Содержание:
Матрицы
Операции с матрицами
Транспонирование
Вычисление определителя матрицы
Нахождение обратной матрицы
Сложение и вычитание матриц
Умножение матрицы на число
Умножение матриц
Список литературы
2
4
4
6
7
9
10
11
14
Средства MSExcel оказываются весьма полезны в линейной алгебре, прежде всего для операций с сматрицами и решения систем линейных уравнений.
Матрицы
Значительная часть математических моделей различных объектов и процессов записывается в достаточно простой и компактной матричной форме. В частности, при решении линейных уравнений мы имеем дело с матрицами и арифметическими действиями с ними. Что же такое матрица? Как выполняются действия с матрицами?
Матрицей размера m
×
n
называется прямоугольная таблица чисел, содержащая m строк и n столбцов. Матрицы обозначаются прописными (заглавными) буквами латинского алфавита. Числа, составляющие матрицу, называются элементами матрицы и обозначаются строчными буквами с двойной индексацией: aij
, где I – номер строки, а j – номер столбца. Например, матрица А размером m
×
n
может быть представлена в виде:

где i=1, …, m; j=1, …, n.
Две матрицы А и В одного размера называются равными, если они совпадают поэлементно, то есть aij
=bij
для любых i=1,2, …, m; j=1,2, …, n.
Матрица, состоящая из одной строки, называется матрицей (вектором)-строкой:
а из одного столбца – матрицей (вектором)-столбцом:

Если число строк матрицы равно числу столбцов и равно n, то такую матрицу называют квадратной n-го порядка. Например, квадратная матрица 2-го порядка:
Если у элемента матрицы aij
номер столбца равен номеру строки (i=j), то такой элемент называется диагональным. Диагональные элементы образуют главную диагональ матрицы
Квадратная матрица с равными нулю всеми недиагональными элементами называется диагональной.
Квадратная матрица называется единичной, если она диагональная, и все диагональные элементы равны единице. Единичная матрица имеет следующий вид:
Различают единичные матрицы первого, второго, третьего и т. д. порядков:
Матрица любого размера называется нулевой или нуль-матрицей, если все её элементы равны нулю:

Операции с матрицами
Как и над числами, над матрицами можно проводить ряд операций, причём в случае с матрицами некоторые из операций являются специфическими.
Транспонирование
Транспонированной называется матрица (АТ
), в которой столбцы исходной матрицы (А) заменяются строками с соответствующими номерами.
В сокращённой записи, если А= (aij
), то АТ
= (aji
).

Для обозначения транспонированной матрицы иногда используют символ «’» (A’). Транспонированием называется операция перехода от исходной матрицы (А) к транспонированной (АТ
).
Из определения транспонированной матрицы следует, что если исходная матрица А имеет размер m
×
n
,
то транспонированная матрицаАТ
имеет размер n
×
m
.
Для осуществления транспонирования в Excel используется функция ТРАНСП, которая позволяет поменять ориентацию массива на рабочем листе с вертикальной на горизонтальную и наоборот.
Функция имеет вид ТРАНСП (массив). Здесь массив – это транспонируемый массив или диапазон ячеек на рабочем листе. Транспонирование массива заключается в том, что первая строка массива становится первым столбцом нового массива, вторая строка массива становится вторым столбцом нового массива и т. д. Рассмотрим это на примере.
Пример 1.1
Предположим, что диапазон ячеек A1:E2 введена матрица размера 2×5

Необходимо получить транспонированную матрицу.
Решение.
1. Выделите (указателем мыши при нажатой левой кнопке) блок ячеек под транспонированную матрицу (52). Например, A4:B8.
2. Нажмите на панели инструментов Стандартная кнопку Вставка функции.
3. В появившемся диалоговом окне Мастер функций в рабочем поле Категория выберите Ссылки и массивы, а в рабочем поле Функция – имя функции ТРАНСП (рис. 1.1). После этого щелкните на кнопке ОК.

Рис. 1.1.
Пример выбора вида функции в диалоговом окне Мастер функций
4. Появившееся диалоговое окно ТРАНСП мышью отодвиньте в сторону от исходной матрицы A1:E2 в рабочее поле Массив (указателем мыши при нажатой левой кнопке). После чего нажмите сочетание клавиш CTRL+SHIFT+ENTER (рис. 1.2).

Рис. 1.2.
Пример заполнения диалогового окна ТРАНСП
5. Если транспонированная матрица не появилась в диапазоне A4:B8, то следует щелкнуть указателем мыши в строке формул и повторить нажатие CTRL+SHIFT+ENTER.
В результате в диапазоне A4:B8 появится транспонированная матрица:
Вычисление определителя матрицы
Важной характеристикой квадратных матриц является их определитель. Определитель матрицы – это число, вычисляемое на основе значений элементов массива. Определитель матрицы А обозначается как |А| или ∆.
Определителем матрицы первого порядка А = (а11
), или определителем первого порядка, называется элемент а11
.
∆1
= |А| = а11
Определителем матрицы второго порядка А = (aij
), или определителем второго порядка, называется число, которое вычисляется по формуле:

Произведения а11
а22
и а12
а21
называются членами определителя второго порядка.
С ростом порядка матрицы n резко увеличивает число членов определителя (n!). Например, при n=4 имеем 24 слагаемых. Существуют специальные правила, облегчающие вычисление определителей вручную, учитываются свойства определителей и т. п. При применении компьютера в использовании этих приемов нет необходимости.
В MSExcel для вычисления определителя квадратной матрицы используется функция МОПРЕД.
Функция имеет вид МОПРЕД(массив).
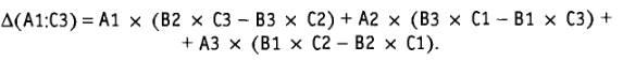
Здесь массив – это числовой массив, в котором хранится матрица с равным количеством строк и столбцов. При этом массив может быть задан как интервал ячеек, например, А1:С3; или как массив констант, например, {1;2;3;4;5;6;7;8;9}. Для массива А1:С3, состоящего из трёх строк и трёх столбцов (матрица размером 3×3), определитель вычисляется следующим образом:

Рассмотрим пример нахождения определителя матрицы.
Пример 1.2.
Предположим, что в диапазон ячеек А1:С3 введена матрица:

Необходимо вычислить определитель этой матрицы.
Решение
1. Табличный курсор поставьте в ячейку, в которую требуется получить значение определителя, например, А4.
2. Нажмите на панели инструментов Стандартная кнопку Вставка функции.
3. В появившемся диалоговом окне Мастер функций в рабочем поле Категория выберите Математические, а в рабочем поле Функция – имя функции МОПРЕД. После этого щелкните на кнопке ОК.
4. Появившееся диалоговое окно МОПРЕД мышью отодвиньте от исходной матрицы и введите диапазон исходной матрицы А1:С3 в рабочее поле Массив (указателем мыши при нажатой левой кнопке) Нажмите кнопку ОК (рис. 1.3).
Рис. 1.3.
Пример заполнения диалогового окна МОПРЕД
В ячейке А4 появится значение определителя – 6.
Нахождение обратной матрицы
Для каждого числа а≠0 существует обратное число а-1
, и для квадратных матриц вводится аналогичное понятие. Обратные матрицы обычно используются для решения систем уравнений с несколькими неизвестными.
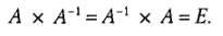
Матрица А-1
называется обратной по отношению к квадратной матрице А, если при умножении этой матрицы на данную как слева, так и справа получается единичная матрица:

как следует из определения, обратная матрица является квадратной того же порядка, что и исходная матрица.
Необходимым и достаточным условием существования обратной матрицы является невырожденность исходной матрицы. Матрица называется невырожденной или неособенной, если её определитель отличен от нуля (|А|≠0); в противном случае (|А|=0) матрица называется вырожденной или особенной.
Существуют специальные достаточно сложные алгоритмы для ручного вычисления обратных матриц. В качестве примера того, как вычисляется обратная матрица, рассмотрим квадратную матрицу второго порядка

Тогда обратная матрица вычисляется следующим образом:

В MSExcel для нахождения обратной матрицы используется функция МОБР, которая вычисляет обратную матрицу для матрицы, хранящейся в таблице в виде массива.
Функция имеет вид МОБР(массив).
Здесь массив – это числовой массив с равным количеством строк и столбцов. Массив может быть задан как диапазон ячеек, например А1:С3; как массив констант, например, {1;2;3;4;5;6;7;8;9} или как имя диапазона или массива.
Рассмотрим пример нахождения обратной матрицы.
Пример 1.3.
Пусть в диапазон ячеек А1:С3 введена матрица
Необходимо получить обратную матрицу.
Решение
1. Выделите блок ячеек под обратную матрицу, например блок ячеек А5:С7 (указателем мыши при нажатой левой кнопке).
2. Нажмите на панели инструментов Стандартная кнопку Вставка функции. В появившемся диалоговом окне Мастер функций в рабочем поле Категория выберите Математические, а в рабочем поле Функция – имя функции МОБР. После этого щелкните на кнопке ОК.
3. Появившееся диалоговое окно МОПРЕД мышью отодвиньте от исходной матрицы и введите диапазон исходной матрицы А1:С3 в рабочее поле Массив (указателем мыши при нажатой левой кнопке).
4. Нажмите сочетание клавиш CTRL+SHIFT+ENTER (рис. 1.4).

Рис. 1.4.
Пример заполнения диалогового окна МОБР
5. Если обратная матрица не появилась в диапазоне А5:С7, то следует щелкнуть указателем мыши в строке формул и повторить нажатие CTRL+SHIFT+ENTER.
В результате в диапазоне А5:С7 появится обратная матрица:

Сложение и вычитание матриц
Складывать (вычитать) можно матрицы одного размера. Суммой матриц А = (aij
) и В = (bij
) размера m×n называется матрица C = A + B, элементы которой cij
= aij
+ bij
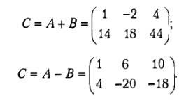
для i = 1,2, …, m; j = 1,2, …, n (то есть матрица складывается поэлементно). Например, если:

то С = А + В:

В частном случае А + 0 = А.
Аналогично определяют разность двух матриц С = А – В.
В MSExcel для выполнения операций суммирования и вычитания матриц могут быть использованы формулы, вводимые в соответствующие ячейки.
Пример 1.4.
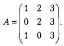
Пусть матрица А из рассмотренного примера, введена в диапазон А1:С2, а матрица В – в диапазон А4:С5. Необходимо найти матрицу С, являющуюся их суммой.
Решение.
1. Табличный курсор установите в левый верхний угол результирующей матрицы, например в А7.
2. Введите формулу для вычисления первого элемента результирующей матрицы = А1 + А4
3. Скопируйте введённую формулу в остальные ячейки результирующей матрицы: установите табличный курсор в ячейку А7; наведите указатель мыши на точку в правом нижнем углу ячейки так, чтобы указатель принял вид тонкого крестика; при нажатой левой кнопке мыши протяните указатель до ячейки С7; затем так же протяните указатель мыши до ячейки С8.
В результате в ячейках А7:С8 появится матрица, равная сумме исходных матриц. Подобным образом вычисляется разность матриц, только в формуле для вычисления первого элемента вместо знака «+» ставят знак «-».
Умножение матрицы на число
Произведением матрицы А на число k называется матрица В = kA, элементы которой bij
= kaij
для I = 1,2, …, m; j = 1,2, …, n. Иначе говоря, при умножении матрицы на постоянную каждый элемент этой матрицы умножается на эту постоянную: k*Aij
= (k*aij
).
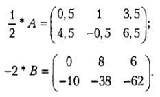
Например, для матриц А и В из предыдущего примера:
В частности, произведение матрицы А на число 0 есть нулевая матрица, то есть 0 × А = 0.
В MSExcel для выполнения операции умножения матрицы на число могут быть использованы формулы, вводимые в соответствующие ячейки.
Пример 1.5.
Пусть, как и в предыдущем примере матрица А введена в диапазон А1:С2. Необходимо получить матрицу С = 3 × А.
Решение
1. Табличный курсор поставить в левый верхний угол результирующей матрицы, например в Е1.
2. Введите формулу для вычисления первого элемента результирующей матрицы = 3*А1.
3. Скопируйте введённую формулу в остальные ячейки результирующей матрицы: установите табличный курсор в ячейку Е1; наведите указатель мыши на точку в правом нижнем углу ячейки так, чтобы указатель принял вид тонкого крестика; при нажатой левой кнопке мыши протяните указатель до ячейки G1; затем так же протяните указатель мыши до ячейки G2.
В результате в ячейках E1:G2 появится матрица, равная исходной матрице, умноженной на постоянную – 3.

Умножение матриц
Произведение матриц определено, если число столбцов первой матрицы равно числу строк второй.
Пусть А = (aij
) m×n, B = (bij
) n×p, тогда размерность произведения А×В равна m×p. При этом матрица С называется произведением матриц А и В, если каждый её элемент cij
равен сумме произведений элементов i-й строки матрицы А на соответствующие элементы j-го столбца матрицы В:
Таким образом, перемножение матриц осуществляется по следующему правилу:

Пусть, например,
Многие свойства, присущие операциям над числами, справедливы и для операций умножения матриц.
Для матриц верны общие свойства операции умножения.
1. А(ВС) = (АВ)С – ассоциативность.
2. А(В+С) = АВ + АС – дистрибутивность.
3. (А + В)С + АС + ВС.
4. (αА)В = А(αВ) = α(АВ), α – константа.
Однако имеются и специфические свойства операций умножения матриц.
5. Умножение матриц некоммутативно – АВ ≠ ВА.
В частном случае коммутативным законом обладает произведение любой квадратной матрицы А n-го порядка на единичную матрицу Е того же порядка, причем это произведение равно А.
6. Если Е – единичная матрица, то ЕА = А; ЕВ = В.
Таким образом, единичная матрица играет при умножении ту же роль, что и число 1 при умножении чисел.
7. Из того, что А × В = 0, не следует, что А = 0 или В = 0.
В алгебре матриц нет действия деления. Выражение А/В не имеет смысла. Его заменяют два различных выражения В-1
× А и А × В-1
, если существует В-1
.
Для квадратных матриц возможна операция возведения в степень. По определении. полагают, что А0
= Е и А1
= А. Целой положительной степенью Am
(m>1) квадратной матрицей А называется произведение m матриц, равных А, то есть:
Для нахождения произведения двух матриц в Excel используется функция МУМНОЖ, которая вычисляет произведение матриц.
Функция имеет вид МУМНОЖ(массив1;массив2).
Здесь массив1 и массив2 – это перемножаемые массивы. При этом количество столбцов аргумента массив1 должно быть таким же, как количество строк аргумента массив2, и оба массива должны содержать только числа. Результатом является массив с таким же числом строк, как массив1 и с таким же числом столбцов, как массив2.
Массив С, который является произведением двух массивов А и В, определяется следующим образом:

где I – номер строки, а j – номер столбца.
Рассмотрим пример умножения матриц.
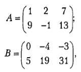
Пример 1.6.
Пусть матрица А из примера 1.2 введена в диапазон А1:D3, а матрица В – в диапазон А4:В7. Необходимо найти произведение этих матриц С.
Решение
1. Выделите блок ячеек под результирующую матрицу. Для этого требуется найти размер матрицы-произведения. Её размером будет mp, в данном примере 32. Например, выделите блок ячеек F1:G3.
2. Нажмите на панели инструментов Стандартная кнопку Вставка функции.
3. В появившемся диалоговом окне Мастер функций в рабочем поле Категория выберите Математические, а в рабочем поле Функция – имя функции МУМНОЖ. После этого щелкните на кнопке ОК.
4. Появившееся диалоговое окно МУМНОЖ мышью отодвиньте от исходной матрицы и введите диапазон исходной матрицы А - А1:D3 в рабочее поле Массив1 (указателем мыши при нажатой левой кнопке), а диапазон матрицы В – А4:В7 введите в рабочее поле Массив2 (рис. 1.5). Нажмите сочетание клавиш CTRL+SHIFT+ENTER.
Рис. 1.5.
Пример заполнения рабочих полей диалогового окна МУМНОЖ
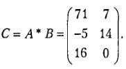
5. Если произведение матриц А×В не появилось в диапазоне F1:G3, то следует щёлкнуть указателем мыши в строке формул и ещё раз нажать комбинацию клавиш CTRL+SHIFT+ENTER.
В результате в диапазоне F1:G3 появится произведение матриц:

Список литературы:
1
.
www.office.microsoft.com
2. В. Я. Гельман «Решение математических задач средствами
Excel
», стр. 49-60
|