Банк рефератов содержит более 364 тысяч рефератов, курсовых и дипломных работ, шпаргалок и докладов по различным дисциплинам: истории, психологии, экономике, менеджменту, философии, праву, экологии. А также изложения, сочинения по литературе, отчеты по практике, топики по английскому.
Полнотекстовый поиск
Всего работ:
364139
Теги названий
Разделы
Авиация и космонавтика (304)
Административное право (123)
Арбитражный процесс (23)
Архитектура (113)
Астрология (4)
Астрономия (4814)
Банковское дело (5227)
Безопасность жизнедеятельности (2616)
Биографии (3423)
Биология (4214)
Биология и химия (1518)
Биржевое дело (68)
Ботаника и сельское хоз-во (2836)
Бухгалтерский учет и аудит (8269)
Валютные отношения (50)
Ветеринария (50)
Военная кафедра (762)
ГДЗ (2)
География (5275)
Геодезия (30)
Геология (1222)
Геополитика (43)
Государство и право (20403)
Гражданское право и процесс (465)
Делопроизводство (19)
Деньги и кредит (108)
ЕГЭ (173)
Естествознание (96)
Журналистика (899)
ЗНО (54)
Зоология (34)
Издательское дело и полиграфия (476)
Инвестиции (106)
Иностранный язык (62791)
Информатика (3562)
Информатика, программирование (6444)
Исторические личности (2165)
История (21319)
История техники (766)
Кибернетика (64)
Коммуникации и связь (3145)
Компьютерные науки (60)
Косметология (17)
Краеведение и этнография (588)
Краткое содержание произведений (1000)
Криминалистика (106)
Криминология (48)
Криптология (3)
Кулинария (1167)
Культура и искусство (8485)
Культурология (537)
Литература : зарубежная (2044)
Литература и русский язык (11657)
Логика (532)
Логистика (21)
Маркетинг (7985)
Математика (3721)
Медицина, здоровье (10549)
Медицинские науки (88)
Международное публичное право (58)
Международное частное право (36)
Международные отношения (2257)
Менеджмент (12491)
Металлургия (91)
Москвоведение (797)
Музыка (1338)
Муниципальное право (24)
Налоги, налогообложение (214)
Наука и техника (1141)
Начертательная геометрия (3)
Оккультизм и уфология (8)
Остальные рефераты (21692)
Педагогика (7850)
Политология (3801)
Право (682)
Право, юриспруденция (2881)
Предпринимательство (475)
Прикладные науки (1)
Промышленность, производство (7100)
Психология (8692)
психология, педагогика (4121)
Радиоэлектроника (443)
Реклама (952)
Религия и мифология (2967)
Риторика (23)
Сексология (748)
Социология (4876)
Статистика (95)
Страхование (107)
Строительные науки (7)
Строительство (2004)
Схемотехника (15)
Таможенная система (663)
Теория государства и права (240)
Теория организации (39)
Теплотехника (25)
Технология (624)
Товароведение (16)
Транспорт (2652)
Трудовое право (136)
Туризм (90)
Уголовное право и процесс (406)
Управление (95)
Управленческие науки (24)
Физика (3462)
Физкультура и спорт (4482)
Философия (7216)
Финансовые науки (4592)
Финансы (5386)
Фотография (3)
Химия (2244)
Хозяйственное право (23)
Цифровые устройства (29)
Экологическое право (35)
Экология (4517)
Экономика (20644)
Экономико-математическое моделирование (666)
Экономическая география (119)
Экономическая теория (2573)
Этика (889)
Юриспруденция (288)
Языковедение (148)
Языкознание, филология (1140)

Контрольная работа: по Транспорту 3

Название: по Транспорту 3
Раздел: Рефераты по транспорту
Тип: контрольная работа Добавлен 01:16:58 13 июля 2011 Похожие работы
Просмотров: 1827 Комментариев: 21 Оценило: 2 человек Средний балл: 5 Оценка: неизвестно     Скачать

Теоретические вопросы

Вариант 1.02

1. Опишите и укажите на схеме основные параметры поршневого двигателя. Дайте определение каждому параметру. Напишите формулы для вычисления рабочего объема цилиндра, литража, двигателя, полного объема цилиндра, степени сжатия и др. Приведите краткую техническую характеристику двигателя ЗИЛ-508.10 автомобиля ЗИЛ-4314.10

Основные параметры двигателей

Поршневой двигатель характеризуется следующими конструктивно заданными параметрами (рис. 1), практически неизменными в процессе эксплуатации автомобиля.

Объем камеры сгорания — объем полости цилиндра и углубления в головке над поршнем, находящимся в верхней мертвой точке — крайнем положении на наибольшем удалении от коленвала.

Рабочий объем цилиндра — пространство, которое освобождает поршень при движении от верхней до нижней мертвой точки. Последняя является крайним положением поршня на наименьшем удалении от коленвала.

Полный объем цилиндра — равен сумме рабочего объема и объема камеры сгорания.

Рабочий объем двигателя (литраж) складывается из рабочих объемов всех цилиндров.

Степень сжатия — отношение полного объема цилиндра к объему камеры сгорания. Этот параметр показывает, во сколько раз уменьшается полный объем при перемещении поршня из нижней мертвой точки в верхнюю. Для бензиновых двигателей определяет октановое число применяемого топлива.

Перемещение поршня в цилиндре вызывает изменение объема надпоршневого пространства. Объем внутренней полости цилиндра при положении поршня в ВМТ называют объемом камеры сгорания Vc .

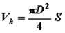
Объем цилиндра, образуемый поршнем при его перемещении между мертвыми точками, называется рабочим объемом цилиндра Vh .

,

где D – диаметр цилиндра, мм;

S – ход поршня, мм

Объем надпоршневого пространства при положении поршня в НМТ называют полным объемом цилиндра Va .

.

Рабочий объем двигателя представляет собой произведение рабочего объема цилиндра на число цилиндров.

Отношение полного объема цилиндра Va к объему камеры сгорания Vc называют степенью сжатия

Двигатель ЗиЛ-508.10

предназначен для установки на автомобили
ЗИЛ-130 (431410), ЗИЛ-433360.

  • Двигатель карбюраторный, бензиновый, с V-образным расположением цилиндров. Двигатель внутреннего сгорания, 4-тактный, жидкостного охлаждения.
  • На двигателе установлены: бесконтактная система зажигания с датчиком Холла и повышенной энергией разряда; трехкомпонентный каталитический нейтрализатор с химическими блоками на металлоносителе в системе выпуска отработавших газов.
Количество и расположение цилиндров 8, V-образное
Рабочий объем цилиндров, л 6,0
Степень сжатия 7.1 : 1
Номинальная мощьность при частоте вращения коленчатого вала 3200 об/мин, кВт (л.с.) 110 (150)
Максимальный крутящий момент при частоте вращения коленчатого вала 1800-2000об/мин, Н*м (кгс*м) 402 (41)
Число тактов 4
Топливо (автомобильный бензин) А-76

2. А. Виды системы охлаждения. Что означает термин «закрытая» и «открытая» системы охлаждения. Сделайте их сравнение

Система охлаждения предназначена для охлаждения деталей двигателя, нагреваемых в результате его работы. На современных автомобилях система охлаждения, помимо основной функции, выполняет ряд других функций, в том числе:

· нагрев воздуха в системе отопления, вентиляции и кондиционирования;

· охлаждение масла в системе смазки;

· охлаждение отработавших газов в системе рециркуляции отработавших газов;

· охлаждение воздуха в системе турбонаддува;

· охлаждение рабочей жидкости в автоматической коробке передач.

В автомобильных и тракторных двигателях, в зависимости от рабочего тела, применяют системы жидкостного и воздушного охлаждения. Наибольшее распространение получило жидкостное охлаждение.

При жидкостном охлаждении циркулирующая в системе охлаждения двигателя жидкость воспринимает тепло от стенок цилиндров и камер сгорания и передает затем это тепло при помощи радиатора окружающей среде.

По принципу отвода тепла в окружающую среду системы охлаждения могут быть замкнутыми и открытыми (проточными) .

Жидкостные системы охлаждения большинства автомобильных и тракторных двигателей имеют замкнутую систему охлаждения, т. е. постоянное количество жидкости циркулирует в системе. В открытой системе охлаждения нагретая жидкость после прохождения через нее выбрасывается в окружающую среду, а новая забирается для подачи в двигатель. Применение таких систем ограничивается судовыми и стационарными двигателями.

Воздушные системы охлаждения являются незамкнутыми (открытыми). Охлаждающий воздух после прохождения через систему охлаждения выводится в окружающую среду.

Каждая из указанных систем охлаждения имеет преимущества и недостатки .

К преимуществам жидкостного (замкнутого) охлаждения следует отнести:

1. более эффективный отвод тепла от нагретых деталей двигателя при любой тепловой нагрузке;

2. быстрый и равномерный прогрев двигателя при пуске;
допустимость применения блочных конструкций цилиндров двигателя;

3. меньшая склонность к детонации в бензиновых двигателях;

4. более стабильное тепловое состояние двигателя при изменении режима его работы;

5. меньшие затраты мощности на охлаждение и возможность использования тепловой энергии, отводимой в систему охлаждения.

Недостатки системы жидкостного охлаждения:

1. большие затраты на обслуживание и ремонт в эксплуатации;

2. пониженная надежность работы двигателя при отрицательных температурах окружающей среды и большая чувствительность к ее изменению.

К преимуществам воздушной (открытой) системы охлаждения относят следующие:

1. простота и удобство в эксплуатации из-за отсутствия жидкости;

2. меньшая масса двигателя с воздушным охлаждением по сравнению с массой аналогичного двигателя с жидкостным охлаждением;

3. пониженная чувствительность к колебаниям температуры, особенно ценная при эксплуатации автомобиля в районах с жарким или холодным климатом.

К недостаткам двигателей с воздушным охлаждением относятся следующие:

1. значительный расход мощности на привод вентилятора;

2. некоторое ухудшение наполнения цилиндра, приводящее к тому, что при одинаковых частотах вращения коленчатого вала и других параметрах двигатель с воздушным охлаждением развивает несколько меньшую мощность, чем двигатель с жидкостным охлаждением;

3. повышенный шум при работе;

4. большая тепловая напряженность отдельных деталей.

Б. Начертите схему системы охлаждения двигателя Д-10030 и опишите малый и большой круги циркуляции охлаждающей жидкости

Система охлаждения дизеля Д-130 (рис. 3). Система охлаж­дения принудительная, закрытая, с нижним расположением водяного насоса. Для поддержания надлежащей интенсивности охлаждения в этой системе предусмотрены два термостата, заставляющие воду циркулиро­вать в ней по малому кругу, если ее температура не превышает 343—348°К (70—75°С). Пусковой двигатель имеет термосифонную систе­му охлаждения, которая при работе дизеля превращается в принуди­тельную.

В период нормальной работы в системе охлаждения двигателя Д-130 наблюдается циркуляция воды одновременно по большому и малому кругам. При этом интенсивность циркуляции зависит от темпе­ратуры воды в системе: если она близка к 343°К (75°С), то клапаны термостатов лишь незначительно поднимаются от седла, создавая боль­шее сопротивление проходу нагретой воды в радиатор, чем при полностью открытых клапанах. Это снижает интенсивность циркуляции воды по большому кругу и одновременно увеличивает интенсивность циркуля­ции по малому кругу. Когда температура в системе будет равна 358°К (85°С), клапаны поднимутся на большую высоту и создадут усло­вия для повышения интенсивности циркуляции воды по большому кругу, включая и радиатор, и снизят интенсивность циркуляции по малому кру­гу. Такое взаимно компенсируемое изменение интенсивности циркуляции воды по большому и малому кругам обеспечивает поддержание надлежа­щей температуры деталей двигателя.

Рис. 3. Схема охлаждения двигателя Д-130:

1— водяной радиатор; 2 — верхний коллектор; 3— вентилятор; 4 — перепускная труба; 5 — термо­статы; 6 — датчик дистанционного термометра; 7 — рубашка подогрева топливного фильтра; 8— водоотводная труба; 9— отводящая труба; 10— рубашка головок дизеля; 11 — рубашка головки пускового двигателя; 12 — дистанционный термометр; 13 — водяная рубашка цилиндров дизеля; 14 — спускная пробка; 15 — водораспределительная камера блока дизеля; 16 — рубашка цилиндров пус­кового двигателя; 17 — подводящая труба; 18 — переходный патрубок; 19 — водяной насос; 20 — подводящая труба; 21 — кран спуска воды; 22 — паровоздушная трубка.

Регулирование температуры воды в системе охлаждения двигателя Д-130 достигается шторкой, устанавливаемой перед радиатором Для спуска воды из системы в двигателях Д-130 предусмотрен кран 21 в нижней части радиатора, а пробка 14 — для спуска воды из нижней части блока. Заправочная емкость системы 75 л.




А)

Б)

Рис. 4 Схема системы охлаждения двигателя
а) малый круг циркуляции
б) большой круг циркуляции

1 - радиатор; 2 - патрубок для циркуляции охлаждающей жидкости; 3 - расширительный бачок; 4 - термостат; 5 - водяной насос; 6 - рубашка охлаждения блока цилиндров; 7 - рубашка охлаждения головки блока; 8 - радиатор отопителя с электровентилятором; 9 - кран радиатора отопителя; 10 - пробка для слива охлаждающей жидкости из блока; 11 - пробка для слива охлаждающей жидкости из радиатора; 12 - вентилятор

3. Перечислите режимы работы двигателя. Какого состава горючая смесь должна приготавливаться карбюраторным двигателем для разных режимов? Дайте обоснование

Двигателю для работы требуется смесь с определенным соотношением воздух-топливо. Соотношение, при котором топливо максимально полно и эффективно сгорает, называется стехиометрическим и составляет оно 14,7:1. Это означает, что на одну часть топлива следует взять 14,7 частей воздуха. На практике же соотношение воздух-топливо меняется в зависимости от режимов работы двигателя и смесеобразования. Двигатель становится неэкономичным. Коэффициент избытка воздуха - L (лямбда) характеризует - насколько реальная топливно-воздушная смесь далека от оптимальной (14,7:1). Если состав смеси - 14,7:1, то L=1 и смесь оптимальна. Если L < 1, значит недостаток воздуха, смесь обогащенная.

Карбюраторный двигатель имеет следующие режимы работы: пуск, холостой ход, средние нагрузки, полные нагрузки, резкий переход на полные нагрузки.
При пуске холодного двигателя необходима богатая горячая смесь (L от 0,3 до 0,6), так как частота вращения коленчатого вала мала, топливо плохо испаряется, а часть его конденсируется на холодных стенках цилиндра. Это приводит к тому, что в цилиндры двигателя попадает незначительное количество пусковых фракций, обеспечивающих гарантированный пуск двигателя.

Работа двигателя на холостом ходу и при малых нагрузках возможна при обогащенной смеси (L от 0,7 до 0,9). Горючая смесь поступает в цилиндры двигателя и смешивается со значительным количеством остаточных отработавших газов, поэтому обогащение смеси улучшает ее воспламеняемость и способствует устойчивой работе двигателя без нагрузки.

Средние нагрузки — наибольшая часть работы двигателя в процессе эксплуатации, поэтому на этом этапе необходима обедненная горючая смесь (L от 1,05 до 1,1), что способствует наилучшей экономичности двигателя.

Полная нагрузка обеспечивается подачей в цилиндры двигателя обогащенной смеси (L от 0,85 до 0,9). Этот режим необходим при разгоне автомобиля, движении автомобиля с максимальной скоростью, преодолении подъемов или тяжелых участков дороги.

При резком переходе на режим полной нагрузки (резкое открытие дроссельной заслонки) возможно обеднение горючей смеси — карбюратор должен иметь устройство, предотвращающее это.

Таким образом, в процессе работы двигателя карбюратор должен изменять состав горючей смеси в зависимости от режима работы двигателя.

4. Опишите устройство топливного насоса высокого давления 4ТН9х10. Как он приводится в действие? Как регулируются установочные опережения подачи топлива?

Рис. 5.Топливный насос типа 4ТН9х10

1 – рейка; 2 –плунжерная пара; 3 – нагнетательный клапан; 4 – головка; 5 – корпус насоса; 6 – кулачковый вал; 7 – установочный фланец; 8 – фланцевая втулка; 9 – корпус толкателя; 10 – ось ролика; 11 – ролик толкателя; 12 – пружина фрикционная

Основные конструктивные особенности насосов (рис. 5) установка кулачкового вала в подшипниках качения; осуществление поворота плунжера при регулировке цикловой подачи с помощью поводка с пальцем, который входит в муфту с пазом, расположенную на рейке насоса; наличие регулировки высоты толкателя болтом, вворачиваемым в корпус толкателя.

Конструкция регулятора имеет следующие особенности: соосное расположение пружины и ступицы грузов; упорный шариковый подшипник для передачи усилий от муфты к рычагу; призматический корректор, степень коррекции которого зависит от наклона призмы корректора; ручное управление обогатителями подачи топлива на пуске; наличие предохранительной пружины, исключающей возникновение в механизме регулятора повышенных усилий.

Топливный насос 4ТН9х10 - это насос высокого давления с встроенным кулачковым валом для приведения в действие плунжера.

Для измерения угла начала подачи вывертывают или завёpтывют регулировочный болт 6 (pис.6) толкателя плунжер, предварительно ослабив затяжку контргайки.

Рис.6. Схема регулировки величины подачи топлива секцией насоса

4ТН-9х10:

S1 — активный ход плунжера до регулировки; S2 — активный ход

после увеличения подачи; а — перемещение хомутика при регули-

ровке; /— объем топлива, выталкиваемого плунжером за активный

ход S1 и S2; I — рейка; 2 — плунжер; 3 — втулка плунжера; 4 — хо-

мутик рейки; 5 — болт хомутика, б — регулировочный болт толка-

теля; 7 — толкатель.

Пpи ввертывании болта происходит опережение подачи топлива (угол увеличивается), а при завертывании - запаздывание подачи (угол уменьшается). После регулировки контргайку затягивают. При сборке насоса целесообразно регулировочный болт установить заранее, чтобы добиться определенной длины толкателя. Это даёт возможность быстрее отрегулировать угол начала подачи. Регулировочные показатели топливных насосов ЛС4ТH-9*10 и насосов дизелей Д-160, Д-108 и КДМ-100 приведены в таблице 23, а топливных насосов типа 4ТH-9х10 и 6ТH-9х10 - в таблице 24.

5. Начертите индикаторную диаграмму действительного цикла карбюраторного двигателя и укажите на ней линии пуска, сжатия, сгорания, расширения, выпуска и точки, в которых открываются и закрываются клапаны, подается искра

Индикаторная диаграмма, графическое изображение изменения давления газа или пара в цилиндре поршневой машины в зависимости от положения поршня. И. д. вычерчивается обычно с помощью индикатора давления . По оси абсцисс откладывается объём, занимаемый газами в цилиндре, а по оси ординат — давление. Каждая точка на И. д. (рис.7 ) показывает давление в цилиндре двигателя при данном объёме, т. е. при данном положении поршня (точка r соответствует началу впуска – открытию клапана; точка а — началу сжатия – закрытию клапана; точка с — концу сжатия; точка z началу расширения – подаче искры; точка b — концу расширения).

И. д. даёт представление о значении работы, производимой двигателем внутреннего сгорания или насосом, и об их мощности. Рабочее тело совершает полезную работу только в течение рабочего хода. Поэтому для определения полезной работы необходимо из площади, ограниченной кривой расширения zb , вычесть площадь, ограниченную кривой сжатия ac. Различают теоретическую и действительную И. д. Теоретическая строится по данным теплового расчёта и характеризует теоретический цикл; действительная И. д. снимается с работающей машины при помощи индикатора и характеризует действительный цикл (см. рис.7 ).

Рис. 7. Индикаторная диаграмма карбюраторного двигателя

Теоретическая (пунктир) и действительная (сплошные линии) индикаторные диаграммы 4—тактного карбюраторного двигателя: ra — линия впуска; ac — линия сжатия; cz — линия сгорания; zb — линия расширения; br — линия выпуска; P давление; V — объём.

Список использованной литературы

1. Вырубов Д. Н. Двигатели внутреннего сгорания: теория поршневых и комбинированных двигателей / Д. Н. Вырубов и др. М.: Машиностроение, 1983.

2. Автомобиль. Под ред. А.Н. Островцева.- М., Машиностроение, 1976 г.

3. Двигатели внутреннего сгорания, М., 1968.Д. Н. Вырубов, В. П. Алексеев.

4. Н.Н. Вишняков, В. К. Вахламов, А. Н. Нарбут. Автомобиль. Основы конструкции, М.:Машиностроение, 1986 г.

5. Двигатели внутреннего сгорания: Устройство и работа поршневых и комбинированных двигателей: Учебник для студентов вузов / Под ред. А. С. Орлина, М. Г. Круглова. 3-е изд., перераб. и доп. М.: Машиностроение, 1980.

6. Архангельский В. М. Автомобильные двигатели / В. М. Архангельский. М.: Машиностроение, 1973.

7. Колчин А. И. Расчет автомобильных и тракторных двигателей / А. И. Колчин, В. П. Демидов. М.: Высш. шк., 1971.

Оценить/Добавить комментарий
Имя
Оценка
Комментарии:
Хватит париться. На сайте FAST-REFERAT.RU вам сделают любой реферат, курсовую или дипломную. Сам пользуюсь, и вам советую!
Никита12:37:19 03 ноября 2021
.
.12:37:17 03 ноября 2021
.
.12:37:17 03 ноября 2021
.
.12:37:16 03 ноября 2021
.
.12:37:16 03 ноября 2021

Смотреть все комментарии (21)
Работы, похожие на Контрольная работа: по Транспорту 3

Назад
Меню
Главная
Рефераты
Благодарности
Опрос
Станете ли вы заказывать работу за деньги, если не найдете ее в Интернете?

Да, в любом случае.
Да, но только в случае крайней необходимости.
Возможно, в зависимости от цены.
Нет, напишу его сам.
Нет, забью.



Результаты(288873)
Комментарии (4173)
Copyright © 2005-2021 HEKIMA.RU [email protected] реклама на сайте