Министерство науки и образования РФ
Санкт-Петербургская лесотехническая академия им С.М Кирова
Кафедра лесной таксации и геоинформационных систем
Контрольная работа №2
По дисциплине «Лесная таксация»
Выполнила: Лысова И.Н
Студентка ЛХФ з/оуск
4 курс 8 гр
Номер зачетной книжки 590171
Спб2011
1. Понятие об элементе леса как основе для таксации и изучения строения древостоя. В чем отличие элемента леса от части древостоя элемента и совокупности отдельных деревьев.
Профессор Н.В.Третьяков, изучая строение насаждений, предложил делить их на элементы леса. Элемент леса профессор Третьяков считает «той последней единицей, до которой расчленяют лес». Самым наглядным примером отдельного элемента леса является чистое одновозрастное однородное насаждение, занимающее площадь с однородными условиями местопроизрастания.
В этом случае понятие «насаждение» оказывается аналогичным новому таксационному понятию «элемент леса». В смешанных одноярусных насаждениях элементов леса будет столько же, сколько древесных пород входит в его состав. Допустим, что таксируемое смешанное насаждение имеет состав 6С(120)4Е(110), причем обе эти породы находятся в одном ярусе. Согласно приведенной формуле состава каждая из древесных пород, входящих в это насаждение, представлена одним возрастным поколением. Соответственно этому в данном насаждении различают два элемента леса: сосну и ель.
В этом случае понятие «древесная порода». В сложных насаждениях, где каждый ярус состоит из одной древесной породы, число элементов леса равняется числу ярусов. Так, в зоне смешанных лесов очень распространен тип насаждений, в которых верхний ярус состоит из березы, а нижний из ели. Применительно к учению профессора Третьякова об элементах леса такое насаждение следует считать состоящим из двух элементов: верхнего, березового, и нижнего, елового, яруса. В данном случае понятие «элемент леса» оказывается тождественным понятию «ярус насаждения».
Теневыносливые древесные породы довольно часто образуют разновозрастные насаждения. В лесах Севера нередко можно встретить ельники, состоящие из трех поколений, например верхний ярус из ели 180 и 110 лет, нижний – из ели 60 лет. Такое насаждение следует считать состоящим из трех элементов леса: первый элемент – еловый древостой 180 лет, второй – еловый древостой 110 лет, третий – второй ярус из ели 60-летнего возраста. В рассмотренном случае понятие «элемент леса» совпадает с понятием «возрастное поколение леса». Таким образом, для элемента леса можно дать следующее определение: элементом леса называется чистое однородное одновозрастное насаждение или часть смешанного, сложного или разновозрастного насаждения, состоящая из деревьев одной породы, расположенном в одном ярусе, по возрасту относящихся к одному поколению и имеющих однородные условия развития и местопроизрастания.
В таксационных описаниях, в которых учитываются элементы леса, отмечаются средняя высота, средний диаметр, возраст и запас каждого элемента леса. Наличие этих данных облегчает разделение запасов насаждений на сортименты, имеющие разные размеры. Из последующего текста будет видно, что для сортиментации леса широко используют так называемые товарные таблицы, в которых древесный запас расчленяется на отдельные сортименты. При составлении товарных таблиц за основу взято закономерное распределение деревьев по толщине, зависящее от величины среднего диаметра. У отдельных элементов леса средние диаметры и высота могут быть разными.
Поэтому распределение по толщине деревьев, входящих в отдельный элемент леса, оказывается неодинаковым. В пределах одного элемента леса наблюдается сравнительно устойчивая закономерность в распределении деревьев по толщине в зависимости от величины среднего диаметра. Разделение древостоев на элементы леса облегчает промышленную оценку леса. При наличии такого деления можно, не прибегая к трудоемкой перечислительной таксации, при помощи товарных таблиц расчленить древесные запасы на отдельные сортименты, характеризующиеся разными размерами и качеством и находящие разное применение в народном хозяйстве. Однако, несмотря на практическую полезность расчленения насаждений на элементы леса, все же их роль и значение как новой таксационной категории не следует переоценивать.
Идея о разделении сложных насаждений на одн6ородные в техническом и хозяйственном и хозяйственном отношении части сама по себе не нова. Еще до введения в таксацию понятия «элемент леса» в смешанных насаждениях с помощью состава учитывали отдельные древесные породы, в сложных насаждениях выделяли ярусы, а разновозрастных насаждениях – отдельные возрастные поколения. Как мы видели, при таксации элемент леса обязательно совпадает с каким-либо одним из ранее известных таксационных понятий, например простое насаждение, часть древостоя, образуемая одной породой, ярус сложного насаждения, отдельное возрастное поколение леса. Правильное определение запаса древесины в сортиментном разрезе неизбежно связанно с делением сложного смешанного насаждения на части однородные по выходу сортиментов. Чтобы определить выход сортиментов для каждой однородной части насаждения, необходимо знать запас, средний диаметр и высоту деревьев.
Эти таксационные признаки надо отмечать при обычной таксации, разделяя сложное насаждение на ярусы и возрастные поколения. Однако вместо аналитического описания насаждений таксаторы не редко предпочитают синтетическую, устанавливающую общую для всего насаждения формулу состава, общий средний диаметр и среднюю высоту. Такие обобщенные данные не способствуют правильному разделению запаса на отдельные сортименты. При расчленении насаждения на элементы леса это недостаток таксационной практики становится особенно наглядным. Наиболее совершенна и практически необходима аналитическая таксация, при которой сложные разновозрастные и смешанные насаждения разделяют на ярусы и возрастные поколения.
Установление для ярусов и возрастных поколений запаса, состава, средних диаметра и высоты обеспечит более правильную сортиментацию растущего леса. Вместе с тем необходимо иметь в виду, выделение ярусов и возрастных поколений оправдывает себя в том случае, когда они резко выделяются и при этом имеют запас, составляющий заметную долю в общем древесном запасе.
2. Как определяются таксационные показатели древостоя элемента леса: средний диаметр, высота?
В самом однородном древостое, состоящем из деревьев одной породы и одного возраста, толщина, высота и форма деревьев различны. Неодинаково также и число деревьев, относящихся к отдельным ступеням толщины: очень тонких и очень толстых деревьев обычно меньше, чем деревьев средних ступеней толщины.
Для характеристики толщины деревьев, образующих отдельный-древостой, определяют их средний диаметр. При этом различают: а) средний диаметр dg, соответствующий площади сечения среднего дерева в насаждении; б) средний арифметический диаметр d, получаемый как частное от деления суммы диаметров всех деревьев, образующих древостой, на их число
в) диаметр срединного дерева dM
, определяемый путем распределения деревьев в ряд постепенного изменения диаметров начиная с наибольшего или наименьшего и нахождением в этом ряду срединного дерева по формуле (n+1) : 2;
г) диаметр, определяемый соответственно средним площадям сечений по ступеням толщины dgM
. Его находят таким же путем, как dM
, но значения в каждой ступени толщины определяются из средней площади сечения: /2;
д) диаметры (d+ и d-) модельных деревьев Гогенадля, определяемые по формулам d+=d+s и d_=d—s, где s среднее квадратическое отклонение от среднего диаметра d.
Из всех приведенных средних чаще всего определяют средний диаметр dg, соответствующий площади сечения среднего дерева в насаждении.
Для его определения прежде всего необходимо произвести перечет деревьев, дающий распределение деревьев по ступеням толщины.
Соответственно этому распределению и площадям сечений отдельных ступеней толщины находят сумму поперечных сечений всех деревьев, входящих в насаждение, по следующей формуле:
где gi... gn — площади сечений деревьев отдельных ступеней толщины; я,... tin — число деревьев в отдельных ступенях толщины.
Разделив сумму площадей поперечных сечений всех деревьев на общее их число N, получим площадь сечения g, которую имеет дерево средней толщины:
По площади поперечного сечения дерева, обычно уподобля¬емой площади круга, может быть установлен и его диаметр на основании следующей зависимости:
Откуда
Диаметр, вычисленный по этой формуле, и будет средним диаметром насаждения.
Для упрощения вычислений среднего диаметра сумму площадей сечений находят по специальным таблицам, в которых даны площади сечений деревьев разной толщины. Имеется также таблица, составленная на основании формулы , по которой можно, зная площадь сечения среднего дерева, найти его диаметр.
За последние 10—15 лет таксационная техника сделала значительный шаг вперед. Основным ее достижением является разработка прицельных методов таксации.
С помощью новых приборов находят сумму площадей поперечных сечений деревьев g на 1 га таксируемого древостоя с малой затратой труда.
Однако кроме суммы площадей поперечных сечений для определения среднего диаметра необходимо знать число деревьев N на 1 га того же древостоя.
Эту задачу можно решить путем закладки круговых проб постояннго радиуса. На таких пробах надо подсчитать общее число деревьев п. Если его перемножим на отношение 1 га к площади круговой пробы (10000/s), выражая их в квадратных метрах, то в результате найдем число деревьев на 1 га
N = n * (10000/S)
При определении числа деревьев этим способом возникает новая задача: как отграничить круговую пробную площадь постоянного радиуса, затрачивая на это минимум труда и времени. Ее можно решить тремя способами: с помощью мерного шнура, с помощью трости таксатора и посредством призмы (таксационного прицела) и мишени.
Мерная часть шнура должна иметь длину равную длине радиуса в круговой пробе. Кроме мерной масти, с одного конца шнур должен иметь запасную длину 1,5 м, используемую для привязывания к стволу дерева, принимаемого за центр круговой пробы. Мерной частью шнура описывают на местности круг с одновременным подсчетом числа деревьев, находящихся в круге.
Трость таксатора целесообразно использовать для отграничения круговых проб постоянного радиуса в равнинной местности. Процесс подсчета числа деревьев на круговой пробе сводится к следующему. Подняв трость на уровень глаз за металлическую петлю, шарнирно соединенную со стержнем трости, таксатор визирует вокруг себя по одному из верхних ребер ручки трости, не сходя с одного места, принимаемого за центр круговой пробы.
При постепенном вращении вокруг центра пробы линия визирования таксатора будет пересекать деревья, находящиеся на круговой пробе. При вращении таксатор ведет счет деревьям, пересекаемым линией визирования.
Если таксируется сложный или смешанный древостой, то учет деревьев на круговой пробе ведется с разделением их по породам, ярусам и, в случае надобности, по возрастным поколениям. В этом случае каждую особо выделяемую часть древостоя учитывают путем повторного описывания круга из того же центра. Средние размеры деревьев отдельных ярусов и разных древесных пород обычно имеют существенные отличия, обусловливающие различие в товарной структуре. Следовательно, отдельный учет деревьев в однородных частях древостоя позволяет уточнить сортиментный состав сложных и смешанных древостоев. При третьем способе отграничения круговых проб постоянного радиуса в качестве мерных инструментов используют призму (таксационный прицел), применяемую для определения сумм площадей поперечных сечений деревьев, образующих древостой, и, специальные мишени, имеющие форму квадратов, прямоугольников и цилиндров.
Плоские мишени могут быть изготовлены из картона, жести или фанеры. Длина двух параллельных сторон у плоских мишеней должна быть равна числу сантиметров, соответствующему количеству метров в радиусе круговой пробы (если круговая проба имеет радиус 10 м, то у двух параллельных сторон мишени должна быть длина 10 см).
Отграничение круговой пробы с помощью призмы и плоской мишени осуществляют два лица (таксатор и рабочий). При отграничении круговой пробы таксатор, вооруженный призмой, передвигается по окружности закладываемой пробы, а рабочий с мишенью находится в центре круговой пробы.
Таксатор визирует через призму на мишень, поднимаемую рабочим на уровень глаз. Если нижняя часть мишени, рассматриваемая через призму, по отношению к верхней части, видимой невооруженным глазом, сместится на ширину всей мишени, но не оторвется от остальной ее части, то такое изображение свидетельствует о том, что таксатор от рабочего находится на расстоянии равном числу метров в радиусе круговой пробы.
Если при визировании через призму мы обнаруживаем частичный сдвиг мишени, то это обстоятельство указывает на то, что расстояние от мишени до таксатора меньше радиуса круговой пробы.
В том случае, когда мишень, рассматриваемая через призму и поверх нее, окажется разорванной на две отделившиеся друг от друга части, таксатор будет находиться от центра круговой пробы на расстоянии, превышающем радиус пробы.
Описывая круг на местности и контролируя указанным способом расстояние от центра пробы, таксатор одновременно ведет счет деревьям, пересекающим линию его визирования на мишень, находящуюся в центре круга.
С помощью призмы с мишенью представляется возможным закладывать круговые пробные площади разных радиусов; 10, 15, 20 м и даже более. Этот способ имеет все преимущества при закладке более крупных по площади круговых проб. При замене плоских мишеней цилиндрическими круговую пробную площадь может закладывать один таксатор, не прибегая к помощи рабочего.
Процесс закладки круговой пробы с помощью мишени-цилиндра в своей основе аналогичен рассмотренному выше способу закладки пробы с использованием плоских мишеней. Разница заключается лишь в том, что плоские мишени рабочий вынужден держать в руках, поворачивая их по мере движения таксатора но окружности пробы. Мишень-цилиндр при визировании на нее со всех сторон пробы может оставаться неподвижной, так как поперечное сечение цилиндра при визировании его со всех сторон оказывается кругом.
Для упрощения всех расчетов, связанных с определением среднего диаметра, нами построена специальная номограмма.
В ее основу положены следующие математические выкладки:
g = Ny.
Прологарифмировав это уравнение, получим следующую формулу:
Lg g=lgN + lgY.
Обе половины этой формулы разделим пополам. Тогда получим
Такого рода уравнение определяет длину срединной линии трапеции. Применительно к этому уравнению нами и построена номограмма.
На левых ее осях нанесены логарифмы числа деревьев на I га.
Против делений, определяющих разные числа деревьев на 1 га, указаны числа деревьев на соответствующей круговой пробе заданного радиуса. На правых шкалах номограммы нанесены логарифмы площадей поперечных сечений деревьев, являющихся средними в древостое. Против делений, определяющих логарифмы поперечных сечений деревьев, указаны их диаметры в сантиметрах.
На срединной шкале нанесены логарифмы сумм площадей поперечных сечений всего древостоя, взятого в целом. Против соответствующих делений на срединной шкале указаны суммы площадей поперечных сечений, выраженные в квадратных метрах.
Номограмма составлена для круговых проб, имеющих радиусы 7, 10, 15 и 20 м. Эти четыре градации в величине радиусов позволяют закладывать круговые пробы разных размеров, отображающие особенности таксируемых древостоев.
При определении среднего арифметического диаметра d также необходим перечет деревьев, распределяющий их по ступеням толщины. На основании итогов перечета средний диаметр находят по формуле
Можно определить средний арифметический диаметр древостоя также по схеме, принятой в вариационной статистике при нахождении среднеарифметических.
Если d не превышает 16 см, b будет равно 0,5 см, если d составляет от 16 до 26 см, поправка окажется равной 1 см, если больше 26 см, то 1,5 см.
Как уже отмечалось выше, рассмотренные способы определения среднего диаметра требуют предварительного перечета деревьев, а так как работа эта довольно трудоемкая, то в практической таксации средний диаметр определяют глазомерно.
Чтобы научиться глазомерному определению среднего диаметра, надо предварительно протаксировать перечислительным способом значительное число насаждений и вычислить средние диаметры. При этом в памяти сохраняются образцы насаждений, что позволяет при последующей работе довольно точно определять средний диаметр глазомерно.
При глазомерном способе определения среднего диаметра необходимо иметь в виду, что в однородном насаждении диаметр самого тонкого дерева округленно в 2 раза меньше среднего диаметра насаждения, а диаметр самого толстого дерева в 1,7—1,8 раза больше среднего.
При практической таксации для определения среднего диаметра обмеряют в наиболее представленных числом деревьев средних ступенях толщины 10 деревьев, имеющих по глазомерной оценке среднюю толщину. У отобранных деревьев мерной вилкой или другим инструментом измеряют диаметры и полученные при этом величины суммируют в общий итог.
Найденная сумма диаметров делится на 10. Полученный результат принимают за средний диаметр
d = 0,1 d.
Наиболее надежные результаты дает установление среднего арифметического диаметра по способу случайной выборки. В этом случае число деревьев, выбираемых для обмера, n зависит от заданной точности р нахождения среднего диаметра и коэффициента вариации диаметров в насаждении Сd. Из курса вариационной статистики известно, что
На основе большого экспериментального материала, собранного в лесах Беловежской пущи, проф. В. К. Захаров установил, что в сосновых насаждениях изменчивость толщины деревьев Cd характеризуется коэффициентом вариации в среднем близким к 25 %, поэтому для нахождения величины среднего диаметра надо измерить в насаждении диаметры на высоте груди с точностью до 2.% у 165 деревьев, с точностью до 3 % — у 79, с точностью до 5 % — у 26, с точностью до 10 % — у 7 деревьев.
В сложных и смешанных насаждениях средний диаметр определяют для каждой древесной породы или каждого яруса, в разновозрастных насаждениях — для возрастных поколений, запас которых составляет не менее 20 % общего запаса насаждения.
Средняя высота является одной из основных лесотаксационных характеристик насаждения, отражающая особенности строения леса, его хозяйственную и промышленную ценность. В виду того, что в процессе таксации леса учесть индивидуальную высоту каждого дерева не представляется возможным, принято устанавливать среднюю высоту для всей совокупности деревьев, образующих насаждение.
Классическое определение высоты. Высота насаждения — это средняя высота совокупности деревьев в насаждении, относящихся к основной породе, основному возрастному поколению и основному ярусу. Зависит от древесной породы, условий местопроизрастания, возраста и осуществляемых в лесу хозмероприятий. Используется для определения класса бонитета; служит одним из запасообразующих компонентов.
В таксации леса чаще всего применяется 2 способа определения средней высоты, которые основываются на малой выборке наблюдений и тесной зависимости высоты деревьев от их диаметров. С увеличением среднего диаметра насаждения, как правило, увеличивается и его высота. При глазомерной таксации леса среднюю высоту определяют как среднеарифметическое значение высот не менее трех деревьев, близких к среднему дереву; на пробных площадях — по графику высот на основании среднего диаметра. Первый способ позволяет получить среднюю высоту с точностью до 5%, второй — при обычном измерении 10-25 учетных деревьев, представленных пропорционально площади поперечных сечений стволов ступенях толщины перечетной ведомости обеспечивает 2-3%-ную точность.
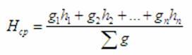
Для научных целей средняя высота определяется по способу Лоррея как высота, взвешенная через площадь сечения деревьев с учетом распределения их по ступеням толщины.

Стохастическая (вероятностная) связь высоты с рядом таксационных показателей позволяет использовать ее в качестве входа в важнейших нормативных документах: стандартных таблицах площадей сечений и запасов; товарных и сортиментных таблицах.
В производственной таксации лесов среднюю высоту определяются для установления разряда высот — входного показателя в сортиментные таблицы для материально-денежной оценки лесосек. Устанавливается разряд высот насаждения на основании соотношения высот и диаметров деревьев в трех центральных ступенях толщины. В сложных по форме древостоях разряды высот устанавливают не только для каждой древесной породы, но и для каждого яруса и поколения леса. Для определения разряда высот используют два метода измерения средней высоты насаждения:
В первом случае производится измерение высоты у нескольких деревьев, относящихся к средним ступеням толщины, представленным наибольшим числом деревьев. Высота замеряется в 3-5 центральных ступенях толщины с измерением высот 3 модельных деревьев в каждой ступени. Затем для каждой ступени толщины выводят среднеарифметическую высоту. Полученный для соответствующих диаметров разряд высот сравнивают с данными разрядных таблиц и принимают решение какой разряд таблиц надо применить для расчета запаса древесины на лесосеке.
Во втором методе, основанном на принципе обмера среднего дерева в насаждении, определение разряда высот производят путем измерения высот и диаметров у 5 средних деревьев. Затем определяют среднеарифметичекие высоту и диаметр. По этим двум показателям в разрядных таблицах находят интервал высот, к которому относится найденная среднеарифметическая высота древостоя. Найденный интервал высот и определит искомый разряд высот древостоя.
3.Как определяется абсолютная полнота по принципу Биттерлиха? В чем состоит различие понятий: полнота ,густота, сомкнутость? Как они определяются?
ПОЛНОТА ЯРУСОВ (древостоя), степень плотности стояния деревьев в древостое, характеризующая долю использования ими занимаемого пространства. Полнота древостоя -- один из важнейших таксационных показателей, который применяют для характеристики состояния древостоев, определения их запасов и назначения хоз. мероприятий (проектирования рубок ухода, установления необходимой степени изреживания при выборочных рубках, постепенных рубках и др.). Полнота древостоя устанавливают либо по сумме площадей поперечных сечений деревьев, составляющих древостой (таксационная полнота), либо по степени сомкнутости древесного полога (лесоводственная полнота). Соотношение между лесоводственной и таксационной полнотой непостоянно и меняется в зависимости от породы, возраста, состояния древостоев и условий местопроизрастания. Например, в густых молодняках при большой сомкнутости полога лесоводств. полнота может превышать таксационную, и наоборот, в старых сосняках сомкнутость крон мала (0,3--0,4), а суммы площадей сечений, вследствие больших диаметров деревьев, могут оказаться значительно выше (0,5--0,6).
Абсолютная полнота ярусов выражается в м2 как общая сумма площадей сечений на 1 га всех деревьев древостоя на высоте1,3 м (высоте груди) от корневой шейки или как общая площадь горизонтальных проекций крон деревьев.
Этот показатель измеряется с помощью приборов, называемых полнотомерами. Наиболее простым является полнотомер Биттерлиха . Он представляет собой деревянную рейку длиной 1 м, к одному концу которой прикреплена насадка шириной 2 см (рис. 43). Он может быть и других размеров, но отношение длины прибора к ширине насадки должно быть равно 50:1.

Рис. 43. Полнотомер Биттерлиха:а – схема прибора; б – принцип его работы
Техника определения суммы площадей сечения сводится к следующему. Приложив свободный от насадки конец прибора к глазу и приняв какое-либо заметное дерево за начало отсчета, поворачиваются на 360°, визируя через насадку стволы окружающих деревьев на уровне груди (1,3 м). Площадь сечения каждого дерева, диаметр которого перекрывает прорезь насадки (угол визирования), принимают за 1 м2, точно закрывающий прорезь – за 0,5 м2. Остальные деревья учету не подлежат. Подсчитанная таким способом цифра и будет представлять собой сумму площадей сечения деревьев на 1 га.
Густота насаждений - Плотность стояния деревьев и кустарников на участке защитного лесного насаждения, характеризующаяся их числом на единице площади (1 га) с учетом толщины стволов.
Сомкнутость полога зависит от породы деревьев, их биологических особенностей, возраста, условий произрастания, лесорастительной зоны и др. При точных таксационных исследованиях необходимо отличать сомкнутостью, определяемую по площади проекции полога, от устанавливаемой по сумме площади проекции полога, от устанавливаемой по сумме площадей проекции крон.
Сомкнутость представляет собой отношение площади проекции всего полога к площади участка, занимаемого насаждением. Она определяется как отношение суммы площадей проекции крон, учитываемых отдельно для каждого дерева, входящего в состав таксируемого насаждения, к площади, занимаемой этим насаждением. Сумма площадей проекции крон оказывается несколько больше площади проекции полога. Это объясняется тем, что кроны у смежных деревьев частично входят одна в другую и их проекции своими краями накладываются друг на друга. В результате при учете проекции крон деревьев часть площади проекции учитывается дважды.
Если в сумме проекций крон прибавить площадь просветов между деревьями, получится величина, несколько большая площади, занятой таксируемым насаждением. Сомкнутость насаждения, определяемая по проекции полога, как правило, оказывается меньше единицы. Неизбежные просветы составляют 15-20% площади проекции полга полного насаждения. С увеличением числа деревьев на единице площади или, иными словами, с увеличением густоты насаждения сомкнутость полога увеличивается лишь до известного предела. При определенной густоте сомкнутость достигается максимума чего дальнейшее увеличение числа деревьев уже не приводит к увеличению сомкнутости полога.
В старых лиственничных и сосновых лесах сибирской тайги на 1 га встречается 150-200 деревьев. Их кроны, как правило, не сомкнуты. Если в таких насаждениях поперечные сечения крон всех деревьев спроектировать на землю, полученная сумма проекции крон окажется меньше половины всей площади, занимаемой насаждением. При прочих равных условиях наибольшее смыкание хвойные насаждения имеют в возрасте от 20 до 80 лет, а порослевые насаждения лиственных пород – от 20 до 50 лет. При дальнейшем увеличении возраста насаждений сомкнутость постепенно уменьшается.
Сомкнутость полога в северных и восточных лесах, растущих на бедных почвах, меньше, чем в средней и южной полосе. Полноту насаждений по сомкнутости крон устанавливают глазомерно. Таксатору чаще всего приходится работать в насаждениях, где между кронами соседних деревьев имеются значительные свободные пространства. В этих случаях он должен мысленно представить, какую часть деревьев можно добавить в промежутки между имеющимися. Сначала он должен обратить внимание на неизбежные разрывы между кронами в более сомкнутых группах деревьев, затем на разрывы между группами отдельных деревьев.
|