министерство образования и науки российской федерации
ФЕДЕРАЛЬНОЕ АГЕНТСТВО ПО ОБРАЗОВАНИЮ
Государственное образовательное учреждение высшего профессионального образования
РОССИЙСКИЙ ГОСУДАРСТВЕННЫЙ ТОРГОВО-ЭКОНОМИЧЕСКИЙ
УНИВЕРСИТЕТ
КЕМЕРОВСКИЙ ИНСТИТУТ (ФИЛИАЛ)
Факультет экономический
Кафедра экономической теории
КУРСОВАЯ РАБОТА
по дисциплине «Экономическая теория
»
на тему «Рынок земли и особенности его формирования в России»
Выполнена студенткой _________________Масловой М. В._____________________
__1___ курса ____УСБ-091___ шифр группы ______очная________ формы обучения
специальности ______________бухгалтерский учет, анализ и аудит_______________
Руководитель _____________ст. преподаватель Оздербиева Ж. А.________________
Отметка о допуске (недопуске) к защите _______________________________
«___»_____________201__г. _________________________________
Кемерово 2010 г.
Содержание
Введение…………………………………………………………………………………3-4
Глава 1 Рынок земли в системе ресурсных рынков.
1. 1 Понятие рынка земли. Спрос и предложение товара «земля», факторы.5-9
1. 2 Механизм формирования равновесной цены земли…………….…….10-13
1. 3 Понятие и виды земельной ренты…………………….………………..14-21
Глава 2 Рынок земли РФ: проблемы и перспективы.
2. 1 Особенности формирования земельных отношений и рынка земли в России……………………………………………………………………………..…..22-23
2. 2 Проблемы рынка земли и земельных отношений в России……..……24-27
2. 3 Зарубежный опыт регулирования рынка земли и земельных отношений и возможность его применения в РФ……………..…………………………………..28-34
Заключение………….………………………………………………………………..35-36
Список использованной литературы…………………………………………..……37-38
Введение
«Землей» в экономической теории называют все естественные ресурсы (плодородную почву, запасы пресной воды, месторождения ископаемых).
Особенностью земли как экономического ресурса является ее ограниченность. В отличие от капитала земля неподвижна. На уровне народного хозяйства в большинстве стран Западной Европы и Северной Америки предложение земли более или менее стабильно. Возможности расширения сельскохозяйственных площадей весьма незначительны. Одно из немногих исключений составляют Нидерланды, где в последние десятилетия удалось расширить сельскохозяйственные угодья за счет осушения прибрежных районов моря. Очевидно, что такое дорогое удовольствие могут себе позволить отнюдь не все страны. В большинстве же развитых стран наблюдается тенденция к сокращению сельскохозяйственных площадей как следствие развития городского хозяйства и инфраструктуры (строительства дорог, различных зданий, сооружений и т.п.).
В основе появления рынка земли лежит проблема частной собственности. С одной стороны, выступают собственники земельных ресурсов, с другой – люди, владеющие деньгами и желающие свои деньги и свой труд вложить в использование земельных угодий и стать предпринимателями. Собственники земли предлагают свои земли в аренду, тем самым формируют предложение на землю. Будущие сельскохозяйственные землепользователи (арендаторы) вступают в переговоры об аренде земли, тем самым формируют спрос на землю, вследствие чего в обществе возникают аграрные отношения. В роли землевладельца может выступать физическое лицо, государство, фирма. Банк и т.д., имеющее право собственности на данный участок. Землепользователь – это арендатор, предприниматель, получающий обычную прибыль. Иногда функции собственника земли и землепользователя совпадают, эта ситуация возникает, когда землевладелец сам обрабатывает свой участок или когда землепользователь стал хозяином данной земли.
Земля, ее недра, леса, животный мир и другие ресурсы составляют основу жизни и деятельности людей.
Россия обладает уникальными богатствами, созданными самой природой, и эти богатства - её земли.
Проблема совершенствования правового регулирования земельных отношений в России в последнее время стала одной из наиболее актуальных и широко обсуждаемых не только среди юристов, законодателей и политиков, но и в обществе в целом. Мнения участвующих в дискуссии сторон порой противоположны, но все сходятся в одном: действующее земельное законодательство не соответствует современным потребностям регулирования земельных отношений, так как Россия перешла на качественно новые отношения, а, следовательно, изменилось и отношение к земле. Появились различные нововведения. Одно из них - свободная купля-продажа земли.Земельный рынок один из самых главных и актуальных вопросов сельского хозяйства.
Цель курсовой работы: рассмотреть особенности рынка земли.
Задачи курсовой работы:
1) изучить и проанализировать экономическую литературу;
2) рассмотреть особенности земли как фактора производства;
3) изучить спрос и предложение земли;
4) рассмотреть вопросы землевладения и землепользования;
5) изучить вопрос «цена земли».
Глава 1 Рынок земли в системе ресурсных рынков
1. 1 Понятие рынка земли
Рынок земли является неотъемлемой частью экономики любого развитого государства. Земля - важнейший ресурс, занимающий исключительное место в жизни и деятельности любого общества.
Рынок земли обладает целым рядом специфических особенностей. Во-первых, земля является бесплатным даром природы, что позволяет говорить об иррациональном характере ее стоимости. Тем не менее, земля является объектом купли-продажи; с ней связаны земельные арендные отношения.
Во-вторых, в зависимости от тех или иных природно-климатических условий, а также местонахождения участков земли, последние подразделяются на лучшие, средние и худшие. В основе такого деления лежит естественное плодородие почвы, от которого зависит продуктивность земли. Но она может быть улучшена в результате дополнительных вложений в нее труда и капитала. Это улучшенное плодородие почвы называется экономическим. Повышение экономического плодородия почвы практически возможно на любых участках. Однако оно имеет определенные границы, связанные с известным законом убывающего плодородия почвы, когда при сложившейся технологии обработки земли каждая последующая единица затрат обеспечивает все меньшую и меньшую отдачу.
В-третьих, вследствие фиксированности площади земельных угодий природой, предложение земли характеризуется в общественном масштабе совершенной неэластичностью, хотя для конкретного пользователя землей дело обстоит иначе: предложение земли обладает определенной эластичностью, поскольку пользователь имеет возможность увеличить имеющуюся у него земельную площадь за счет конкурентов. Ограниченность предложения земельных ресурсов усиливается закрепленностью земли в частную собственность. В условиях рынка земельные собственники весьма неохотно идут на продажу своих земельных участков, отдавая предпочтение сдаче земли в виде аренды они получают право получения стабильного дохода, именно поэтому каждый определенный момент продается лишь незначительная часть земельного фонда, в этом заключается принципиальная особенность рынка земли.
Земельный рынок формирует условия, стимулирующие эффективное использование земли и вынуждает отдельных субъектов отказаться от части земли или от всего участка, если он не функционирует эффективно.
Однако рынок земли далек от совершенства и не является гарантом стабильности. Восполнение недостатков рынка - важнейшая задача государства. Государство обязано в первую очередь создать условия защиты прав собственности на землю, соблюдения субъектами своих договорных обязательств, целенаправленного и разумного использования земельного фонда страны, при этом политика государства должна базироваться на сочетании интересов всех хозяйствующих субъектов аграрного сектора. Любая государственная система управления должна базироваться на земельном кадастре - это официально составленный, систематизированный свод сведений, касающийся земельного фонда страны. Очевидно, что вне наличия у государства банка данных о земле невозможно разрешение проблем аграрного сектора.
Под рынком земли следует понимать не только куплю-продажу земли, но и предоставление ее в аренду, а так же весь рынок сельскохозяйственной продукции, на котором реализуются в той или иной форме отношения собственности на землю.
Спрос и предложение товара «земля», факторы.
Предложение земли ограничено не только на макро - , но и на микроуровне. Для большинства ферм расширение не только в краткосрочном, но и в долгосрочном периоде наталкивается на определенные трудности.
Факторами, влияющими на предложение земли, являются плодородие и положение. Поэтому когда мы говорим об ограниченности земли, мы имеем в виду землю определенного качества, расположенную в определенном месте. Естественно, что количество хорошей земли вокруг конкретного крупного города или даже отдельной фермы ограничено вдвойне: и по качеству, и по количеству.
Плодородие, например, зависит от качества почвы, климата, характера применяемой техники, трудовых навыков и производственного опыта тех, кто работает на земле, и т. д. Хотя некоторые факторы, несомненно, являются переменными, однако в силу особенностей применяемого в сельском хозяйстве труда и капитала их изменение происходит лишь по истечении более или менее значительного периода времени. В большинстве развитых стран в сельском хозяйстве доминируют семейные фермы. Основную часть занятых составляют члены фермерских семей. Их род занятий, жилье, собственность на землю "привязывают" их к определенной местности, значительно ограничивая мобильность.
В условиях мелкого (семейного) производства возможности быстрой замены применяемого капитала так же ограничены в силу недостатка имеющихся средств. Правда, как правило, имеются определенные резервы в повышении качества и улучшении продуктивности земли, которые зависят от форм хозяйствования. В силу традиционности этого вида производства в одночасье они коренным образом не могут быть изменены. Более того, при нерациональном ведении хозяйств качество земли может быть не улучшено, а ухудшено.
Рис. 1 Предложение земли
Фиксированный характер предложения земли означает, что кривая предложения абсолютно неэластична. Если на оси абсцисс отложить количество акров земли, а на оси ординат — цену акра земли, то кривая предложения земли будет представлять линию, параллельную оси ординат (см. рис. 1). Это означает, что предложение земли не может быть увеличено даже в условиях значительного роста цен на землю. Для того чтобы определить, какая цена реально установится, необходимо проанализировать спрос, который в данном случае играет активную роль, ведь только от него будет зависеть уровень цен на землю.
Спрос на землю неоднороден. Он включает два основных элемента — сельскохозяйственный и несельскохозяйственный спрос(1):
D = Dсх + Dнесх, (1)
где:
D — совокупный спрос;
Dсх — сельскохозяйственный спрос;
Dнесх — несельскохозяйственный спрос.
   
Рис 2. Совокупный спрос на землю.
Если на оси абсцисс мы отложим количество акров земли, а на си ординат — цену за акр земли, то кривая сельскохозяйственного спроса на землю Dсх будет иметь отрицательный наклон. Это вязано с тем, что по мере вовлечения земли в хозяйственный оборот (при данном уровне развития техники и технологии) мы должны будем переходить от лучших по плодородию земель к средним и даже худшим.
Кривая несельскохозяйственного спроса также имеет отрицательный наклон, так как связана главным образом с местоположением, и здесь также есть свои ограничения, так как приходится использовать не только земли в центре города (например, для жилищного строительства и офисов), но и на окраинах. Совокупный спрос D на землю определяется путем сложения по горизонтали кривых сельскохозяйственного и несельскохозяйственного спроса (Рис. 2).
Сельскохозяйственный спрос на землю является в условиях развитого рыночного хозяйства производным от спроса на продовольствие. Он складывается из спроса на продукцию растениеводства, животноводства и т. д. Сельскохозяйственный спрос на землю учитывает уровень плодородия почвы и возможности его повышения, а также местоположение — степень удаленности от центра потребления продовольствия и сырья.
Сельскохозяйственный спрос на землю определяется особенностями спроса на продовольственную продукцию.
Спрос на продукты питания неэластичен. Люди не могут жить без пищи, к которой привыкли. Поэтому объем спроса на основные продукты питания мало изменяется даже в результате значительного изменения цен. В условиях высокой инфляции спрос на продуты питания уменьшается меньше, чем на другие товары, так как происходит сокращение доли непродовольственных товаров (например, товаров длительного пользования) в бюджете потребителя.
Неэластичность спроса на продукты питания означает, что даже незначительное сокращение привычных объемов предложения может явиться причиной сильного роста цен на продовольствие, наоборот, увеличение предложения, например, в урожайный год может привести к значительному падению цен на сельскохозяйственную продукцию.
Аграрная сфера сильно зависит от природных условий. Изменение погоды, неблагоприятные атмосферные осадки, многочисленные вредители, стихийные бедствия приводят к резким колебаниям предложения. До сих пор сельскохозяйственное производство полностью непредсказуемо и не контролируется в такой степени, как, например, промышленное производство.
На сельскохозяйственный спрос на землю оказывает влияние такой важный фактор, как постепенное сокращение доли продовольствия в бюджете потребителя — явление, типичное для населения подавляющего большинства стран. Это долговременная тенденция. Сокращение доли продовольствия в бюджете потребителя приводит к уменьшению доли расходов на продукты питания. Поэтому доля сельского хозяйства в национальном доходе сокращается. Если население, занятое в аграрной сфере, не будет уменьшаться теми же темпами, что и сокращение расходов на сельскохозяйственную продукцию, то доходы этой части населения будут неуклонно понижаться. Естественно, что это, в конечном счете, отразится и на сельскохозяйственном спросе на землю, и на ее предложении.
В отличие от сельскохозяйственного спроса на землю несельскохозяйственный спрос имеет устойчивую тенденцию к росту. Несельскохозяйственный спрос на землю также объединяет разнообразные виды спроса. Он состоит из спроса на землю для строительства жилья, объектов инфраструктуры, из промышленного спроса и даже из инфляционного спроса на землю. В условиях высоких темпов инфляции борьба с обесценением денежного богатства подталкивает спрос на недвижимость. И земля выступает одной из гарантий сохранения и приумножения богатства.
Несельскохозяйственный спрос, как правило, безразличен к уровню плодородия земли. Главное для него — местоположение земельных участков. Оно имеет особое значение в крупных городах. В различных районах города цена земли неодинакова и обычно достигает максимума в центре города. Не случайно в центре многих американских городов возвышаются небоскребы. Они позволяют разместить значительные производственные (или непроизводственные) площади на ограниченном участке земли.
1. 2 Механизм формирования равновесной цены земли.
В развитом рыночном хозяйстве земля становится предметом купли-продажи. Что же в этом случае лежит в основе цены на земли?
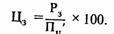
При продаже земли ее собственник заботится о том, чтобы не потерять получаемый им рентный доход. Он, по-видимому, стремится получить за участок, по крайней мере, такую сумму денег, которая, будучи помещена в банк, принесла бы ему годовую величину процента, равную ренте. В свою очередь, покупатель земли, прежде чем стать ее собственником, сравнивает приносимую землей сумму ренты с процентом, который он может получить, если положит свои деньги в банк. Стало быть, цена земли есть капитализированная (превращенная в денежный капитал) рента. Цена земли (Цз) прямо пропорциональна величине ренты (Рз) и обратно пропорциональна ставке депозитного процента (Пц’)(2):
(2)
При неизменном рентном доходе цены на землю могут возрастать, когда снижается ставка процента. Если, допустим, банк уплачивает вкладчикам 5% годовых, то участок, приносящий ренту в размере 14 000 ден. ед. в год, будет продаваться за 2800 тыс. ден. ед. ( ). Когда же норма банковского процента понизится до 2%, цена того же участка возрастет до 7 млн. ден. ед. ( ).
На рыночную цену земли определенное влияние оказывает соотношение предложения и спроса на данный товар. При этом важно отметить, что количество предлагаемой земли не может вообще измениться под воздействием повышения или снижения цены: общее количество освоенной земли невозможно увеличить. Только при очень высоких ценах на землю становится выгодным вовлекать в оборот заболоченные, пустынные и им подобные территории, но и их количество имеет непреодолимые пределы.
Для современных условий характерна тенденция уменьшения предложения земли вследствие ряда обстоятельств. Так, непрерывно усиливается процесс урбанизации (роста городов) и использования земли для других несельскохозяйственных целей (добычи полезных ископаемых, строительства аэродромов и т. п.). В связи с этим государство в ряде стран идет на национализацию части земель (выкупая ее у собственников), создает национальные парки и заповедники, в которых в экологических целях сохраняется в неприкосновенности природная среда. Оно улучшает использование земель для городского строительства и рационального развития отдельных регионов страны. Все это, естественно, ограничивает предложение на рынке земли. Одновременно возрастает спрос на землю. Его предъявляют крупные сельскохозяйственные предприятия, стремящиеся расширить свою деятельность. Активными покупателями выступают те, кто строит дома за пределами городов и использует землю для иных несельскохозяйственных нужд. В итоге для соотношения предложения и спроса на землю сейчас типична ситуация, изображенная на рис. 3

Рис. 3 Изменение цены земли при разных соотношениях предложения и спроса на нее.
На рис. 3 показано, что происходит с ценой при сокращении земельных угодий, являющихся объектом купли-продажи на рынке земли, и при увеличении спроса на нее. Во многих случаях кривая предложения является строго фиксированной и принимает вертикальное положение, поскольку не изменяется под воздействием спроса. Первоначально эта кривая (П1 — П2) пересекается с кривой спроса (С1-С2) в равновесной точке Р1;, что приводит к образованию цены земли Ц1;. Однако при уменьшении количества земли с З1 до З2 кривая предложения (П3-П4)пересекается с кривой спроса в равновесной точке Р2, вследствие чего цена земли повышается с уровня Ц1 до уровня Ц2.
Не случайно во второй половине XX вв. странах Запада сложилась устойчивая тенденция к росту цены земли. Показательно, например, что в ряде регионов США цена земли выросла по сравнению с 1940 г. более чем в 3–5 раз. Сопутствующим этому следствием является еще более быстрое повышение цены на жилые дома. Так, в тех же США в начале 50-х годов цена традиционного односемейного дома равнялась 8 тыс. долл., а в середине 80-х годов она возросла более чем в 10 раз. Для приобретения дома американская семья может получить ссуду в размере 70% его товарной цены с рассрочкой на 25–40 лет. Между тем выплачиваемая по процентам сумма оказывается больше первоначального займа в 2 или более раза.
Вкладывать деньги и недвижимость — землю, дома и другие капитальные объекты, цены на которые обычно повышаются быстрее, чем на иные товары, стало особенно выгодным делом в условиях инфляции. Это подогрело спекулятивную «горячку», направленную на покупку всякой недвижимости (и в первую очередь — земли) с расчетом получить в будущем очень высокую цену за эти блага. Но, таким образом, с одной стороны, создаются экономические предпосылки для получения в будущем совершенно неоправданных доходов одними, а, с другой стороны, ухудшаются жизненные условия многих людей, стремящихся приобрести жилые и земельные участки для производства сельскохозяйственных продуктов. В связи с этим в Великобритании, Швеции, Италии и других государствах ограничено получение доходов от продажи земель тем, кто спекулирует недвижимостью, и собственникам земель, отводимых под новое городское строительство.
В итоге мы приходит к важному выводу. Эффективно использовать собственность на землю (получить доход) можно при разных формах землепользования: и когда действует арендатор чужой земли, и при сдаче земли ее владельцем в ипотеку, и если собственник земли полностью сам распоряжается ею. Это означает, что сельское хозяйство может успешно развиваться при плюрализме форм собственности на землю. Решающее значение для получения нормального дохода имеют технические и организационно-экономические условия производства. Такие условия имеются у процветающих крупных хозяйств. Что касается мелких фермерских хозяйств, то они нуждаются в поддержке государства: им требуется финансовая помощь, серьезные экономические стимулы и современная инфраструктура сельскохозяйственного производства, которую обеспечивает агропромышленный комплекс. В нем продуктивно соединяется изготовление необходимых средств производства для сельского хозяйства, само это хозяйство и отрасли промышленной переработки полученной продукции. Новейшие научно-технические достижения позволяют поднять эффективность труда во всех отраслях комплекса.
1.
3 Понятие и виды земельной ренты.
Прежде чем обратиться к исследованию земельной ренты необходимо определить некоторые категории, без которых анализ этого вида доходов был бы затруднителен.
Землевладение - есть признание права физического или юридического лица на определенный участок земли на исторически сложившихся основаниях, чаще всего под землевладением подразумевается собственность на землю.
Землепользование - это пользование землей в установленном обычаем или законом порядке. Пользователь земли не обязательно является ее собственником. В обычном понимании - это арендатор. В реальной хозяйственной жизни субъектов землевладения и землепользования нередко олицетворяют разные лица.
Рента - это регулярно получаемый доход с капитала, имущества или земли, не требующий предпринимательской деятельности. Экономисты используют термин "Рента" в более узком значении: экономическая рента - это цена, уплачиваемая за использование земли и других природных ресурсов, количество (запасы) которых строго ограничено. Именно уникальные условия предложения земли и других природных ресурсов - их фиксированное количество - отличает рентные платежи от заработной платы, процента и прибыли. Где бы практически не использовалась земля, ее предложение остается неизменным. В отличие от всех обычных средств производства, которые под воздействием спроса изготовляются в нужном количестве, земля не создается людьми, ее количество ограничено. В хозяйственном обороте любого государства ее столько-то - и ни гектаром больше. Фиксированный характер предложения земли означает, что спрос выступает единственным фактором, определяющим земельную ренту. Если спрос на землю близок к нулю, то и земельная рента будет равна нулю. Изменение величины ренты не оказывает никакого влияния на количество имеющейся земли. Исторически сформировались определенные формы собственности на землю. В большинстве государств она находится в частной собственности, и исходным условием для образования ренты является ее аренда.
Аренда земли - это вид землепользования, при котором собственник передает свой участок на определенный срок другому лицу (арендатору) для ведения хозяйства. В арендном договоре предусматривается плата собственнику - арендная плата.
Аренда земли возникла вместе с появлением рабовладельческого общества и до сих пор остается основной формой крестьянского землепользования в слаборазвитых странах. При капитализме получила распространение предпринимательская аренда, при которой предприниматель вкладывает в землю собственный капитал с целью получения прибыли и ведет хозяйство с использованием наемного труда. Такая аренда распространена в США, Великобритании, Франции, Бельгии и многих других государствах.
На протяжении всего ХХ столетия наблюдается тенденция к соединению земельного собственника и предпринимателя в одном лице. Однако и при этом рентные отношения не исчезают. В стоимость продукции сельского хозяйства включаются наряду с материальными затратами, зарплатой, нормативная прибыль и плата за землю (рента) как за собственный производительный ресурс, вовлеченный в производство.
Специалисты давно утверждают, что всякая земельная рента есть не заработанный доход, ибо земля является бесплатным даром природы и не требует никаких затрат на ее производство. Земля, по их утверждению, должна находиться в собственности государства.
В СССР земля была национализирована и предоставлена на условиях аренды (на вечное пользование) колхозам, совхозам, многочисленным предприятиям, организациям и лицам. Арендодателем выступало государство, но это не повлекло за собой ликвидации рентных отношений. Через систему налогов и цены на сельскохозяйственную продукцию, государство изымало значительную часть доходов колхозов, совхозов и граждан.
Рентные отношения складываются между собственниками земли и арендатором по распределению дохода. Одна его часть - в виде обычной прибыли - присваивается предпринимателем, а другая передается земельному собственнику. Рента - это излишек (сверхприбыль) над обычной средней прибылью предпринимателя-арендатора.
Рентные отношения исследовались крупнейшими экономистами (А. Смит, Д. Рикардо, К. Маркс, А. Маршалл и др.) и несмотря на различие подходов и взглядов, все они подчеркивали неоднородность качества различных земельных участков.
Арендная плата за землю, как правило, бывает больше ренты, она учитывает, кроме того, процент на капитал, вложенный в имущество землевладельцами. Это могут быть жилые и хозяйственные постройки, ирригационные сооружения, средства связи и т.д. Величина арендной платы - это продукт конкурентных торгов двух сторон: земельного собственника и арендатора.
Виды земельной ренты
Если хозяйствующий субъект и собственник персонифицированы в одном и том же лице, то со средних и лучших земель владелец урожая, продав продукцию, получит избыточную прибыль. В случае, когда субъект ведет хозяйство на земле, арендуемой у собственника, эта дополнительная прибыль трансформируется в ренту и присваивается земельным собственником. Данная рента называется дифференциальной
. Она получается с лучших и средних земель и по своей величине дифференцирована в зависимости от плодородия почвы.
Различные земельные участки значительно отличаются по производительности. При равных затратах труда и капитала выход продукции с единицы земельной площади будет неодинаков. Разница в продуктивности земель происходит главным образом из-за различий в плодородности почвы и таких климатических факторов, как осадки и температура. Различаются лучшие (I), средние (II) и худшие (III) участки земли. Рассмотрим это на примере (Таблица 1).
Таблица 1. – Условия образования дифференциальной ренты I и II
| Участки земли |
Затраты капитала |
Средняя норма прибыли |
Индив. цена произ. всей продукции |
Урожай пшеницы (тн) |
Индивид. стоим. 1 тн |
Общественная цена произ. 1 тн |
Выручка от продаж всей продукции |
Сверх прибыль |
| I |
100 |
20% |
120 |
6 |
20 |
30 |
180 |
+60 |
| II |
100 |
20% |
120 |
5 |
24 |
30 |
150 |
+30 |
| III |
100 |
20% |
120 |
4 |
30 |
30 |
120 |
С лучшего земельного участка получено 6 тонн пшеницы и индивидуальная цена производства 1 тонны составила 20 долларов. При урожае в 5 тонн индивидуальная цена производства 1 тонны со второго участка равна 24 доллара. Самая дорогая пшеница получена на худшем участке - 30 долларов за тонну. Возникает вопрос, по какой цене будет продаваться пшеница на рынке? Если бы это касалось какого-либо промышленного изделия, то механизм конкуренции привел бы к установлению усредненной рыночной цены. Предприниматель, занятый на третьем предприятии потерпел бы банкротство.
Сельскохозяйственных продуктов с одних только лучших и средних по качеству земель недостаточно для удовлетворения общественных потребностей в них. В результате возникают особые условия образования цен на зерно и другую продукцию: общественная цена производства за единицу складывается по условиям ее производства на худших землях. Поэтому предприниматели, при условии получения обычной (средней) прибыли, берут в аренду и самые худшие земельные участки. А поскольку фермеры продают продукцию по единым рыночным ценам, то ведение хозяйства на лучших и средних землях обеспечивает получение дополнительной (к средней) прибыли, или сверхприбыли. Эта разница между общественной ценой, отражающей повышенные производственные затраты на худших участках, и индивидуальной ценой единицы продукции, складывающейся на более лучших по качеству землях.
Точно также сверхприбыль возникает и из-за различий в расположении земель. Одни земельные участки стратегически выгодно расположены по отношению к рынкам сбыта, к транспортным средствам, к наличию рабочей силы и потребителям продукции. Другие отдалены от всего этого, поэтому себестоимость продукции у них будет выше. Рыночная, общественная цена (опять-таки в силу ограниченности лучших земель) будет включать в себя затраты по доставке продукции к потребителю с отдаленных участков, вследствие чего выгодно расположенные участки будут обеспечивать дополнительную прибыль.
Таким образом, ограниченность, неэластичность предложения земли является важнейшей причиной особенностей ценообразования в сельском хозяйстве. А дифференциальная рента - это доход, полученный в результате использования ресурсов (с неэластичным предложением), более высокой производительности в ситуации ранжирования этих ресурсов по плодородию и местоположению.
Рассмотрим на графике механизм получения дифференциальной ренты.

Рис. 4 Дифференциальная рента
Собственники лучшей земли за каждый гектар будет получать ежемесячную дифференциальную ренту R1
. Собственники средней земли – ренту R2
. Дифференциальная рента с худшей земли будет равна 0.
Для упрощения понимания графика предполагается, что количество худшей, средней и лучшей земли одинаково. Аналогично выглядит на графике дифференциальная рента по положению.
Дополнительные вложения капитала приведут к росту эффективности производства и соответственно к более высокой отдаче, к росту ренты. Для лучших земель дифференциальная рента II повысится до R’1
. В случае, если добавочные вложения капитала приведут к общему падению эффективности сельскохозяйственного производства, говорят о снижающейся дополнительной отдаче. Рента с лучших земель соответственно снизится до R”1
. В случае, если добавочные, вложения капитала не изменит эффективности, дополнительная отдача будет постоянной. И рента с лучших земель останется на уровне R1
.
Земельные собственники прекрасно осведомлены о качестве принадлежащих им земель. Поэтому вся сверхприбыль (над средней прибылью арендатора) достается им в виде дифференциальной ренты. В арендном договоре сразу же предусматривается соответствующая арендная плата.
Арендатор в течение установленного срока аренды стремится повысить экономическое плодородие земли: применяет новые технологии, вносит удобрения, проводит мелиорацию и другие агротехнические мероприятия. Такие меры (интенсификация производства) увеличивают выход продукции с единицы площади и повышают эффективность дополнительных капитальных затрат. Продавая продукцию по рыночной цене, фермер также получает сверхприбыль, вытекающую из более высокой производительности добавочных вложений капитала в землю. Эта сверхприбыль до окончания срока аренды присваивается арендатором и служит для него стимулом для нововведений. При перезаключении договора аренды на новый срок землевладелец учтет, что его земля "облагорожена" дополнительными капиталовложениями, стала более продуктивной и повысит ставку арендной платы на величину дополнительной сверхприбыли. Таким образом, дифференциальная рента бывает двух видов.
На пути второго вида дохода есть определенные преграды. Человек может воздействовать на плодородие земли, но подобное воздействие не безгранично. Рано или поздно наступает время, когда дополнительная отдача, получаемая от дополнительного приложения труда и капитала к земле, сократится настолько, что перестанет вознаграждать человека за его прилежание. Применительно к земле действует закон убывающей отдачи или убывающей доходности. Этот закон можно сформулировать следующим образом: "Каждое приращение капитала и труда, вкладываемых в обработку земли, порождает, в общем, пропорционально меньшее увеличение количества получаемого продукта, если только указанное приращение не совпало по времени с усовершенствованием агротехники".
Передача в аренду худших земель также приносит ренту. Эта рента называется абсолютной
. Так как она получается абсолютно со всех земельных участков и абсолютно одинаковой величины, если размеры земельных участков одинаковы.
Абсолютная рента –
это рента, которую получают все собственники земли, сдающие ее в аренду землепользователям.
Абсолютная рента определяется по следующей формуле (3):
Абсолютная рента = рыночная цена - общественная цена
сельскохозяйственной цена производства (3)
продукции (средняя)
Таблица 2 – Образование абсолютной ренты
| Среднее органическое строение 100 единиц капитала (К) |
Масса прибавочной стоимости (при m’=100%; долл.) |
Средняя норма прибыли, % |
Цена производства, долл. |
Стоимость продукции, долл. |
Разница между стоимостью и ценой производства, долл. |
Абсолютная рента, долл. |
| В промышленности 80с+20v (4:1) |
20
|
20
|
120
|
120
|
-
|
-
|
| В сельском хозяйстве 60с+40v (1,5:1) |
40
|
20
|
120
|
140
|
20
|
20
|
Где:
V – переменный капитал (зарплата),
C – постоянный капитал (стоимость основных средств и предметов труда),
m’ – масса прибавочной стоимости;
К – органическое строение капитала.
В соответствии с теорией К. Маркса, вся масса прибавочной стоимости создается только одним фактором производства – трудом, поэтому в промышленности масса прибыли предпринимателя и составляет 20 долл. (4):
m’ = средняя норма прибыли = v = 20 долл. (4)
В сельском хозяйстве масса прибавочной стоимости также равна переменному капиталу, который в силу специфических особенностей сельского хозяйства, в 2 раза больше, чем в промышленности и составляет 40 долл. И распределяется между земельным собственником в виде ренты – 20 долл. И средней нормы прибыли предпринимателя – 20 долл. (5):
m’ = средняя норма прибыли + рента (5)
Таким образом, в соответствии с данными таблицы 2 можно констатировать, что в силу различий в органическом строении капитала , в промышленности абсолютной ренты нет, а в сельском хозяйстве она составляет 20 долл.
Абсолютная рента в зависимости от спроса может изменяться.
Глава 2 Рынок земли РФ: проблемы и перспективы
2. 1 Особенности формирования земельных отношений и рынка земли в России
В России в девятнадцатом веке земельные отношения развивались весьма ускоренными темпами. Тогда в России можно было усмотреть как феодальные, так и капиталистические отношения. Существовало множество форм собственности и землевладения. Правовое регулирование земель, зачастую находившихся по соседству, но принадлежащих разным ведомствам, происходило разными отраслями права. Так, например земли казарм, транспорта и крепостей регулировались нормами административного или полицейского законодательства; церковные, монастырские, удельные и частновладельческие нормами феодально-сословного права, а городские земли нормами гражданского права. На этом этапе исторического развития можно было сказать, что рынок земли касался более или менее состоятельных слоев населения, да и только в той её части, где дело касалось уплаты суммы при покупке или продаже земли. Но положение резко изменилось после провозглашения манифеста 19 февраля 1861 году, в котором было объявлено, что крестьяне освобождаются от крепостной зависимости и наделяются землёй. В это время крестьяне узнали, что такое плата за землю, потому что они получили землю не в собственность, а только в пользование, хотя оно и было пожизненным. Крестьяне работали на своих наделах и платили помещику земельную ренту, кто деньгами, кто продуктами, а кто работал на помещика, только за то чтобы остаться на своей земле.
Рынок земли является неотъемлемой частью экономики любого развитого государства. В развитых странах принимаются законы, которые стоят на защите любых прав собственности, в том числе и земельной.
1.1 Объекты земельных отношений
Объектами земельных отношений являются:
-земля как природный объект и природный ресурс;
-земельные участки;
-части земельных участков.
Согласно действующему российскому земельному законодательству земельный участок как объект земельных отношений — часть поверхности земли (в том числе почвенный слой), границы, которой описаны и удостоверены в установленном порядке (статья 6 ЗК РФ).
Земельный участок может быть делимым и неделимым. Делимым является земельный участок, который может быть разделен на части, каждая из которых после раздела образует самостоятельный земельный участок, разрешенное использование которого может осуществляться без перевода его в состав земель иной категории, за исключением случаев, установленных федеральными законами.
1.2. Участники земельных отношений
В соответствии с действующим российским земельным законодательством (статья 5 ЗК РФ) участниками земельных отношений являются граждане, юридические лица, Российская Федерация, субъекты Российской Федерации, муниципальные образования.
Права иностранных граждан, лиц без гражданства и иностранных юридических лиц на приобретение в собственность земельных участков определяются в соответствии с Земельным Кодексом РФ и федеральными законами.
Для целей земельного законодательства используются следующие понятия и определения:
собственники земельных участков
— лица, являющиеся собственниками земельных участков;
землепользователи
— лица, владеющие и пользующиеся земельными участками на праве постоянного (бессрочного) пользования или на праве безвозмездного срочного пользования;
землевладельцы
— лица, владеющие и пользующиеся земельными участками на праве пожизненного наследуемого владения;
арендаторы земельных участков
— лица, владеющие и пользующиеся земельными участками по договору аренды, договору субаренды;
обладатели сервитута
— лица, имеющие право ограниченного пользования чужими земельными участками (сервитут).
1.3. Состав земель в Российской Федерации
Земли в Российской Федерации по целевому назначению подразделяются на следующие категории:
-земли сельскохозяйственного назначения;
-земли поселений;
-земли промышленности, энергетики, транспорта, связи, радиовещания,
телевидения, информатики, земли для обеспечения космической деятельности, земли обороны, безопасности и земли иного специального назначения;
-земли особо охраняемых территорий и объектов;
-земли лесного фонда;
-земли водного фонда;
-земли запаса.
Земли в Российской Федерации используются в соответствии с установленным для них целевым назначением. Правовой режим земель определяется исходя из их принадлежности к той или иной категории и разрешенного использования в соответствии с зонированием территорий, общие принципы и порядок проведения которого устанавливаются федеральными законами и требованиями специальных федеральных законов. Любой вид разрешенного использования из предусмотренных зонированием территорий видов выбирается самостоятельно, без дополнительных разрешений и процедур согласования.
В местах традиционного проживания и хозяйственной деятельности коренных малочисленных народов Российской Федерации и этнических общностей в случаях, предусмотренных федеральными законами, законами и иными нормативными правовыми актами субъектов Российской Федерации, нормативными правовыми актами органов местного самоуправления, может быть установлен особый правовой режим использования земель указанных категорий.
1.4. Отнесение земель к категориям, перевод их из одной категории в другую
Отнесение земель к категориям, перевод их из одной категории в другую осуществляются в отношении:
-земель, находящихся в федеральной собственности, Правительством
Российской Федерации;
-земель, находящихся в собственности субъектов Российской Федерации, и
земель сельскохозяйственного назначения, находящихся в муниципальной собственности, — органами исполнительной власти субъектов Российской Федерации;
-земель, находящихся в муниципальной собственности, за исключением земель
сельскохозяйственного назначения, — органами местного самоуправления;
-земель, находящихся в частной собственности:
-земель сельскохозяйственного назначения — органами исполнительной
власти субъектов Российской Федерации;
-земель иного целевого назначения — органами местного самоуправления.
Порядок перевода земель из одной категории в другую устанавливается федеральными законами.
Категория земель указывается в:
1) актах федеральных органов исполнительной власти, актах органов исполнительной власти субъектов Российской Федерации и актах органов местного самоуправления о предоставлении земельных участков;
2) договорах, предметом которых являются земельные участки; 3) документах государственного земельного кадастра;
4) документах о государственной регистрации прав на недвижимое имущество и сделок с ним;
5) иных документах в случаях, установленных федеральными законами и законами субъектов Российской Федерации.
Нарушение установленного Земельным Кодексом РФ, федеральными законами порядка перевода земель из одной категории в другую является основанием признания недействительными актов об отнесении земель к категориям, о переводе их из одной категории в другую
Земельный рынок - одна из самых прибыльных статей доходов бюджета
многих государств. В этот нелегкий для нашей страны период, когда в государстве растут внутренние и внешние задолженности, спад производства, увеличение безработицы и ухудшение уровня жизни населения, развитие рынка земли могло бы стать дополнительным источником бюджетных поступлений.
2.
2
Проблемы рынка земли и земельных отношений в России
Многовековая практика свидетельствует о том, что главными источниками жизнеспособности и процветания любого государства являются принадлежащие ему земельные ресурсы и проживающее на них население. При этом под земельными ресурсами следует понимать не только территорию (пространство) государства, но и все, что находится "над" и "под" этим пространством, включая агроклиматические условия и их биопотенциал. Богатство государства определяется инфраструктурой и эффективностью использования ресурсов земли, профессиональной подготовленностью и культурным уровнем населения.
Во что оценивается земельно-ресурсный потенциал России, включая все "над" и "под"? Это 1709 млн. гектаров земли (12,5% мировой территории) и 420 млн. гектаров континентального шельфа. На территории России сосредоточено 55% черноземных почв мира, 50% запасов пресной воды и 60% запасов древесины хвойных пород, что в сумме оценивается в 30 триллионов долларов США. Разведанные запасы энергоносителей, которые находятся в земле России, составляют около 30% мировых запасов и оцениваются по существующим мировым ценам, которым свойственна тенденция постоянного роста, в 35 триллионов долларов США. Емкость территориального пространства России по биоклиматическому потенциалу для нормальной жизни составляет 1,0-1,3 млрд. человек. Территория России отличается уникальной инфраструктурой, созданной многими поколениями людей. В мире только на пространствах России имеются огромные ареалы земель, никогда не подвергавшихся природным катаклизмам (землетрясения, затопления, ураганы, засухи и т.п.). Вся эта уникальность российских земель исторически вызывала огромный интерес ее ближних и дальних соседей, вот почему на протяжении многих столетий и особенно в конце ХХ века извне предпринимаются огромные усилия, чтобы ослабить Россию, расчленить ее территорию. Сегодня это делается "мирными" путями, а завтра возможно и "военными", под предлогом защиты чьей-то собственности или чьих-то прав. История говорит о том, что практически все многочисленные войны имели своей целью завоевание земель с их ресурсами, а не объектов недвижимого имущества, которые, как правило, во время боевых действий всегда уничтожаются.
Сопоставляя тенденции развития землепользования в мире и в России, мы наблюдаем как бы противоположные тенденции. В мире пространства, пригодные для жизни, все больше перенаселяются, дефицитными становятся воздух и вода, землю для застройки многие страны отвоевывают у моря, растет нагрузка на плодородную землю. В России же, многие территории пустуют, население страны стремительно сокращается, качество жилищных условий, здравоохранения, бытовых услуг, социального страхования, доходов ухудшается. В ближайшие 25 лет в России нельзя ожидать естественного роста населения.
При сохранении сложившихся за годы реформ тенденций демографического и экономического развития, в России очень скоро возникнут серьезные проблемы с удержанием ее территориального пространства. Реальностью является то, что по значительной части периметра государственных границ России обитают народы с быстро растущим населением, поэтому пустующие российские земли естественным образом могут стать объектом миграции их населения.
Противостоять таким процессам можно только путем оздоровления экономической ситуации в России вообще и на восточных ее землях в частности. Сбережение российской земли и должно стать главной национальной идеей XXI века для народов, проживающих на этой огромной территории.
В соответствии с Конституцией РФ за последние 10 лет XX века на территории России практически созданы основы нового земельного строя: ликвидирована государственная монополия на землю, осуществлен переход к многообразию форм земельной собственности; проведено бесплатное перераспределение земли в пользу граждан; введено платное землепользование; основная часть сельскохозяйственных земель передана в частную собственность; земли лесного фонда, природоохранные и другие наиболее ценные земли находятся в государственной собственности; выполнены значительные объемы земельно-кадастровых работ; созданы объективные условия для оборота земли.
Изучение качественного состояния земель в России показывает, что темпы их деградации прогрессируют. За последние 25 лет площадь кислых почв увеличилась на 32,1 млн. гектаров, в том числе пашни - на 21,5, площадь земель, подверженных водной эрозии - на 28,4, засоленных - на 12,0, содержащих солонцовые комплексы - на 13,9, заболоченных и переувлажненных - на 20,0, заросших кустарником и мелколесьем - на 10,5 млн. гектаров. Содержание гумуса в почвах России снизилось в среднем на 20%. Принимаемые меры по повышению плодородия земель носят эпизодический характер, поэтому в девяностых годах практически прекратился прирост ценных высокопродуктивных сельскохозяйственных угодий.
Низкое плодородие земель и их мелиоративная неустроенность, огромные масштабы и интенсивность деградации почв обусловливают ежегодно недобор 37-45 млн. тонн сельскохозяйственной продукции в пересчете на зерно. Главными причинами сложившегося положения является продолжающееся бесхозяйственное отношение к земле, резкое сокращение в последние годы инвестиций в химизацию, мелиорацию и противоэрозионные мероприятия, слабая материально-техническая оснащенность, разрушение государственных земельных служб, ответственных за повышение плодородия почв.
В проведении реальной российской земельной политики важная роль принадлежит государству. В связи с этим вырисовывается несколько крупных проблем, требующих безотлагательного государственного рассмотрения. В первую очередь необходимо в короткий срок принять Земельный кодекс Российской Федерации. Земельный кодекс - это базовый рамочный законодательный акт, который в любом государстве мира, как правило, занимает свое место после Конституции и Гражданского кодекса. В Российской Федерации уже пять лет принятие Земельного кодекса блокируется. В итоге на сегодняшний день в стране отсутствует цельная система земельного законодательства. Значительная часть действующих земельных правовых норм устарела и исчерпала себя, многие нормы носят противоречивый характер. Идет растаскивание земельных правовых норм по другим законодательным актам (Лесной кодекс, Градостроительный кодекс, Водный кодекс, федеральные законы "О сельскохозяйственной кооперации", "О недрах" и другие). Особенно недопустимая обстановка сложилась с муниципалитетами, которые начали активно брать на себя функции государства в области земельных отношений.
Принятие Земельного кодекса позволит ликвидировать противостояние между законодательными и исполнительными федеральными органами государственной власти, между федеральными и региональными органами власти, ввести в действие главу 17 Гражданского кодекса Российской Федерации, в полном объеме применять иные федеральные законы, в которых по вопросам владения, пользования и распоряжения земельными участками сделаны отсылочные нормы к Кодексу.
Еще одна серьезнейшая проблема, стоящая перед государством, заключается в необходимости преобразования сельскохозяйственного землепользования на основе требования самодостаточного производства продовольствия. В начале века Россия была крупным экспортером зерна, масла, мяса, но, как справедливо отмечал видный русский ученый Д.И.Менделеев, наш хлебный экспорт был функцией нашей промышленной отсталости, а не земледельческого прогресса. В 1911 году из 72 млн. тонн произведенного зерна 14 млн. тонн было продано за границу. В том же году в стране голодало около 30 млн. человек. В 1909-1913 гг. Россия производила на душу населения всего лишь 450 кг зерна, тогда как Швеция - 490, Бельгия - 660, Дания - 850, а США - почти 1100 кг. Получая мизерные урожаи зерна, в пределах 6-8 ц с гектара, страна экспортировала продовольствие за счет недоедания многих миллионов населения.
Основной задачей аграрной реформы в России в девяностые годы явились приватизация земли и реорганизация колхозов и совхозов с целью формирования эффективного сельскохозяйственного производства на основе частной собственности на землю и личной предприимчивости производителей сельскохозяйственной продукции.
Серьезной проблемой является резкое сокращение объемов работ по улучшению земель. Площадь орошаемых земель с 1990 по 2000 год сократилась более чем на 30%, а осушенных - на 60 %. Истощающее почву использование земель привело к резкому сокращению урожайности сельскохозяйственных культур.
Сегодняшняя сложная ситуация в сельской местности России - результат крупных просчетов последних десятилетий, и особенно последнего десятилетия, как в народнохозяйственной экономической политике в целом, так и в аграрных вопросах в частности.
Главная причина слабой эффективности сельскохозяйственного землепользования России кроется в запущенности материальной базы, то есть отсталости нашей промышленности, и эта отсталость, наряду с организационной неразберихой реформирования сельского хозяйства, огромным ростом цен на ресурсы, сегодня давит на производительность труда крестьян, на плодородие почв, на продуктивность полей и ферм, на количество и качество отечественного продовольствия, поступающего на рынок.
В последние 5-6 лет главное внимание в нашей стране уделялось частным вопросам регулирования земельных отношений (фермерство, реорганизация колхозов и совхозов, наделение землей граждан, сбор мизерного земельного налога, разговоры о создании кадастра и т.п.).
Фактически земельные ресурсы (под завесой этих разговоров) перешли в распоряжение администраций субъектов Российской Федерации, а вопросы их отвода и перераспределения решали в основном руководители бывших поссоветов, сельсоветов и районов.
Пользуясь тем, что земли государственной собственности России до сих пор не разграничены на земли федерального значения и земли субъектов Российской Федерации, сырьевые и естественные монополии, нефтяные компании и другие отрасли и предприятия фактически пользуются федеральными землями бесплатно и таким образом присваивают земельную ренту, которая является общенародным достоянием. В этой связи заслуживает внимания еще одна проблема современного землепользования. В частности, по оценкам экономистов, из страны за рубеж ежегодно вывозится до 20 млрд. долл., причем подавляющая часть этих средств приходится на ресурсные (рентоиспользующие) отрасли, связанные с землей. Подобные потери, идущие фактически из бюджета страны, стали возможными из-за грубейших ошибок приватизации, связанных с передачей ренты, которая по праву принадлежит государству, недропользователям и сопутствующим им посредникам. Государственная справедливость в этом деле должна быть немедленно восстановлена, даже если для этого потребуется пересмотреть в рамках законодательства итоги приватизации в ресурсных отраслях и отраслях, использующих землю как пространство. Налогооблагаемый потенциал земли и природных ресурсов должен принадлежать российскому государству, так как только он может быть источником покрытия бюджетных расходов.
Реализация на пороге XXI века земельных преобразований в России включает три ключевых направления: 1) реформирование отношений собственности на землю; 2) учет и стоимостная оценка на рентной основе земельно-ресурсного потенциала в составе национального богатства страны и постановка его на государственный баланс; 3) организация эффективного управления земельными ресурсами страны как национальным достоянием, всеобщим пространственным базисом народного хозяйства и главным средством производства в сельском и лесном хозяйстве, вне зависимости от форм собственности. Имеющийся у России огромный земельноресурсный потенциал, решение указанных проблем позволят выдвинуть нашу страну на главное и решающее направление в решении сложных проблем глобального масштаба (экология, продовольствие, сырье, пространство).
2. 3 Зарубежный опыт регулирования рынка земли и земельных отношений и возможность его применения в РФ
В настоящее время имущественно-земельные отношения формируются под воздействием рыночных механизмов. Поэтому для успешного ведения дел и эффективного управления недвижимостью становится важным знание зарубежного опыта, мировой практики в этой области.
Изучение зарубежного опыта позволяет выделить три основных типа организации имущественно-земельных отношений, реализуемых в крупных городах различных стран мира.
Первый тип - это политика местных властей в условиях доминирования муниципальной собственности на землю, основанная на использовании преимущественно арендных методов регулирования. Такую политику проводят в Финляндии, Швейцарии, Канаде, Индии и других государствах, где главными субъектами земельных отношений являются городские муниципалитеты, на которых как на крупнейших владельцах и распорядителях земли лежит основная ответственность за справедливый и эффективный отвод земель и регулирование правового положения недвижимости в городских границах.
Второй тип - это политика, реализуемая при наличии достаточно свободного рынка городских земель, связанная с использованием менее жестких инструментов регулирования объектов недвижимости (рыночная стоимость, налоги). Здесь речь может идти о городах Испании, Португалии, Греции, Кипра, где регулирование имущественно-земельных отношений основывается на привлечении инвестиций в недвижимость, в том числе иностранных, что положительным образом влияет на экономику городов.
Третий тип организации управления недвижимостью можно назвать смешанным, т.е. комбинирующим элементы первых двух типов. Такую политику проводят в США, ФРГ, Великобритании, Италии.
Рассмотрим, например, опыт Финляндии, где считается, что с точки зрения рационального ведения городского хозяйства в собственности муниципальных властей должно быть как можно больше городской недвижимости и земли. Во всех городах страны, включая столицу - г. Хельсинки, в собственности города находятся улицы, парки, зеленые зоны и участки, на которых расположены объекты общественного назначения. В муниципальной собственности Хельсинки находится более 60% всей городской территории. В случае большого дефицита бюджета городские власти могут выставлять участки земли на продажу.
В г. Хельсинки и многих других городах земельные участки передают в пользование исключительно путем их сдачи в аренду. Для городского бюджета это постоянный и стабильный источник дохода. Срок аренды устанавливается в зависимости от целевого назначения земли: под жилье - до 60 лет; под промышленное строительство и склады - до 30 лет; для коммерческих целей - от 30 до 60 лет. Размер арендной платы определяется в зависимости от так называемой капитальной, или оценочной, стоимости участка. Для участков, используемых под жилье, арендная плата составляет 4% стоимости участка, т.е. примерно 50 долл. (США) за 1 кв. м в центре города (в пригороде эта сумма наполовину меньше), для участков производственного и коммерческого назначения - 5% стоимости участка. Налог на недвижимость в Финляндии составляет 1,2% оценочной стоимости.
Кроме того, размер арендной платы привязывается к индексу стоимости жизни, чем обеспечивается рентабельность в условиях инфляции. При этом в первые пять лет повышение арендной платы осуществляется в 50%-ном размере. В договоре аренды муниципалитет точно оговаривает план застройки и сроки ее осуществления (обычно 2 - 8 лет). Арендатор имеет право передать свое право на аренду третьему лицу без согласования с городскими властями. По окончании срока аренды у арендатора имеется преимущественное право на продление договора, если же муниципалитет отказывает в продлении договора, то он обязан компенсировать арендатору 60% оценочной стоимости возведенных на участке строений, после чего они переходят в муниципальную собственность.
В Канаде в соответствии с Конституцией собственниками земель являются федеральное правительство, провинции и муниципалитеты, которые распоряжаются около 90% земельного фонда страны. Городские земли являются в основном собственностью муниципалитетов, которые извлекают доход от сдачи в аренду и продажи земельных участков. Арендные платежи определяются процентной ставкой от стоимости недвижимости. Например, средняя цена трехкомнатной квартиры в центре г. Торонто составляет 350 тыс. долл., арендная плата в месяц - 1200 долл. Налоги на недвижимость взимаются муниципалитетами Канады, которые совершенно самостоятельны в этом вопросе. Также облагается налогом (гербовым сбором) и передача недвижимости при совершении купчей. Налоги составляют 0,5 - 1% стоимости земельного участка или другого объекта недвижимости. Муниципалитеты устанавливают сборы на застройку своей территории, исходя из стоимости земли; не менее 5% суммы этих сборов направляется на благоустройство мест общего пользования.
Оценка собственности - основная функция муниципальных властей, что связано с необходимостью соблюдения в провинции единого подхода к методам оценки. В бюджете столицы Канады г. Оттаве земельные платежи составляют более 30%.
В Швейцарии, где реализуется также первый тип имущественно-земельной политики, приобретение недвижимости осложнено рядом законов, например, на приобретение объектов недвижимости существуют даже квоты (2 тыс. участков ежегодно). Поэтому всего лишь 18% городских земель находится в частной собственности, остальные земли арендуются у местных органов власти. Инвестиции в недвижимость затруднены, так как в стране запрещена спекуляция на объектах недвижимости: существует закон, не позволяющий перепродавать объекты недвижимости, включая незастроенные участки, по более высокой цене в течение двух лет.
Швейцария и Скандинавские страны относятся к числу наиболее экономически развитых и политически стабильных государств мира, что играет немаловажную роль в повышении рейтинга этих стран на рынке недвижимости. За последние три года общее количество квартир и вилл, проданных в Швейцарии и Норвегии иностранцам, увеличилось более чем в 2,5 раза. В странах, где реализуется второй тип политики регулирования имущественно-земельных отношений, предпочтение отдается купле-продаже недвижимости.
Например, в столице Португалии г. Лиссабоне сугубо рыночный механизм дополнен рядом достаточно жестких ограничений и условий, весьма надежно гарантирующих соблюдение интересов города и муниципальных властей. Приобретая земельный участок в собственность, владелец в соответствии с требованиями закона обязуется создать на участке необходимую социальную инфраструктуру. Если земля приобретается для строительства предприятий, то речь может идти о жилых домах, детских садах, школах, парках, супермаркетах и т.п. Определенные отчисления должны быть сделаны на охрану окружающей среды, развитие здравоохранения и культуры. Продажа муниципальной земли и недвижимости осуществляется только на открытых аукционах, которые контролируются членами муниципалитета. Окончательное решение о продаже принимает председатель муниципалитета. Налог на недвижимость составляет около 1% стоимости объекта.
Имущественно-земельная политика большинства высокоразвитых зарубежных государств относится к третьему типу. Например, в США основным средством осуществления городской политики в области недвижимости является купля-продажа. Большинство покупателей приобретают недвижимость в кредит, внося 20% продажной цены и выплачивая оставшуюся часть в течение 25 - 30 лет при ставке кредита 7% годовых.
Национальная политика поощряет индивидуальное землепользование и приобретение недвижимости путем сокращения федеральных налогов для землевладельца, чтобы помочь ему выплатить ссуду за дом. Земля Вашингтона принадлежит федеральным органам власти, что обусловлено концентрацией в городе основных управленческих структур. Лишь 25% территории Вашингтона находится в частной собственности, причем половина этой земли была продана частным владельцам еще в XIX в.
Цены на землю регулируются только спросом и предложением, и, разумеется, желанием и интересом покупателя. В США практически любой участок земли - от маленькой фермы в штате Айова до Центра мировой торговли в Нью-Йорке - может быть продан за сумму, на которой сойдутся продавец и покупатель. Например, в Нью-Йорке (Манхэттен) участок земли в 1 га стоит 120 - 150 млн. долл.
Частное владение недвижимостью вовсе не означает, что с землей можно делать все что угодно. Использование земель городов и штатов США регламентируется многими законами страны. Для осуществления генеральных планов развития города муниципалитеты получили право выкупать землю у частных владельцев, компенсируя им полную рыночную стоимость, даже против воли владельца. Затем эти земли продаются новому владельцу, согласному осуществлять планы муниципалитетов, причем обычно эта продажа совершается на льготных условиях.
Объекты недвижимости в США облагаются поимущественными налогами - штатным и местным. Многие штаты взимают поимущественные налоги, однако их значение как источника дохода невелико - менее 3%. Для местных налоговых систем поимущественный налог является наиболее значительным, его доля во всех поступлениях составляет около 50%. Через этот налог осуществляется возмещение городу той части "дифференциальной ренты", которой пользуются предприятия и люди, поселившиеся на его территории. Поимущественный налог заслуживает специального внимания не только потому, что является самым важным источником городских финансов, но и потому, что оказывает специфическое воздействие на градостроительство и землепользование, формирующие облик и структуру современных городов.
В каждом городе США все имущество в форме земли и "улучшений" (т.е. возведенных строений на ней) отмечается в специальной регистрационной книге и оценивается. Каждый год устанавливается местная налоговая ставка, по которой собственник платит налог в казну города, - определенный процент рыночной стоимости имущества. Оценка производится один раз в два-три года. Процентная ставка, определяемая местной администрацией через референдум, колеблется от 1 до 3%. Таким образом, органы местного самоуправления имеют возможность влиять на размер поступлений в бюджет, изменяя как налоговую ставку, так и уровень оценочной стоимости облагаемого имущества относительно рыночной. Изменение нормы оценки земельных пространств и повышение размера налоговой ставки в отдельных поселениях используют как средство "отпугивания" нежелательных групп жителей или видов деятельности.
В столице Норвегии г. Осло земельная политика муниципалитета строится на сочетании различных вариантов землепользования. Решение о приватизации городской земельной собственности могут принимать различные органы муниципальной власти и управления в зависимости от стоимости подлежащего реализации земельного участка. Закон четко устанавливает соответствующие уровни компетенции. Например, Совет старейшин принимает решение по участкам ценой 2 - 5 млн. крон, исполком - 1 - 2 млн. крон, глава администрации - до 1 млн. крон. Для продажи или аренды земельных участков города используются торги, на которых муниципальные власти ведут всю работу через риелторскую фирму, с которой заключено соглашение.
Города ФРГ взимают земельный налог с участков компаний и частных лиц. Ставка налога состоит из двух частей - основной, утверждаемой централизованно, и надбавки, величина которой определяется в зависимости от финансового положения местных органов управления. Основная ставка колеблется в пределах 0,31 - 0,6% балансовой стоимости земельного участка. Надбавка в среднем по стране составляет 1,2%. От налога освобождены госпредприятия, церкви, общественные организации. Льготы существуют для жилья (на первые 10 лет).
В Великобритании при достаточно свободном рынке земли крупнейшие города строят свои земельные отношения на основе аренды.
Срок аренды предусматривается до 99 лет. Рынок недвижимости переживает кризис, наблюдается падение цен в городах, но в то же время растут цены на недвижимость в пригородах. Оценка недвижимости производится раз в 10 лет и служит основой для расчета арендной платы и имущественного налога. В основе оценки лежит определение совокупного годового дохода от земельного участка. В Англии установлен всего один налог - поимущественный (с 1993 г. - муниципальный), величина которого поставлена в зависимость от рыночной стоимости имущества и числа взрослых членов семьи. Имущество классифицируется по одной из восьми оценочных категорий и затем облагается по дифференцированным ставкам налога. Расчет ставки налогообложения ведется, исходя из потребностей города в финансовых ресурсах.
Регулирование земельных отношений в РФ.
Определение и правовое положение органов, осуществляющих государственный контроль и государственное управление сельским хозяйством.
Под регулированием развития сельского хозяйства понимаются целенаправленное регулирование со стороны земельного законодательства на организацию хозяйственной деятельности коммерческих организаций в указанной сфере путем издания нормативных актов. Важнейшими инструментами такого регулирования являются закупочная, налоговая, ценовая, кредитная, страховая, внешнеэкономическая политика, т.е. преимущественно экономические методы.
Регулирование сельского хозяйства представляет собой сложную систему экономических, правовых, организационно-административных, научных мероприятий.
Предметом регулирования являются земельные отношения в производственно-хозяйственной, социальной и иных сферах деятельности сельскохозяйственных коммерческих организаций.
Специфику регулирования рыночных земельных отношений определяют:
во-первых, разнообразие природно-климатических факторов, которые требуют формирования системы правовых мер, направленных на защиту сельскохозяйственных производителей от риска, вызываемого стихийными обстоятельствами, — страхование сельскохозяйственного производства;
во-вторых, нестабильность цен на сельскохозяйственную продукцию, во многом зависящих от природных факторов, экономических условий сельскохозяйственного рынка, его конъюнктуры;
в-третьих, относительно слабая привлекательность инвестиций в сельскохозяйственное производство в силу продолжительности цикла производства.
Необходимость регулирования сельскохозяйственного производства обусловливается тем, что государство ответственно перед своими гражданами за создание им нормальных условий для жизни, обеспечение продовольствием и другими сельскохозяйственными товарами. Острый дефицит материальных и финансовых ресурсов, низкий технический уровень, слабая мотивация труда, нарушение межотраслевых связей, социальная отсталость деревни обусловливают необходимость государственной поддержки отрасли, которая самостоятельно не в состоянии выйти из надвигающегося кризиса.
Цель регулирования — преобразование сельского хозяйства в эффективную отрасль рыночной экономики; стабилизация агропромышленного производства; создание условий для нормального экономического функционирования производства, осуществления земельной реформы и прежде всего земельных преобразований, приватизации и разгосударствления; формирование структуры новых рыночных отношений, развитие предпринимательства. Регулирование земельных отношений обеспечивает и практикует сельскохозяйственным и агропромышленным коммерческим организациям выбор любой формы собственности и организации производства, свободу предпринимательской деятельности, самостоятельность хозяйствования и распоряжения сельскохозяйственной продукцией, а также полученными от се реализации доходами. В условиях современного положения в АПК государственное регулирование аграрных отношений способствует глубоким преобразованиям экономического, правового и социального характера
Итак, каждая страна разработала свою систему регионального регулирования отношений недвижимости. Вместе с тем можно выделить главные элементы, присущие практически всем странам: региональные и муниципальные власти играют решающую роль в вопросах землепользования на всех уровнях управления регионом; при всем многообразии систем управления власти отдают предпочтение аренде недвижимости по сравнению с ее продажей, т.е. стоят на позиции соблюдения интересов городов и регионов. Они регулярно проводят комплексную оценку муниципальных земель и недвижимого имущества. При этом земельные платежи и налоги на недвижимость основаны на фактической рыночной стоимости объектов недвижимости.
Заключение
Рассмотренные в рамках данной работы вопросы рынка земельных ресурсов и земельной ренты позволяют сделать следующие выводы:
1. Ограниченность земли как экономического ресурса приводит и к
ограниченности ее предложения на рынке. На уровень цен на землю влияет спрос на нее (как сельскохозяйственный, так и несельскохозяйственный).
2. Главной особенностью экономических отношений, связанных с
использованием земли как невоспроизводимого, ограниченного природного фактора, является существование земельной ренты.
3. Под рынком земли следует понимать не только куплю- продажу земли, но и
предоставление ее в аренду, а также весь рынок сельскохозяйственной продукции, на котором реализуются в той или иной форме отношения собственности на землю.
4. Специфика сельскохозяйственного производства определяется зависимостью
от природно-климатических условий, сезонным характером хозяйственной деятельности, недостаточно высокой концентрацией производства и особым укладом трудовой деятельности и жизни. По своему плодородию земли подразделяются на естественно-плодородные (определяемые природно-климатическими условиями) и экономически-плодородные (связанные с вложениями труда и капитала в землю).
5. Чтобы осуществлять хозяйственную деятельность, необходимо брать землю в
аренду у ее собственников. Плата за аренду земли называется рентой. Арендная плата может быть больше ренты на величину процента и амортизационных отчислений на вложенный капитал. Рента подразделяется на дифференциальную и абсолютную. В свою очередь дифференциальная рента выступает в форме ренты I и ренты II. Дифференциальная рента I связана с естественным плодородием почвы, дифференциальная рента II – с экономическим плодородием. Первая может быть получена только с лучших и средних участков земли, вторая – с любого участка земли. Абсолютная рента берется со всех земельных участков, так как изъятие дифференциальной ренты фактически уравнивает по плодородию лучшие и средние земельные участки с худшими.
6. В случае непосредственной продажи земли ее цена находится в прямой
зависимости от процентной ставки.
7. Что касается цены на сельскохозяйственную продукцию, формируемую с
учетом рентных платежей, то она складывается из следующих составляющих: издержек производства, средней прибыли, абсолютной ренты и дифференциальной ренты.
8. В основе механизмов формирования земельной ренты в РФ находятся
экономические отношения земельной собственности.
9. В современных условиях (переходной рыночной экономики) наибольшую
сложность представляют вопросы формирования научно обоснованной системы платы за землю, построения различных видов платы за землю на единой (рентной) основе, а также усиления взаимосвязи платы за землю с другими рыночными показателями.
10. Земельные отношения в РФ базируются на основных положениях и нормах,
закрепленных Конституцией РФ, Гражданским и Земельном Кодексами РФ. Земельный кодекс не смог пока решить всех проблем функционирования земельных отношений в условиях рынка. Необходимо дальнейшее улучшение и развитие земельного законодательства для совершенствования механизма вовлечения земель сельскохозяйственного назначения в товарно-денежный оборот и регулирования рентных отношений
Список литературы
1. Борисов Е.В. Экономическая теория: Учебник. [Текст] — М.: Юрайт-Издат, 2005. — 399 с.
2. Волович, Н. Земельная политика в промышленно развитых странах [Текст]/Н.Волович//Экономист. – 2003. – №9.
3. Земельны кодекс Российской Федерации. — М.: ГроссМедиа, 2006. — 80 с.
4. Земельный кодекс РФ №136 – ФЗ, 25.10.01 г.
5. Иохин, В. Я. Экономическая теория [Текст]: учеб. для вузов. – М.: Экономистъ, 2004. – 861с.
6. И.Липсиц. Экономика: учебник для вузов. [Текст] — М.: Омега-Л, 2006. — 656 с.
7. Кипельман, С. Экономика рентных отношений в условиях современной России [Текст]/С. Кипельман, С. Андрюшин // Вопросы экономики. – 2005 г. - №2.
8. Курс экономической теории: Учебник – 6-е исправленное, дополненное и переработанное издание. [Текст] – Киров: «АСА», 2009. – 848 с.
9. Курс Экономической теории. Общие основы. Микроэкономика. Макроэкономика./рук. авт. колл. А.В. Сидорович. [Текст] – М., 1997 – 736 с.
10. Микроэкономика. Теория и российская практика: Учебник для студентов вузов, обучающихся по экономическим специальностям и направлениям/под редакцией А.Г. Грязновой и А.Ю. Юданова. 2 изд. [Текст] – М.: ИТД «КноРус», «Издательство ГНОМ и Д», 2000. – 544 с.
11. Николайчук О.А. Современные аграрные отношения и проблемы земельной ренты. [Текст] — Псков, 2001. — 152 с.
12. Носова С.С. Экономическая теория: Учеб. для вузов. [Текст] – М.: Гуманит. изд. центр ВЛАДОС, 1999 – 520 с.
13. Нуреев Р.М. Курс микроэкономики: Учебник для вузов. [Текст] — М.: Норма, 2005. — 576 с.
14. Сажина М.А., Чибриков Г.Г. Экономическая теория. Учебник для вузов. [Текст] – М.: Издательство НОРМА, 2001. – 456 с.
15. Сельская экономика / под ред. С.В. Киселева.[Текст]– М.: Инфра – М, 2007. – 426 с.
16. Семенов В. А., Харченко Л. Л. Рынок земли и других природных ресурсов: Учебное пособие по дисциплине «Экономическая теория». [Текст] – Кемерово: КемИ РГТЭУ, 2003
17. Экономика: Учебник. / Под ред. А.И.Архипова, А.Н.Нестеренко, А.К.Большакова. [Текст] – М.:ПРОСПЕКТ, 1999. – 800 с.
18. Экономика: Учебник. 3-е изд., переработанное и дополненное / под редакцией д-ра экон. наук проф. А.С. Булатова. [Текст] – М.: Экономистъ, 2003. – 896 с.
19. Экономика. [Текст] – М.: Издательство «Вита-Пресс», 1996. – 320 с.
20. Экономическая теория. Учебник / Под ред. И. П. Николаевой. [Текст] – М.: «Проспект», 1998 – 448 с.
21. Экономическая теория [Текст]: учебник / под редакцией акад. В. И. Видяпина, А. И. Добрынина, Г. П. Журавлевой, Л. С. Тарасевича – М.: ИНФРА – М, 2000 г. – 714 с
22. Экономическая теория: Учебник. — Под общей редакцией академика В.И. Видяпина, А.И. Добрынина, Г.П. Журавлевой, Л.С. Тарасевича. [Текст] — М.: ИНФРА-М, 2006. — 672 с.
23. Экономическая теория [Текст]: учеб./В.И. Антипина, И.Э. Белоусова, Р.В. Бубликова; под ред. И.П. Николаевой. – 2-е изд., перераб. и доп. [Текст] – М.: ТК Велби, Изд-во Проспект, 2008. – 576 с.
Интернет ресурсы:
24. http://window.edu.ru [Электронный ресурс]
25. http://works.tarefer.ru[Электронный ресурс]
26. http://www.rgazu.ru/db/avtorefdoc/nedoskin.htm [Электронный ресурс]
27. http://oprave.ru/statii/Zemelnoe-texts01.html#s6 [Электронный ресурс]
Приложение А - Степень использования ресурсного потенциала в сельском хозяйстве
| Годы |
Сельскохозяйственные угодья, используемые землепользователями, занимающимися сельскохозяйственным производством, млн. га, Х1
|
Основные фонды, млрд. руб., Х2
|
Среднегодовая численность работников, занятых в сельском хозяйстве, тыс. чел., Х3
|
Валовая прибыль отрасли, млрд. руб.
|
Коэффициент использования ресурсов
|
| Y факт |
Y
расчет
|
1998
1999
2000
2001
2002
2003
2004
2005
2006
|
195,2
197,6
197
195,9
194,6
193,8
192,6
191,7
167,6
|
1514
1408
1178
1165
1168
1164
1357
1377
1442
|
8724
8495
8370
7936
7683
7208
7430
7381
7141
|
97,9
270,1
355,6
448,2
450,7
542,6
653,1
754,3
790,8
|
195,96
253,87
266,65
415,52
505,33
668,69
622,12
643,71
792,35
|
49,96
106,40
133,36
107,86
89,19
81,14
104,98
117,18
99,80
|
| в среднем |
191,78 |
1308,11
|
7818,67
|
484,81 |
484,91 |
99,98
|
Приложение Б – Удельный вес сельского хозяйства России в экономике народного хозяйства, %
| 1990 г. |
1995 г |
2000 г. |
2005 г |
2006 г. |
Валовой внутренний продукт
Численность занятого населения
Инвестиции в основной капитал
Основные фонды
|
16,4
12,9
15,9
11,4
|
7,0
14,7
3,5
11,6
|
6,6
13,9
2,7
7,1
|
5,1*
11,1*
4,0*
3,6*
|
4,6*
10,6*
4,9*
3,4*
|
* Сельское хозяйство, охота и лесное хозяйство
Приложение В – Хозяйства населения, имеющие земельные участки.
| 1992 |
1995 |
2000 |
2001 |
2002 |
2004 |
| Личные подсобные хозяйства |
Число семей, млн.
Площадь земель всего, тыс. га
В среднем на одну семью, га
|
19,3
6826
0,35
|
16,3
5810
0,36
|
16,0
6243
0,39
|
16,0
6545
0,41
|
15,9
6914
0,43
|
16,0
7078
0,44
|
| Коллективные и индивидуальные сады |
Число семей, млн.
Площадь земель всего, тыс. га
В среднем на одну семью, га
|
13,5
1083
0,08
|
15,0
1242
0,08
|
14,9
1265
0,09
|
14,6
1263
0,09
|
14,6
1260
0,09
|
14,5
1258
0,09
|
| Коллективные и индивидуальные огороды |
Число семей, млн.
Площадь земель всего, тыс. га
В среднем на одну семью, га
|
7,9
601
0,08
|
7,4
603
0,08
|
5,1
469
0,09
|
4,7
458
0,10
|
4,4
420
0,10
|
4,1
404
0,10
|
|