Банк рефератов содержит более 364 тысяч рефератов, курсовых и дипломных работ, шпаргалок и докладов по различным дисциплинам: истории, психологии, экономике, менеджменту, философии, праву, экологии. А также изложения, сочинения по литературе, отчеты по практике, топики по английскому.
Полнотекстовый поиск
Всего работ:
364139
Теги названий
Разделы
Авиация и космонавтика (304)
Административное право (123)
Арбитражный процесс (23)
Архитектура (113)
Астрология (4)
Астрономия (4814)
Банковское дело (5227)
Безопасность жизнедеятельности (2616)
Биографии (3423)
Биология (4214)
Биология и химия (1518)
Биржевое дело (68)
Ботаника и сельское хоз-во (2836)
Бухгалтерский учет и аудит (8269)
Валютные отношения (50)
Ветеринария (50)
Военная кафедра (762)
ГДЗ (2)
География (5275)
Геодезия (30)
Геология (1222)
Геополитика (43)
Государство и право (20403)
Гражданское право и процесс (465)
Делопроизводство (19)
Деньги и кредит (108)
ЕГЭ (173)
Естествознание (96)
Журналистика (899)
ЗНО (54)
Зоология (34)
Издательское дело и полиграфия (476)
Инвестиции (106)
Иностранный язык (62791)
Информатика (3562)
Информатика, программирование (6444)
Исторические личности (2165)
История (21319)
История техники (766)
Кибернетика (64)
Коммуникации и связь (3145)
Компьютерные науки (60)
Косметология (17)
Краеведение и этнография (588)
Краткое содержание произведений (1000)
Криминалистика (106)
Криминология (48)
Криптология (3)
Кулинария (1167)
Культура и искусство (8485)
Культурология (537)
Литература : зарубежная (2044)
Литература и русский язык (11657)
Логика (532)
Логистика (21)
Маркетинг (7985)
Математика (3721)
Медицина, здоровье (10549)
Медицинские науки (88)
Международное публичное право (58)
Международное частное право (36)
Международные отношения (2257)
Менеджмент (12491)
Металлургия (91)
Москвоведение (797)
Музыка (1338)
Муниципальное право (24)
Налоги, налогообложение (214)
Наука и техника (1141)
Начертательная геометрия (3)
Оккультизм и уфология (8)
Остальные рефераты (21692)
Педагогика (7850)
Политология (3801)
Право (682)
Право, юриспруденция (2881)
Предпринимательство (475)
Прикладные науки (1)
Промышленность, производство (7100)
Психология (8692)
психология, педагогика (4121)
Радиоэлектроника (443)
Реклама (952)
Религия и мифология (2967)
Риторика (23)
Сексология (748)
Социология (4876)
Статистика (95)
Страхование (107)
Строительные науки (7)
Строительство (2004)
Схемотехника (15)
Таможенная система (663)
Теория государства и права (240)
Теория организации (39)
Теплотехника (25)
Технология (624)
Товароведение (16)
Транспорт (2652)
Трудовое право (136)
Туризм (90)
Уголовное право и процесс (406)
Управление (95)
Управленческие науки (24)
Физика (3462)
Физкультура и спорт (4482)
Философия (7216)
Финансовые науки (4592)
Финансы (5386)
Фотография (3)
Химия (2244)
Хозяйственное право (23)
Цифровые устройства (29)
Экологическое право (35)
Экология (4517)
Экономика (20644)
Экономико-математическое моделирование (666)
Экономическая география (119)
Экономическая теория (2573)
Этика (889)
Юриспруденция (288)
Языковедение (148)
Языкознание, филология (1140)

Реферат: Финансовая стратегия предприятия 5

Название: Финансовая стратегия предприятия 5
Раздел: Рефераты по финансам
Тип: реферат Добавлен 03:43:56 22 июня 2011 Похожие работы
Просмотров: 192 Комментариев: 20 Оценило: 2 человек Средний балл: 5 Оценка: неизвестно     Скачать

Контрольная работа

Финансовая стратегия предприятия

Содержание:

1. Выбор главной финансовой стратегии предприятия……………………..3

2. Методический инструментарий учета фактора риска при подготовке стратегических финансовых решений…………………………………….6

1. ВЫБОР ГЛАВНОЙ ФИНАНСОВОЙ СТРАТЕГИИ ПРЕДПРИЯТИЯ

Выбор главной финансовой стратегии характеризует основной стратегический выбор предприятия в системе путей достижения стратегических финансовых целей, оп­ределяя направленность всех последующих действий по принятию стратегических финансовых решений.

Главная финансовая стратегия предприятия представляет собой избираемое генеральное направление его финансового развития, касающееся всех важнейших аспектов его финансо­ вой деятельности и финансовых отношений, обеспечивающее реализацию его основных стратегических финансовых целей.

Выбор главной финансовой стратегии предприятия в первую очередь зависит от принятой им базовой корпора­тивной стратегии. Такая зависимость определяется тем, что финансовая стратегия носит подчиненный характер по от­ношению к базовой корпоративной стратегии и, как и лю­бой другой вид функциональной стратегии, призвана обес­печивать эффективную ее реализацию. Исходя из системы рассмотренных ранее видов базовых корпоративных стра­тегий предприятия, предлагается следующая система адек­ватных им видов главной финансовой стратегии.

Рекомендуемая система видов главной финансовой

стратегии предприятия , адекватной соответствующим

видам его базовой корпоративной стратегии

Приоритетные доми-
нантные сферы (направ-
Виды главной ления) стратегического
Виды базовой финансовой финансового развития
корпоративной стратегии предприятия,
стратегии предприятия обеспечивающие
реализацию его главной
финансовой стратегии
1. "Ускоренный Стратегия финан- Ускоренное возра-
рост" совой поддержки стание потенциала
ускоренного формирования
роста предприя- финансовых ресур-
тия сов предприятия
2. "Ограничен- Стратегия финан- Обеспечение эф-
ный рост" сового обеспече- фективного рас-
ния устойчивого пределения и
роста предприя- использования
тия финансовых ресур-
сов предприятия
3. "Сокраще- Антикризисная Формирование до-
ние" финансовая статочного уровня
стратегия пред- финансовой без-
приятия опасности пред-
приятия

"Стратегия финансовой поддержки ускоренного роста предприятия " (СФПУР) направлена на обеспечение высо­ких темпов его операционной деятельности, в первую оче­редь, — объемов производства и реализации продукции. В этих условиях существенно увеличивается потребность в финансовых ресурсах, направляемых на прирост оборот­ных и внеоборотных активов предприятия. Соответствен­но, приоритетной доминантной сферой (направлением) стратегического финансового развития предприятия, в наибольшей степени обеспечивающей данный вид главной финансовой стратегии, является возрастание потенциала формирования финансовых ресурсов.

"Стратегия финансового обеспечения устойчивого рос­ та предприятия " (СФОУР) направлена на сбалансирование параметров ограниченного роста операционной деятельнос­ти и необходимого уровня финансовой безопасности пред­приятия. Стабильная поддержка таких параметров в про­цессе стратегического финансового развития предприятия выдвигает в качестве приоритетной доминантную сферу обеспечения эффективного распределения и использования его финансовых ресурсов.

"Антикризисная финансовая стратегия предприятия" (АФС) призвана обеспечить финансовую стабилизацию предприятия в процессе выхода из кризиса операционной его деятельности, вызывающего необходимость сокращения объемов производства и реализации продукции (т.е. процессов выхода из отдельных рынков или их сегментов, сокращения определенных производственных его единиц и т.п.). В этих условиях приоритетной доминантной сфе­рой стратегического финансового развития становится

формирование достаточного уровня финансовой безопасности предприятия.

Наряду с видом базовой корпоративной стратегии важным фактором, определяющим выбор главной финан­совой стратегии предприятия, является исходная модель его стратегической финансовой позиции. Это связано с тем, что не все варианты этой модели могут поддерживать реали­зацию тех или иных видов базовой корпоративной страте­гии, а соответственно и адекватных им видов главной фи­нансовой стратегии предприятия. Так, например, модель стратегической финансовой позиции предприятия, харак­теризуемая квадрантом "слабость и угрозы", не может обеспечить базовую корпоративную стратегию "ускорен­ного роста", т.е. вступает в противоречие и с главной фи­нансовой стратегией — СФПУР.

Ряд моделей стратегической финансовой позиции не­эффективны в процессе осуществления отдельных видов главной финансовой стратегии по обратной причине — они не позволяют реализовать в достаточной степени фи­нансовый потенциал предприятия. В качестве примера можно привести модель стратегической финансовой пози­ции, отражаемой квадрантом "сила и возможности", ис­пользуемой в процессе реализации базовой корпоративной стратегии "сокращение" и соответственно главной финан­совой стратегии — АФС.

Следовательно, для того чтобы главная финансовая стратегия могла быть эффективно реализована в предсто­ящем периоде, она должна учитывать возможности конк­ретной модели стратегической финансовой позиции пред­приятия. Рекомендации по возможным сочетаниям избираемой главной финансовой стратегии предприятия и конкретных моделей его стратегической финансовой по­зиции.

Как видно из приведенной таблицы, отдельные виды главной финансовой стратегии предприятия могут изби­раться при различных моделях его стратегической финан­совой позиции (но в рамках определенного их диапазона). Конкретная взаимосогласованность этих параметров опре­деляется с учетом степени проявления факторов внешней и внутренней среды предприятия в предстоящем периоде в рамках каждой модели стратегической финансовой по­зиции предприятия.

Модели стратегической финансовой позиции предприятия, обеспечивающие реализацию отдельных видов его главной финансовой стратегии

Виды главной финансовой стратегии предприятия Модели стратегической финансовой позиции, согласуемые с его главной финансовой стратегией
Наилучшие Возможные
1. Стратегия фи­нансовой поддерж­ки ускоренного роста предприятия "Сила и возможности" "Стабильность и возможности" "Сила и угрозы"
2. Стратегия финан­сового обеспече­ния устойчивого роста предприятия "Стабильность и возможности" "Сила и угрозы" "Стабильность и угрозы"
3. Антикризисная финансовая страте­гия предприятия "Слабость и угрозы" "Слабость и возможности"

В процессе выбора главной финансовой стратегии предприятия могут учитываться и другие факторы, в част­ности, стадия его жизненного цикла, финансовый мента­литет его собственников, уровень квалификации финан­совых менеджеров.

2. МЕТОДИЧЕСКИЙ ИНСТРУМЕНТАРИЙ УЧЕТА ФАКТОРА РИСКА ПРИ ПОДГОТОВКЕ СТРАТЕГИЧЕСКИХ ФИНАНСОВЫХ РЕШЕНИЙ

Стратегическое управление финансовыми рисками базируется на обширной методическом инструментарии учета фактора риска, позволяющем решать связанные с ним конкретные задачи перспективного финансового раз­вития предприятия. Дифференциация этого методическо­го инструментария отражает следующую систематизацию задач учета фактора риска при подготовке стратегических финансовых решений.

I . Методический инструментарий оценки уровня финан­сового риска является наиболее обширным, так как вклю­чает в себя разнообразные экономико-статистические, экс­пертные, аналоговые методы осуществления такой оценки. Выбор конкретных методов оценки определяется наличи­ем необходимой информационной базы и уровнем квали­фикации менеджеров.

1. Экономико-статистические методы составляют ос­нову проведения оценки уровня финансового риска. К числу основных расчетных показателей такой оценки от­носятся:

а) Уровень финансового риска. Он характеризует общий алгоритм оценки этого уровня, представленный следующей формулой:

УР = ВР х РП ,

где УР — уровень соответствующего финансового риска;

ВР — вероятность возникновения данного финансового риска;

РП — размер возможных финансовых потерь при реа­лизации данного риска.

В практике использования этого алгоритма размер возможных финансовых потерь выражается обычно абсо­лютной суммой, а вероятность возникновения финансового риска — одним из коэффициентов измерения этой веро­ятности (коэффициентом вариации, бета-коэффициентом и др.) Соответственно уровень финансового риска при его расчете по данному алгоритму будет выражен абсолютным показателем, что существенно снижает базу его сравнения при рассмотрении альтернативных вариантов.

б) Дисперсия. Она характеризует степень колеблемос­ти изучаемого показателя (в данном случае — ожидаемого дохода от осуществления финансовой операции) по отно­шению к его средней величине. Расчет дисперсии осуще­ствляется по следующей формуле:

где а2 — дисперсия;

Rj — конкретное значение возможных вариантов ожи­даемого дохода по рассматриваемой финансовой операции;

r— среднее ожидаемое значение дохода по рас­сматриваемой финансовой операции;

Рi — возможная частота (вероятность) получения от­дельных вариантов ожидаемого дохода по фи­нансовой операции

n — число наблюдений.

в) Среднеквадратическое (стандартное) отклонение. Этот показатель является одним из наиболее распро­страненных при оценке уровня индивидуального финансово­го риска, так же как и дисперсия определяющий степень колеблемости и построенный на ее основе. Он рассчиты­вается по следующей формуле:

где — среднеквадратическое (стандартное) отклонение;

Rj — конкретное значение возможных вариантов ожидаемого дохода по рассматриваемой фи­нансовой операции;

r— среднее ожидаемое значение дохода по рассмат­риваемой финансовой операции;

Pj — возможная частота (вероятность) получения от­дельных вариантов ожидаемого дохода по фи­нансовой операции; п — число наблюдений.

г)Коэффициент вариации. Он позволяет определить уровень риска, если показатели среднего ожидаемого дохо­да от осуществления финансовых операций различаются между собой. Расчет коэффициента вариации осуществля­ется по следующей формуле:

где CV — коэффициент вариации;

s — среднеквадратическое (стандартное) отклонение; r— среднее ожидаемое значение дохода по рассмат­риваемой финансовой операции.

д)Бета-коэффициент (или бета). Он позволяет оце­нить индивидуальный или портфельный систематический финансовый риск по отношению к уровню риска финан­сового рынка в целом. Этот показатель используется обыч­но для оценки рисков инвестирования в отдельные цен­ные бумаги. Расчет этого показателя осуществляется по формуле:

где — бета-коэффициент;

К — степень корреляции между уровнем доходности по индивидуальному виду ценных бумаг (или по их портфелю) и средним уровнем доходности данной группы фондовых инструментов по рынку в целом;

— среднеквадратическое (стандартное) отклонение доходности по индивидуальному виду ценных бумаг (или по их портфелю в целом);

—среднеквадратическое (стандартное) отклонение доходности по фондовому рынку в целом.

Уровень финансового риска отдельных ценных бумаг определяется на основе следующих значений бета-коэф­фициентов:

Р = 1 — средний уровень;

Р > 1 — высокий уровень;

Р < 1 — низкий уровень.

2. Экспертные методы оценки уровня финансового рис­ ка применяются в том случае, если на предприятии отсут­ствуют необходимые информативные данные для осуще­ствления расчетов экономико-статистическими методами. Эти методы базируются на опросе квалифицированных специалистов (страховых, финансовых, инвестиционных ме­неджеров соответствующих специализированных организа­ций) с последующей математической обработкой резуль­татов этого опроса.

В целях получения более развернутой характеристики уровня риска по рассматриваемой операции опрос следует ориентировать на отдельные виды финансовых рисков, идентифицированные по данной операции (процентный, валютный, инвестиционный и т.п.).

В процессе экспертной оценки каждому эксперту предлагается оценить уровень возможного риска, основы­ваясь на определенной балльной шкале, например:

—риск отсутствует:0 баллов;

—риск незначительный:10 баллов;

—риск ниже среднего уровня: 30 баллов;

—риск среднего уровня:50 баллов;

—риск выше среднего уровня: 70 баллов;

—риск высокий:90 баллов;

—риск очень высокий:100 баллов.

3. Аналоговые методы оценки уровня финансового риска позволяют определить уровень рисков по отдельным наи­более массовым финансовым операциям предприятия. При этом для сравнения может быть использован как собствен­ный, так и внешний опыт осуществления таких финансо­вых операций.

II . Методический инструментарий формирования необ­ходимого уровня доходности финансовых операций с учетом фактора риска позволяет обеспечить четкую количествен­ную пропорциональность этих двух показателей в процес­се управления финансовой деятельностью предприятия.

1. При определении необходимого уровня премии за риск

% используется следующая формула:

где RPn —уровень премии за риск по конкретному финан­совому (фондовому) инструменту;

Rn —средняя норма доходности на финансовомрынке;

Ап — безрисковая норма доходности на финансовомрынке;

—бета-коэффициент, характеризующий уровень систематического риска по конкретному фи­нансовому (фондовому) инструменту.

2. При определении необходимой суммы премии за риск
используется следующая формула:

RPS = SI х RPn ,

где RPS —сумма премии за риск по конкретному финан совому (фондовому) инструменту в настоящей стоимости;

SI — стоимость (котируемая цена) конкретногофинансового (фондового) инструмента;

RPn —уровень премии за риск по конкретному фи­нансовому (фондовому) инструменту, выра­женный десятичной дробью.

3.При определении (необходимого) общего уровня доход­ности финансовых операций с учетом фактора риска исполь­зуется следующая формула:

RDn = An + RPn ,

где RDn —общий уровень доходности по конкретному финансовому (фондовому) инструменту с уче­том фактора риска;

Ап — безрисковая норма доходности на финансо­вом рынке;

RPn — уровень премии за риск по конкретному фи­нансовому (фондовому) инструменту.

При определении уровня избыточной доходности (премии за риск) всего портфеля ценных бумаг на едини­цу его риска используется "коэффициент Шарпа", опре­деляемый по следующей формуле:

где Sp — коэффициент Шарпа, измеряющий избыточную доходность портфеля на единицу риска, харак­теризуемую среднеквадратическим (стандарт­ным) отклонением этой избыточной доходности;

RDp —общий уровень доходности портфеля;

Ап — уровень доходности по безрисковому финансо­вому инструменту инвестирования;

— среднеквадратическое отклонение избыточной доходности.

III . Методический инструментарий оценки стоимости де­ нежных средств с учетом фактора риска дает возможность осу­ществлять расчеты как будущей, так и настоящей их сто­имости с обеспечением необходимого уровня премии за риск.

1.При оценке будущей стоимости денежных средств с
учетом фактора риска
используется следующая формула:

SR = Р * [(1 + Аn) * (1 + RPn )]n ,

где Sr— будущая стоимость вклада (денежных средств),учитывающая фактор риска;

Р — первоначальная сумма вклада;

Ап — безрисковая норма доходности на финансовомрынке, выраженная десятичной дробью;

RPn — уровень премии за риск по конкретному фи­нансовому инструменту (финансовой опера­ции), выраженный десятичной дробью;

n— количество интервалов, по которым осуществ­ляется каждый конкретный платеж, в общем обусловленном периоде времени.

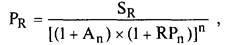
2. При оценке настоящей стоимости денежных средств с учетом фактора риска используется следующая формула:

где Pr— настоящая стоимость вклада (денежных средств),

учитывающая фактор риска;

Sr— ожидаемая будущая стоимость вклада (денеж­ных средств);

Ап — безрисковая норма доходности на финансовом

рынке, выраженная десятичной дробью;

RPn — уровень премии за риск по конкретному финансовому инструменту (финансовой опера­ции), выраженный десятичной дробью;

n — количество интервалов, по которым осуществ­ляется каждый конкретный платеж, в общем обусловленном периоде времени.

Проведенный обзор показывает, что методический инструментарий учета фактора риска при подготовке стра­тегических финансовых решений является довольно об­ширным и позволяет решать многообразные задачи в этой сфере стратегического финансового менеджмента.

Оценить/Добавить комментарий
Имя
Оценка
Комментарии:
Хватит париться. На сайте FAST-REFERAT.RU вам сделают любой реферат, курсовую или дипломную. Сам пользуюсь, и вам советую!
Никита02:59:23 04 ноября 2021
.
.02:59:22 04 ноября 2021
.
.02:59:20 04 ноября 2021
.
.02:59:19 04 ноября 2021
.
.02:59:17 04 ноября 2021

Смотреть все комментарии (20)
Работы, похожие на Реферат: Финансовая стратегия предприятия 5

Назад
Меню
Главная
Рефераты
Благодарности
Опрос
Станете ли вы заказывать работу за деньги, если не найдете ее в Интернете?

Да, в любом случае.
Да, но только в случае крайней необходимости.
Возможно, в зависимости от цены.
Нет, напишу его сам.
Нет, забью.



Результаты(294320)
Комментарии (4230)
Copyright © 2005-2023 HEKIMA.RU [email protected] реклама на сайте