на базе Уральского автомобильного завода было создано Уральское объединение по производству грузовых автомобилей. Кроме головного предприятия в его состав вошли Челябинский кузнечно-прессовый завод, Челябинский машиностроительный завод автотракторных прицепов и Посевнинский завод запасных частей.
В 1977 году на Уральском автозаводе налажено производство новой модели «Урал-4320» с дизельным двигателем, послужившим началом дизелизации автомобилей «Урал». Разрабатывается ряд модификаций автомобиля: «Урал-4320» грузоподъемностью семь тонн, седельный тягач «Урал-43202» для буксирования полуприцепов полным весом 18,5 тонны, седельный тягач «Урал-4320» для буксирования полуприцепов полным весом 15 тонн, эксплуатации в условиях Крайнего Севера и южных районах. В 1978 году в экспериментальном цехе подготовлены опытные образцы тягачей к лесовозному автопоезду «Урал-6002». К началу 1979 года появились опытные образцы автомобиля «Урал-43201» для использования в условиях Крайнего Севера. На нем были применены шины омского завода, годные для эксплуатации при 60-градусных морозах. В 1983 году автомобилю «Урал-4320» и его модификациям присвоен Государственный знак качества.
В настоящее время «Урал-4320-01» является базовой моделью многочисленного семейства «Уралов» с широкой номенклатурой специального оборудования, которые используются в различных областях народного хозяйства. В последние годы большой популярностью среди потребителей пользуются выпускаемые на шасси «Урал» вахтовые автобусы, подъемные краны, автоцистерны, топливозаправщики, пожарные автомобили, ремонтные мастерские, разнообразная спецтехника для лесопромышленного и нефтегазового комплексов. Для дорожников, коммунального хозяйства выпускаются шнекороторные снегоочистители, комплексные коммунальные машины типа «Тройка-2000», выполняющие более десяти операций по благоустройству дорог и прилегающих территорий. Специальное оборудование и вооружение, установленных на шасси «Уралов» для различных родов войск МО РФ, ФПС, МВД, МЧС составляет около 400 наименований.
В восьмидесятые годы разрабатывается и внедряется автомобиль сельскохозяйственного назначения «Урал-5557». Специальный транспортно-технологический автомобиль-самосвал был способен работать при температуре от 40 градусов жары до 45 градусов холода, мог использоваться и в Средней Азии, и на Севере. Обладая высокой проходимостью и оптимально подобранными передаточными числами трансмиссии, он на полях мог работать с различной сельскохозяйственной техникой. «Урал-5557» успешно работал в составе автопоезда, обладал высокой производительностью благодаря высокой скорости (70 км. в час) и большой грузоподъемности (14 тонн). Шасси грузовика использовалось как база для установки различных кузовов и спецоборудования. Широкопрофильные шины с регулированием давления обеспечивают высокую проходимость машины по грунтам с разной плотностью. Новые системы вентиляции и отопления, автоматическое дистанционное управление откидывающихся по сигналу из кабины бортов платформы создали водителю комфорт в работе в любых условиях.
В последние пять лет Ульяновский автомобильный завод демонстрирует стабильные объемы производства и продаж. По итогам 2006 года УАЗ произвел и продал более 66 000 автомобилей, что сопоставимо с уровнем 2005 года.
На внутреннем рынке основными потребителями УАЗа являются коммерческие и бюджетные организации, широко представленные в регионах, а также сельхозпроизводители и государственные структуры.
Вместе с тем, в последнее время с началом выпуска нового автомобиля УАЗ ПАТРИОТ, среди потребителей резко возрос процент физических лиц, так как данный внедорожник рассчитан, прежде всего, на личную эксплуатацию.
Что касается экспорта, то он по-прежнему занимает значительную долю в общем объеме продаж УАЗа. По итогам 2006 года УАЗ поставил на экспорт 12 500 автомобилей. За последние годы заводу удалось создать разветвленную дилерскую сеть в СНГ, а также вернуться на свои традиционные рынки, потерянные в постсоветские годы – в страны Азии (Могнолия Вьетнам). Ближнего Востока (Сирия, Афганистан), Африки (Ангола, Нигерия) и Латинской Америки (Куба, Колумбия, Уругвай, Никарагуа). С целью увеличения экспортных продаж создаются сборочные производства автомобилей УАЗ за рубежом (в частности такие проекты действуют во Вьетнаме и на Кубе).
Воткинский завод.
По указу императрицы Елизаветы в 1758 году граф Петр Шувалов начал строительство Воткинского железоделательного завода в месте впадения в реку Вотку малых рек Шаркана и Березовки, в 10 км от реки Кама. 21 сентября 1759 года были пущены два молота и получено первое железо.
1763 год. Вышел указ императрицы Екатерины II о передаче Воткинского завода в государственную казну.
1779 год. Начато строительство фабрики по производству якорей для военно-морского флота.
В июле 1941 года Наркомат вооружения поручает заводу изготовление 45-мм противотанковых пушек "Аннушек"(2243-А). За короткое время удалось переставить и задействовать около 1000 станков, организовать крупносерийное производство и выполнить задание Государственного Комитета Обороны. Уже к концу 1941 года было передано Красной Армии 1625 пушек и гаубиц. В первый год войны в Воткинск прибыло только с Киевского завода "Арсенал" 1100 вагонов с оборудованием и более 2500 рабочих и специалистов. Позднее пришли эшелоны из Подмосковья, Ленинграда, Сталинграда, Новочеркасска. Это был наиболее сложный период. Надо было организовать поточное производство, построить новые корпуса, жилье для размещения эвакуированных. Завод рос с исключительной быстротой. Вместо двух месяцев по плану строительство новых корпусов было выполнено за две недели. Необычная была обстановка: цехи еще без крыш, а станки уже работали. Всего в 1941 году было введено в эксплуатацию одиннадцать новых цехов.
В 1942 году производственные задания завода росли и усложнялись. Нужно было многократно увеличить производство 45-мм пушек, освоить новые изделия. Все это требовало коренной перестройки производства. И коллектив завода эти задачи успешно решил. В сентябре 1942 было освоено производство новой 76-мм противотанковой дивизионной пушки ЗИС-3 конструкции В.Г. Грабина. Эта пушка считалась лучшей в своем классе, что признавали даже немцы. В этом же году было освоено производство 45-мм корабельной пушки (21К), которая устанавливалась на подводных лодках. Производилась 45-мм танковая пушка "Верочка", завод выпускал также запасные части, корпуса авиабомб и мин. Для выполнения важных и сложных задач специалистами завода были разработаны и внедрены новые технологические процессы: автоматическая сварка, глубокое сверление стволов, карбюраторный способ выплавки стали, прокат моноблока пушки, центробежная отливка стволов (впервые в СССР) и т.д. Трудовые победы коллектива завода были отмечены приказом Наркома вооружения Д.Ф. Устинова , 48 рабочих и специалистов были награждены орденами и медалями СССР. В 1942 году завод произвел и отправил на фронт 16000 орудий, из них 11000 противотанковых.
В 1945 году завод продолжал производить и поставлять для Красной Армии 57-мм пушки ЗИС-2, 76-мм пушки ЗИС-3 , орудия к самоходным установкам. Был разработан и изготовлен образец мощной 85-мм самоходной пушки с составным стволом без уравнивающего механизма. Всего за год было произведено 8000 пушек.
За годы войны производственные площади увеличились в 2,2 раза, энергетическая мощность возросла в 2,5 раза, парк металлорежущего оборудования - в 2,5 раза, прессовое хозяйство на 80%. Производительность труда выросла на 271%. Пополнение рядов рабочих происходило в то время за счет выпускников ремесленных училищ и школ, бригадно-индивидуального обучения новичков непосредственно на рабочих местах. На заводе удвоилось число женщин, заменивших своих мужей, братьев, сыновей, отцов, ушедших на фронт.
9 мая 1945 года было объявлено праздничным днем. 1418 трудных дней войны остались позади. 52000 пушек разных калибров было изготовлено заводом, что составило 11% общесоюзного производства артиллерии. Это стало большим вкладом Воткинского завода в разгром фашистской Германии.
Сегодня завод - это мощный машиностроительный комплекс со своими металлургическим, механосборочным, сварочным, сборочным, инструментальным производствами, испытательной базой, системой логистики и развитой инфраструктурой. Обеспечивая "ракетный щит" державы, предприятие серийно выпускает оперативно-тактические ракеты "Искандер-М", стратегические ракеты "Тополь-М", участвует в опытно-конструкторских работах по ракете морского базирования "Булава".
Для предприятий нефтегазового комплекса ОАО "Воткинский завод" производит широкую гамму оборудования, которое успешно эксплуатируется в крупнейших нефтегазовых компаниях России - ОАО "Газпром", ОАО "Газпромнефть", ОАО "Лукойл", ОАО "Роснефть", ОАО "Татнефть", ОАО "Удмуртнефть", ОАО "Башнефть", ОАО "Сургутнефтегаз" и других. Это оборудование - для подземного и капитального ремонта скважин, насосы и насосные агрегаты для поддержания пластового давления производительностью от 25 до 240 м3
/час, теплопаровая и запорная арматура, буровые насосы, пакеры для защиты эксплуатационных колонн от воздействия закачиваемой жидкости в скважины, вертлюги и элеваторы, буровые долота, оснащенные искусственными алмазами, механические ключи и ключи-автоматы с электро- и гидроприводами, спайдеры, оборудование для обустройства и ремонта горизонтальных скважин, регуляторы давления газа, одоризаторы, контейнеры для транспортировки одоранта и др. Воткинский завод поставляет механизмы и модули для комплектации стационарных и мобильных буровых установок, в частности, освоено производство редукторов, лебедок, роторов, трансмиссий, манифольдов и другого оборудования.
ОАО "Воткинский завод" имеет опыт в изготовлении оборудования для объектов использования атомной энергии. По этому направлению работы ведутся в тесном сотрудничестве с ведущими отечественными проектно-конструкторскими институтами. На предприятии изготовлено оборудование для исследовательского ядерного реактора ИРВ.М2 в ФГУП "НИИП", оборудование для центра ядерных исследований в г. Троицк, оборудование комплексов нейтронзахватной и нейтронной терапии и другое оборудование для исследовательских ядерных установок. Для атомных станций изготовлено оборудование комплекса переработки твердых радиоактивных отходов Калининской АЭС, оборудование установки цементирования жидких радиоактивных отходов Курской АЭС. В настоящее время ведутся работы по изготовлению оборудования для Белоярской АЭС-2, для АЭС Куданкулам Индия.
Открытое акционерное общество "Воткинский завод" - одно из старейших российских предприятий в сентябре 2009 года отметило свой 250-летний юбилей. На всем протяжении своей истории Воткинский завод всегда стоял в ряду передовых отечественных предприятий и неуклонно выполнял важнейшие государственные заказы. В разное время здесь выпускали железо, якоря, морские и речные суда, железнодорожные мосты, паровозы, экскаваторы, пушки, оборудование исследовательских и судовых реакторов, ракетную технику и другую сложную продукцию.
3.Проблемы и перспективы развития отраслей машиностроения
В промышленно развитых странах, где кризисы и спады производства повторяются периодически, изменения текущей конъюнктуры меньше всего затрагивают выпуск новейшей высокотехнологичной продукции, что создает определенные импульсы для выхода из кризисных ситуаций. Машиностроению России в последнее время присуща диаметрально противоположная тенденция – опережающее снижение производства наиболее прогрессивной техники. В результате можно полностью утратить накопленный за предшествующие годы технологический потенциал, хотя и недостаточно качественный, но все же имеющий принципиальное значение для дальнейшего функционирования экономики.
Распад единого машиностроительного комплекса СССР на отдельные республиканские блоки резко обострил проблемы машиностроения России, так как одновременно распались внешнеэкономические связи в области торговли машинами и оборудованием, которые отлаживались десятилетиями и благодаря чему сложился определенный баланс в насыщении отраслей народного хозяйства России современной техникой.
Структура конечной продукции отечественного машиностроения на рубеже последних десятилетий отличалась “утяжеленностью”, и высокой степенью милитаризации. Доля военной техники оставалась непомерно высокой при резком отставании выпуска потребительских товаров и особенно оборудования для непроизводственной сферы. В первой половине 80-х годов рост производства продукции инвестиционного машиностроения полностью прекратился, а во второй половине начался спад, перешедший в начале 90-х в обвальное падение.
Уменьшение спроса в отраслях-потребителях вынудило машиностроение приспосабливаться к условиям использования его продукции, увеличивая выпуск универсальной техники и внедряя примитивные технологии. Это приведет к прекращению выпуска наукоемкой продукции, дальнейшему свертыванию машиностроительного производства и в конечном счете к затуханию инвестиционного процесса и ликвидации базовых отраслей экономики (кроме сырьевых, обладающих экспортным потенциалом).
Резкое сокращение производства в начале 90-х годов меньше затронуло выпуск товаров длительного пользования, удельный вес которых был выше среднего – главным образом легковое автомобилестроение и производство бытовой техники, при наиболее быстром росте цен на них и высокой рентабельности производства. Так, основной особенностью происходящих изменений была ориентация на выпуск относительно престижных изделий при ухудшении условий выпуска многих других, что было во многом обусловлено покровительственной таможенной политикой государства, например в отношении автомобилестроения. Поэтому относительное благополучие некоторых предприятий данной отрасли временно и в условиях постоянного повышения издержек производства и нарастающей конкуренции со стороны иностранных производителей неизбежны спад и периодические остановки производства.
Особенно тяжелая ситуация сложилась в оборонном комплексе, где численность производственного персонала сокращается даже быстрее, чем в целом по машиностроению. Наиболее заметно упала занятость в электронной промышленности и в производстве спецсредств связи. Сохраняется отставание и в заработной плате: в 1994г. она составляла 67% от среднего уровня по промышленности. Все это обуславливает отток высококвалифицированных специалистов из исследовательских организаций и конструкторских бюро, в том числе и за границу. Особенно тяжелое положение сложилось в тех регионах, где предприятия ВПК играют роль градообразующих предприятий (Урал, некоторые области Центрального экономического района).
Одна из важнейших проблем Урала — техническое перевооружение и реконструкция промышленных предприятий, прежде всего металлургических и машиностроительных. Без этого в условиях перехода к рыночной экономике невозможно обеспечить конкурентоспособность продукции, выпускаемой его предприятиями.
В целях укрепления сырьевой базы уральской промышленности необходимо не только осваивать новые месторождения, но и шире использовать вскрышные породы, вести комплексную переработку сырья и утилизацию отходов производства, а также добычу полезных ископаемых с более глубоких горизонтов.
Главными проблемами для развития ЦЭР являются – конверсия производственного и научно-технического потенциала, усиление распространения достижений НТП. Важное значение для ЦЭР имеет совершенствование производственной и социальной инфраструктуры, «уплотнение» транспортной сети, создание надежных коммуникаций по связям ядра района с периферийными областями, новых радиально-кольцевых направлений.
В перспективе машиностроение и металлообработка ЦЭР будут определять научно-технический прогресс промышленности района. Преимущественными направлениями развития машиностроения в районе по-прежнему будут отрасли точного и сложного машиностроения, ориентирующиеся на использование наиболее квалифицированного труда. Главное внимание будет уделено реконструкции и техническому перевооружению действующих машиностроительных предприятий. В сложившихся и формирующихся машиностроительных территориальных группировках и узлах дальнейшее развитие получит внутри- и межотраслевая кооперация. В связи с созданием высокоспециализированных предприятий целесообразна деконцентрация крупных заводов, особенно Москвы и других областных центров, путем организации их филиалов и смежников на периферийных территориях ЦЭР, в том числе в малых и средних городах.
Перспективное размещение заводов автомобильной промышленности ЦЭР складывается под воздействием ряда факторов, которые свойственны и другим отраслям машиностроения. Это, во-первых, разукрупнение прежних универсальных заводов и выделение из их числа специализированных “дочерних” предприятий. Во-вторых, создание производственных объединений во главе с основным предприятием.
ЗАКЛЮЧЕНИЕ
Центральный экономический район исторически считается родиной машиностроения, в силу своего географического и экономического положения центр привлекал все новые и новые виды отраслей, так в свое время Центр изменил свой народнохозяйственный облик, став из «ситцевого» - машиностроительным районом. Машиностроительный комплекс ЦЭР по численности занятых и товарной продукции не имеет равных в стране. Среди отраслей машиностроения ведущее место принадлежит тем из них, которые в наибольшей степени зависят от наличия квалифицированных кадров и используют мощный научно-технический потенциал района.
Следующим можно выделить Уральский экономический район, в силу своего географического положения обладающий огромными запасами черной и цветной металлургии, что и особенно сильно повлияло на развитие тяжелого машиностроения.Развитые металлургическая и машиностроительная отрасли - Удмуртская республика, Свердловская, Челябинская, Пермская и Оренбургская области - делают Уральский район крупнейшим поставщиком металла и разнообразных машин и оборудования в масштабах России, ближнего и дальнего зарубежья.
Библиографический список литературы:
1. Винокуров А.А. Введение в экономическую географию и региональную экономику России. М.: Гуманитарный издательский центр ВЛАДОС, 2008.
2. Экономическая география России: Учебник. / Под общей ред. акад. В.И. Видяпина, д.э.н., проф. М.В. Степанова. - М.: ИНФРА-М, Российская экономическая академия, 1999. стр. 279.
3. Алексеев А.И. Экономическая и социальная география России. М.: Издательство «Дрофа»,2006. стр. 376.
4. Гохберг М.Я. Центральный экономический район (перспективы развития). М.: Знание, 1982.
5. История рабочего класса СССР: Рабочий класс России от зарождения до начала ХХ в./ Гл. ред. С.С. Хромов.- М.: Издательство «Наука»,1983. стр. 99.
6. Адамова А.И. Экономическая и социальная география СССР. М.: Высшая школа, 1985.
7. Коломенский тепловозостроительный завод им. В. В. Куйбышева. 1863—1963. [Альбом], М., 1963.
8. Копылов Н.В. Крупные экономические районы СССР.- М.,1974.
9. «Машиностроительный комплекс РСФСР. Пути интенсификации», Москва, «Советская Россия», 1989 г.
10. Размещение производительных сил. Тексты лекций. Российская экономическая академия им. Г.В. Плеханова. М.: 1993.
11. Региональная экономика под ред. Т.Г. Морозовой. М.: Издательство Юнити, 1995.
12. Родионова И.А. Экономическая география и региональная экономика. М.: «Московский Лицей», 2001. 288 с.
13. Справочное пособие по географии для поступающих в вузы. М.: Издательство «Дрофа» 1994 г.
14. Экономическая и социальная география. В. П. Дронов, В. Я. Ром. М.1994.
15. Морозова Т.Г., Победина М.П., Шишов С.С. Экономическая география России: Учеб. пособие для вузов.- М.: ЮНИТИ, 2000.- 527 с.
16. www.geosite.com.ru/pageid-321-1.html
17. www.kolomnadiesel.com/about/history/1863-1903/
18. www.raexpert.ru/ratings/expert400/2003/machine-building/
19. www.ural.ru
20. www.vzavod.ru/rus/corp.php
|