ОГЛАВЛЕНИЕ
Введение. 3
1. Понятие и методы оценки финансовых активов. 4
1.1. Сущность финансовых активов. 4
1.2 Основные методы оценки активов, предусмотренные международными стандартами финансовой отчетности. 6
1.3. Основные подходы и методы оценки активов. 12
1.3.1. Модель оценки капитальных активов (CAPM)12
1.3.2. Модель арбитражного ценообразования (APT)19
1.3.3. Модели оценки финансовых активов. 22
2. Практическая часть. 28
Заключение. 40
Список использованной литературы.. 41
ВВЕДЕНИЕ
В качестве одного из информационных источников для принятия решений субъекты экономических отношений используют публичную финансовую отчетность компаний.
От информации, представленной в финансовой отчетности, будут зависеть принимаемые ими решения. Одним из ключевых элементов публичной финансовой отчетности является информация о стоимости активов, следовательно от стоимости, по которой они будут отражены в балансе, будут существенно зависеть принимаемые экономические решения.
Финансовые активы (Financial assets) – часть активов компании, представляющая собой финансовые ресурсы: денежные средства и ценные бумаги. Финансовые активы включают кассовую наличность, депозиты в банках, вклады, чеки, страховые полисы, вложения в ценные бумаги, обязательства других предприятий и организаций по выплате средств за поставленную продукцию (коммерческий кредит), портфельные вложения в акции иных предприятий, пакеты акций других предприятий, дающие право контроля, паи или долевые участия в других предприятиях.
Актуальность темы данной курсовой работы связана с рациональным применением методов оценки финансовых активов.
Цель данной курсовой работы – рассмотреть основные методы оценки финансовых активов, привести примеры.
Для достижения данной цели необходимо решить следующие задачи:
– проанализировать понятие финансовых активов, их сущность;
– изучить методы оценки активов, предусмотренные международными стандартами финансовой отчетности;
– рассмотреть основные методы и подходы оценки финансовых активов;
– рассмотреть практически методы оценки на примере.
1.1. Сущность финансовых активов
Финансовый актив
(financial asset)
– любой актив, представляющий собой:
1. денежное средство,
2. долевой инструмент другой компании;
3. право по договору:
– получить денежные средства или другой финансовый актив от другой компании или,
– обменять финансовый актив или финансовое обязательство другой компании на условиях, потенциально выгодных для компании;
4.договор, расчет по которому может быть произведен собственным долевым инструментом, являющийся:
– таким непроизводным инструментом, по которому у компании есть или может появиться обязанность получить переменное число собственных долевых инструментов, или
– таким производным инструментом, расчет по которому может быть произведен любым способом за исключением обмена фиксированной суммы денежных средств или иного финансового актива на фиксированную сумму собственных долевых инструментов компании. Поэтому в долевые инструменты компании не входят инструменты, которые являются договорами на получение или предоставление собственных долевых инструментов компании в будущем.
Для целей оценки стандарт классифицирует все финансовые инструменты в четыре категории:
1. финансовые активы, оцениваемые по справедливой стоимости через прибыль или убыток (financialassetsatfairvaluethroughprofitandloss).
2. финансовые активы, имеющиеся в наличии для продажи (available-for-sale financial assets)
3. кредиты и дебиторская задолженность (loans and receivables).
4. инвестиции, удерживаемые до погашения (held-to-maturity investments).
Финансовые активы, оцениваемые по справедливой стоимости через прибыль или убыток.
Эта категория имеет 2 подкатегории:
1. Активы, отнесенные в данную категорию, при первоначальном признании.
Включает любые финансовые активы, определяемые при первоначальном признании как финансовые активы, оцениваемые по справедливой стоимости через прибыль или убыток.
2. Финансовые активы, предназначенные для торговли (financial assets held-for-trading).
Финансовые активы, приобретаемые или предназначенные для продажи в скором будущем, или если они являются частью портфеля идентичных ценных бумаг, по которым существует недавний факт получения прибыли от торговли, или если это производный финансовый инструмент (кроме финансовой гарантии или договора хеджирования).
Займы и дебиторская задолженность
. Финансовые активы с фиксированными или определяемыми платежами, не обращаемые на активном рынке, не предназначенные для торговли, и которые не были отнесены при первоначальном признании в категорию «финансовые активы, оцениваемые по справедливой стоимости через прибыль или убыток».
Инвестиции, удерживаемые до погашения.
Финансовые активы с фиксированными или определяемыми платежами, которые компания намеревается и имеет возможность удерживать до погашения и которые не соответствуют определению займа и дебиторской задолженности, финансовых активов, оцениваемых по справедливой стоимости через прибыль или убыток, финансовых активов, имеющихся в наличии для продажи.
Финансовые активы, имеющиеся в наличии для продажи
. Любые непроизводные финансовые активы, определяемые при первоначальном принятии как имеющиеся в наличии для продажи.
Оцениваются по справедливой стоимости в балансе. Изменения в справедливой стоимости признаются в капитале. Общая сумма расхода или дохода, признанная в капитале признается как прибыль или убыток при выбытии актива.
Передавая финансовый актив, организация должна оценивать степень, в которой за ней сохраняются риски и выгоды, связанные с владением этим финансовым активом. Если организация передает значительную часть всех рисков и выгод, связанных с владением финансовым активом, она должна прекратить признание этого финансового актива.
Если организация сохраняет за собой значительную часть всех рисков и выгод, связанных с владением финансовым активом, она должна и дальше признавать этот финансовый актив. Если компания не сохранила, не передала все существенные риски и выгоды актива, то она должна оценить, контролирует ли она актив или нет. Если компания не управляет активом тогда прекращение признания, является соответствующим; однако, если компания сохранила контроль над активом, она продолжает признавать этот актив соразмерно своему дальнейшему участию в нем.[1]
1.2 Основные методы оценки активов, предусмотренные международными стандартами финансовой отчетности
Рассмотрим методы оценки активов, предусмотренных МСФО, и проанализируем каждый из них с позиций концепции CCF и полезности информации для принятия экономических решений.
1. В соответствии с методом фактической стоимости приобретения «активы учитываются по сумме уплаченных за них денежных средств или их эквивалентов, или по справедливой стоимости, предложенной за них на момент их приобретения».[2]
Сумма уплаченных за актив денежных средств представляет собой не что иное, как цену приобретения данного актива. С позиции концепции CCF сумма уплаченных за активы денежных средств представляет собой отрицательный CCF (Y), являющийся следствием реализации в прошлом экономического решения «начать контроль над объектом» – R01, так как компании, находящейся в ситуации 0 (объект не контролируется компанией) по отношению к определенному объекту, чтобы перейти в ситуацию 1 (объект контролируется компанией) необходимо принять именно решение «начать контроль над объектом» – R01 (рис.1).
Справедливая стоимость согласно МСФО, это «сумма, на которую можно обменять актив при совершении сделки между хорошо осведомленными, желающими совершить такую операцию сторонами, осуществленной на общих условиях». То есть справедливая стоимость – это вероятностная величина, которую мы ожидаем получить на основании прогноза будущих событий, связанных с реализацией данного актива. В определении справедливой стоимости речь идет о прекращении контроля над активом. С учетом того, что в этом определении нет указаний на то, что справедливая стоимость должна учитывать затраты, связанные с прекращением контроля над активом, можно утверждать что с позиций концепции CCF справедливая стоимость представляет собой положительный CCF (X) экономического решения «прекратить контроль над активом» – R10.
Однако характеристика метода фактической стоимости приобретения указывает не просто на справедливую стоимость, а на справедливую стоимость, предложенную на момент приобретения активов, которая, по сути, отражает свершившийся факт – цену предложения. Таким образом, справедливая стоимость, предложенная на момент приобретения активов, представляет собой не что иное как положительный CCF (X), являющийся следствием реализации в прошлом экономического решения «прекратить контроль над активом» – R10 (рис.1).

Рисунок 1 – Отражение активов в соответствии с методом фактической стоимости приобретения
В соответствии с Международными стандартами финансовой отчетности активы первоначально отражаются по фактической стоимости приобретения.
Однако вряд ли информация о стоимости активов, отражаемых в соответствии с методом фактической стоимости приобретения, будет полезна пользователям в процессе принятия ими экономических решений.
После первоначального отражения активов в соответствии с данным методом, целесообразно осуществлять переоценку активов, поскольку отражение активов по ценам, превращает финансовую отчетность в «летопись», лишая ее прогностической ценности для принятия экономических решений.[3]
2. В соответствии с методом восстановительной стоимости «активы отражаются по сумме денежных средств или их эквивалентов, которая должна быть уплачена в том случае, если такой же или эквивалентный актив приобретался бы в настоящее время». По сути, сумма денежных средств или их эквивалентов, которая должна быть уплачена в том случае, если такой же или эквивалентный актив приобретался бы в настоящее время представляет собой отрицательный CCF (Y), являющийся вероятным следствием реализации экономического решения «начать контроль над объектом» – R01 (рис.2).

Рисунок 2 – Отражение активов в соответствии с методом восстановительной стоимости
Представляется недостаточно корректным отражение активов в соответствии с данным методом, во-первых, потому, что он подразумевает определение лишь одного из двух элементов стоимости экономического решения – отрицательного CCF (Y); во-вторых, потому что активы представляют собой объекты экономических отношений, находящиеся в ситуации 1 (объект контролируется субъектом) и поэтому по отношению к ним может быть принято либо решение типа R11, либо решение типа R10, но никак не решение R01.
3. В соответствии с методом возможной цены продажи «активы отражаются по сумме денежных средств или их эквивалентов, которая в настоящее время может быть выручена от продажи актива в нормальных условиях». Сумма денежных средств или их эквивалентов, которая в настоящее время может быть выручена от продажи актива в нормальных условиях, по сути, представляет собой положительный CCF (X), являющийся вероятным следствием реализации экономического решения «прекратить контроль над активом» – R10.
Таким образом возможная цена продажи представляет собой положительный CCF (X), являющийся вероятным следствием реализации экономического решения «прекратить контроль над активом» – R10 (рис.3).

Рисунок 3 – Отражение активов в соответствии с методом возможной цены продажи
Представляется недостаточно корректным отражение активов в соответствии с данным методом, так как он подразумевает определение лишь одного из двух элементов стоимости экономического решения R10- положительного CCF (X), а во-вторых, как было обнаружено нами ранее[4]
, отражение активов по стоимости экономического решения R10 не соответствует цели финансовой отчетности, зафиксированной в Международных стандартах финансовой отчетности, так как не обеспечивает возможность адекватного отражения финансового состояния компании, изменения ее финансового состояния и результатов деятельности компании.
4. В соответствии с методом дисконтированной стоимости «активы отражаются по дисконтированной стоимости будущего чистого поступления денежных средств, которые, как предполагается, будут создаваться данным активом при нормальном ходе дел».
Дисконтированная стоимость будущего чистого поступления денежных средств представляет собой ни что иное как разницу дисконтированных будущих положительных и отрицательных потоков денежных средств. Таким образом, будущий положительный поток денежных средств, который, как предполагается, будет создаваться данным активом при нормальном ходе дел, по сути, представляет собой положительный CCF (X), являющийся вероятным следствием реализации экономического решения «продолжить контроль над активом» – R11. Будущий отрицательный поток денежных средств, который, как предполагается, будет создаваться данным активом при нормальном ходе дел, по сути, представляет собой отрицательный CCF (Y), являющийся вероятным следствием реализации экономического решения «продолжить контроль над активом» – R11.
Таким образом, дисконтированная стоимость актива, по сути, представляет собой стоимость экономического решения «продолжить контроль над активом» – R11 (рис.4).

Рисунок 4 – Отражение активов в соответствии с методом дисконтированной стоимости
С учетом изложенного выше можно заключить, что использование данного метода оценки активов представляется наиболее корректным, во-первых, поскольку он предполагает отражение активов по стоимости, а не по цене; во-вторых – поскольку он предполагает отражение активов по стоимости экономического решения «продолжить контроль над активом» – R11, а так как активы представляют собой объекты экономических отношений, находящиеся в ситуации 1 (объект контролируется субъектом), то по отношению к ним решение типа R11 может быть принято; в-третьих, поскольку он предполагает определение обоих элементов стоимости экономического решения: и отрицательного CCF (Y), и положительного CCF (X), являющихся вероятным следствием реализации указанного экономического решения.
Полученные результаты свидетельствуют в пользу того, что отражение активов в соответствии с методом дисконтированной стоимости, который по сути, представляет собой отражение активов по стоимости, соответствующей «ценности использования», представленной в МСФО 36 «Обесценение активов», в наибольшей степени соответствует цели финансовой отчетности, зафиксированной в Международных стандартах финансовой отчетности, так как обеспечивает возможность адекватного отражения финансового состояния компаний, изменения их финансового состояния и результатов деятельности.
Capital Asset Pricing Model (CAPM) – модель оценки доходности финансовых активов служит теоретической основой для ряда различных финансовых технологий по управлению доходностью и риском, применяемых при долгосрочном и среднесрочном инвестировании в акции.
Основным результатом CAPM является установление соотношения между доходностью и риском актива для равновесного рынка. Одним из наиболее важных моментов является тот факт, что при выборе инвестор должен учитывать не весь риск ценной бумаги, а только систематический или недиверсифицируемый.
CAPM рассматривает доходность акции в зависимости от поведения рынка в целом. Другое исходное предположение CAPM состоит в том, что инвесторы принимают решения, учитывая лишь два фактора: ожидаемую доходность и риск.
Смысл этой модели заключается в том, чтоб продемонстрировать тесную взаимосвязь между нормой доходности с риском финансового инструмента.
Предположения, на которых базируется модель оценки финансовых активов, включают как некоторые постулаты теории рынка капитала Марковица, так и дополнительные предположения:
1. Основными факторами оценки инвестиционных портфелей является ожидаемая доходность и стандартное отклонение за период владения портфелем.
2. Предпосылка о ненасыщаемости: при выборе между двумя равными портфелями среди прочих равных инвестор всегда предпочтет портфель с большей доходностью.
3. Предпосылка об избегании риска. Среди прочих равных инвестор всегда выберет портфель с наименьшим стандартным отклонением.
4. Все активы совершенно ликвидны и бесконечно делимы, т.е. всегда могут быть проданы по рыночной цене, причем инвестор может покупать лишь часть акций.
5. Инвестор может осуществлять кредитование и заимствование по безрисковой процентной ставке.
6. Трансакционные издержки и налоги бесконечно малы.
7. Инвестиционный период одинаков для всех инвесторов.
8. Безрисковая процентная ставка равна для всех инвесторов.
9. Информация мгновенно доступна всем инвесторам.
10. Ожидания инвесторов однородны, т.е. они одинаково оценивают ожидаемые доходности, стандартные отклонения и ковариации ценных бумаг.
Ситуация, задаваемая данными предпосылками, совершенна. Все инвесторы одинаково оценивают параметры ценных бумаг, вся информация доступна каждому инвестору, не существует никаких препятствий к совершению сделок. Это сделано не для того, чтобы рассмотреть вопрос о том, как инвестор делает выбор между бумагами, а для того, чтобы проанализировать, как будут формироваться цены на рыночные активы в условиях совершенного рынка.
Выделяют два основных свойства или, лучше сказать, две закономерности, которые характеризуют модель оценки капитальных активов. Во-первых, это теорема о разделении. Из перечисленных выше предпосылок вытекает утверждение о том, что, проанализировав характеристики ценных бумаг и определив эффективное множество, инвесторы выбирают один и тот же касательный портфель. Это объясняется предпосылкой 10, утверждающей однородность ожиданий инвесторов.
Вторым свойством CAPM является тот факт, что каждый вид ценных бумаг имеет ненулевую долю в касательном портфеле. Это определяется рыночным механизмом спроса и предложения. Если доля какой-либо бумаги равна нулю, то ее курс на рынке будет падать, соответственно ожидаемая доходность будет расти, пока инвесторы не начнут покупать данную бумагу и доля ее в портфеле не станет отличной от нуля. Если же, наоборот, на какой-либо актив слишком большой спрос, то брокерам придется поднимать цены, следовательно, снизится доходность и уменьшится доля такой бумаги в касательном портфеле, уравняв спрос и предложение. В конечном итоге рынок должен прийти к равновесию.[5]
Зависимость между риском и ожидаемой доходностью эффективных портфелей описывается прямой под названием рыночная линия (Capital Market Line, CML). Рыночная линия пересекает ось ординат в точке Rf и проходит через точку М, характеризующую рыночный портфель (рис. 5).

Рисунок 5 – Рыночная линия
Эффективные портфели, принадлежащие этой кривой, формируются из рыночного портфеля и безрисковых кредитований и заимствований. По сути, рыночная линия – это эффективное множество портфелей. Портфели, не использующие рыночный портфель в комбинации с безрисковыми активами, лежат ниже рыночной прямой.[6]
Наклон рыночной линии определяется отношением разности доходности рынка и безрисковой доходности к разности в стандартных отклонениях, т.е. наклон равен . Поскольку рыночная линия пересекает ось ординат в точке Rf, то можно записать уравнение этой прямой как:
. (1)
Равновесие на рынке ценных бумаг характеризуется двумя основными показателями: положением безрискового актива на оси ординат, которую называют наградой за ожидание, и наклоном рыночной линии, который называется премией за риск.
Рыночная линия характеризует связь между риском и ожидаемой доходностью для эффективных портфелей. Для описания такой взаимосвязи, характеризующей отдельную ценную бумагу, нужно провести некоторые преобразования.
Стандартное отклонение портфеля вычисляется по формуле:
(2)
Применив ее для рыночного портфеля, получаем:
, (3)
Где wiM – доля бумаги i в рыночном портфеле.
Далее используем следующее свойство ковариации:
, (4)
которое означает, что ковариация рыночного портфеля с бумагой i может быть представлена как взвешенное среднее ковариаций каждой бумаги рыночного портфеля с бумагой i, тогда:
. (5)
То есть стандартное отклонение рыночного портфеля есть корень из средневзвешенной ковариации рыночного портфеля с каждой бумагой, в него входящей. Величина допустимого риска каждой бумаги определяется ковариацией этой бумаги с рыночным портфелем, т.е. чем больше ковариация бумаги с рыночным портфелем, тем больше риска она в него вносит. Получается, что стандартное отклонение самой ценной бумаги не играет значительной роли в определении риска рыночного портфеля, оно может быть как высоким, так и незначительным. Соответственно, инвесторы будут выбирать те бумаги, у которых ковариации с рыночным портфелем выше, так как такие бумаги приносят большую доходность. Уравнение (называется рыночной линией ценной бумаги (Security Market Line, SML) и отражает зависимость между ковариацией ценной бумаги с рыночным портфелем и ожидаемой доходностью ценной бумаги.[7]
(4)
Эта зависимость представлена на рис. 6.

Рисунок 6 – Рыночная линия ценной бумаги с ковариацией
Уравнение представляет прямую с наклоном , пересекающую ось ординат в точке Rf. Доходность рискованной ценной бумаги, имеющей нулевую ковариацию с рыночным портфелем, будет равна безрисковой доходности, несмотря на то, что среднеквадратическое отклонение бумаги отлично от нуля. Тогда ее доходность будет меньше безрисковой, и это означает, что бумага вносит отрицательную величину риска в рыночный портфель. А если ковариация бумаги с рыночным портфелем равна дисперсии рыночного портфеля, то доходность такой бумаги равна доходности рыночного портфеля, т.е. она вносит средний риск в рыночный портфель.
Более часто использующееся уравнение рыночной линии ценной бумаги записывается через коэффициент бета :
, (5)
который является альтернативным способом представления ковариации бумаги с рынком. Соответственно, SML записывается как
(6)
Это уравнение и называется моделью оценки финансовых активов. Формула CAPM обозначает, что ожидаемая доходность ценной бумаги линейно связана с бетой ценной бумаги. Поскольку наблюдения в течение достаточно продолжительного времени показывают, что средняя доходность рынка выше, чем средняя безрисковая ставка процента, то разность предполагается положительной. Таким образом, формула утверждает, что ожидаемая доходность ценной бумаги положительно связана с коэффициентом бета. Механизм формирования доходности в CAPM можно продемонстрировать, рассмотрев несколько специальных случаев.
Предположим, что . Тогда , т.е. ожидаемая доходность бумаги равна безрисковой ставке. Это объясняется тем, что бумага с нулевой бетой не несет сколько-нибудь значимого риска.
Предположим что . Тогда , т.е. ожидаемая доходность бумаги равна ожидаемой доходности рынка. Результат подтверждается тем фактом, что бета рыночного портфеля равна 1.[8]
Уравнение не претерпит значительных изменений в случае отсутствия безрискового актива или в случае различий в ставках заимствования и кредитования безрисковых активов. В таких случаях рыночный портфель остается эффективным по отношению к достижимому множеству портфелей, составленному из рисковых активов. Уравнение останется неизменным, за исключением замены ставки безрискового актива на ожидаемую доходность рискового портфеля с бетой, равной нулю.
Модель арбитражной теории ценообразования (АРТ) можно считать обобщением модели САРМ, хотя первая выводилась из других предположений. Интересно отметить тот факт, что уравнение АРТ является обобщением уравнения САРМ, хотя арбитражная теория строилась как ее альтернатива. Согласно этому уравнению на изменение стоимости актива влияет не только рыночный фактор (стоимость рыночного портфеля), но и другие, в том числе нерыночные, факторы риска – курс национальной валюты, стоимость энергоносителей, уровень инфляции и безработицы и т.д. Если в качестве факторов риска рассматривать только один стоимость рыночного портфеля, то уравнение совпадает с уравнением САРМ. Учет нескольких факторов позволяет строить более строгую модель. Это приводит к более точному прогнозу изменения цены актива и уменьшению несистематического риска даже без составления больших портфелей.[9]
В классической модели САРМ учитывался только один фактор, и актив характеризовался двумя параметрами – коэффициентом чувствительности беты, характеризующим риск, связанный с этим фактором, и средней остаточной доходностью Е, отвечающей за специфический риск, не объясняемый влиянием выбранного фактора. В модели АРТ появилась возможность учитывать несколько факторов. Теперь актив характеризуется набором показателей беты, каждый из которых представляет собой чувствительность актива к определенному фактору и характеризует систематический риск, связанный с влиянием именно этого фактора, и по-прежнему остаточной доходностью Е. Только теперь величина специфического (не объясненного факторами) риска стала гораздо меньше.
В основу арбитражной теории ценообразования заложено одно утверждение: в условиях равновесного рынка арбитраж (любого рынка) невозможен. Если таковая возможность есть, рынок быстро ее «ликвидирует». Под арбитражем понимается получение гарантированной прибыли на фондовом рынке. Дальнейшие рассуждения по поводу невозможности создания арбитражного портфеля приводят к основному уравнению ценообразования активов, которое и может рассматриваться как практический результат теории.
Зависимость доходности от цены на рынке выражается следующей формулой:
, (7)
где – текущая цена ценной бумаги, а - ожидаемая цена в конце инвестиционного периода. Из вышеприведенной формулы очевидно, что доходность и курс ценных бумаг обратно зависимы.
Зависимость между доходностью и чувствительностью к рынку описывается следующей формулой:
, (8)
где и – константы. Это уравнение называют уравнением ценообразования финансового актива в модели арбитражного ценообразования, когда доходы формируются под воздействием одного фактора. В состоянии равновесия зависимость между доходностью и чувствительностью линейна. Параметры λ, например относительная несклонность инвестора к риску, капитал и предпочтения коротких сроков, зависят от многих факторов.
Зависимость, описанная уравнением, продемонстрирована графически на рис.7. Бумага, лежащая не на линии оценки финансовых активов, неверно оценена и дает инвесторам арбитражные возможности. С течением времени под воздействием спроса и предложения ценная бумага переместится на прямую. Примером подобной бумаги является бумага Х. Инвестор, комбинируя ее с бумагой Е, формирует арбитражный портфель. Арбитражный портфель составляется путем покупки бумаги Х и продажи бумаги Е. Если бы бумага Х находилась ниже линии оценки финансовых активов, портфель бы формировался из покупки бумаги Е и продажи бумаги Х.

Рисунок 7 – Линия оценки финансовых активов в модели АРТ.
Продавая некоторое количество бумаг Х для оплаты бумаг Е, инвестор не затрачивает дополнительных средств, поскольку бумаги имеют одинаковую чувствительность к факторам, продавая одну бумагу и покупая другую, инвестор достигает нулевой чувствительности портфеля. Доходность портфеля будет положительной, т.к. доходность Х больше доходности Е. Эта операция может быть представлена как своп акций, т.е. инвестор обменивает бумаги Е на Х, замещая бумаги с более низкой доходностью на бумаги с более высокой доходностью. Если все инвесторы будут покупать бумагу Х, то вскоре ее цена увеличится, а доходность будет падать, пока бумага Х не окажется на линии оценки финансовых активов модели арбитражного ценообразования.
На рынке всегда существует безрисковый актив. Его чувствительность к рыночным факторам равна нулю. И его ставка доходности постоянна: . Из уравнения (8) следует, что при  , следовательно, . Применяя это для уравнения (8), получим .
Чтобы интерпретировать , рассматривают чистый факторный портфель, т.е. портфель, имеющий единичную чувствительность в фактору . Соответственно ожидаемая доходность такого портфеля равна: , т.е. - это избыточная ожидаемая доходность, превышение ожидаемой доходности актива над безрисковой доходностью. Соответственно называется премией за факторный риск. Обозначив ожидаемую доходность чистого факторного портфеля за δ, получим . Подставив это в уравнение (8), получим вторую версию уравнения ценообразования АРТ:
(9)
Уравнение ценообразования можно обобщить, рассмотрев те случаи, когда доходность актива формирует не один, а несколько факторов. Для большого количества факторов (например, k-факторов) уравнение (9) примет вид:
или , (10)
И уравнение ценообразования преобразится в
(11)
Следовательно, ожидаемая доходность акции равна сумме безрисковой ставки и k-премий за риск, основанных на чувствительностях акций к k-факторам.[10]
Финансовый актив, являясь в принципе обычным товаром на рынке капиталов, может быть охарактеризован ценой, стоимостью, доходностью и риском.
Цена финансового актива реально существует и объективна, по крайней мере, в том смысле, что она объявлена и товар по ней равнодоступен любому участнику рынка. Внутренняя стоимость неопределённа и субъективна.
Можно сформулировать несколько условных правил, позволяющих провести определённое различие между ценой и стоимостью финансового актива:
1. Стоимость – это расчётный показатель, а цена – декларированный, т.е. объявленный, который можно видеть в прейскурантах, ценниках, котировках;
2. С известной долей условности можно утверждать, что стоимость первична, а цена вторична, так как в условиях рынка цена стихийно устанавливается как среднее из оценок стоимости, рассчитываемых инвесторами;
3. В любой конкретный момент времени цена однозначна, а стоимость многозначна, так как зависит от числа профессиональных участников рынка.
В зависимости от того, что является методологическим и информационным обеспечением процесса оценивания, существуют три основные теории оценки: фундаменталистическая, технократическая и теория "ходьбы наугад".[11]
Фундаменталисты считают, что любая ценная бумага имеет внутренне присущую ей ценность, которая может быть количественно оценена, как дисконтированная стоимость будущих поступлений, генерируемых этой бумагой, т.е. нужно двигаться от будущего к настоящему. Всё зависит от того, насколько точно удаётся предсказать эти поступления, а это можно сделать, анализируя общую ситуацию на рынке, инвестиционную и дивидендную политику компании, инвестиционные возможности и т.п.
Технократы, напротив, предлагают двигаться от прошлого к настоящему и утверждают, что для управления текущей внутренней стоимостью конкретной ценной бумаги достаточно знать лишь динамику её цены в прошлом. Используя статистику цен, они предлагают строить различные долго-, средне- и краткосрочные тренды и на их основе определять, соответствует ли текущая цена актива его внутренней стоимости.
Последователи теории "ходьбы наугад" считают, что текущие цены финансовых активов гибко отражают всю релевантную информацию, в том числе и относительно будущего ценных бумаг. Поскольку новая информация с одинаковой степенью вероятности может быть как "хорошей", так и "плохой", невозможно с большей или меньшей определённостью предсказать изменения цены в будущем.[12]
Фундаменталистическая теория является наиболее распространённой. Согласно этой теории, текущая внутренняя стоимость (Vt) может быть рассчитана по формуле:
(11).
где CFi – ожидаемый денежный поток в i-м периоде;
r – приемлемая (ожидаемая или требуемая) доходность.
Приемлемая норма прибыли может устанавливаться инвестором следующими способами:
– в размере процентной ставки по банковским депозитам (rб);
– исходя из процента, выплачиваемого банком вкладчику за хранение его средств (rб) и надбавки за риск инвестирования в данный финансовый актив (rr): r=zb+rr;
– исходя из процента, выплачиваемого по правительственным облигациям (rsb) и надбавки за риск (rr): r=rsb+rr.
Оценка облигации с нулевым купоном рассчитывается по формуле:
(12)
Бессрочная облигация предусматривает неопределённо долгую выплату дохода (CF) в установленном размере или по плавающей процентной ставке. В первом случае формула (12) трансформируется в формулу суммы членов бесконечно убывающей геометрической прогрессии, поэтому:
, (13)
Оценка безотзывной облигации с постоянным годовым доходом производится по уравнению:
, (14).
где M – номинал облигации;
C – купонный доход
Приблизительную оценку доходности купонной облигации без права досрочного погашения можно произвести по формуле:
, (15)
где M – номинал облигации;
P – текущая цена (на момент оценки);
C – купонный доход;
K – число лет, оставшихся до погашения облигации.[13]
Для оценки обыкновенных акций существуют различные методы, наиболее распространённый из них – метод, основанный на оценке их будущих поступлений по уравнению (11).
Оценка акций с равномерно возрастающими дивидендами производится по формуле Гардона:
, (16)
где C – базовая величина дивиденда (последнего выплаченного
дивиденда);
g – темп прироста дивиденда;
r – ожидаемая доходность.
Формула Гардона имеет смысл при r>g.
Из формулы (16) видно, что текущая цена обыкновенной акции очень чувствительна к параметру g, – даже незначительное его изменение может существенно повлиять на цену. Поэтому в расчётах пытаются разбить интервал прогнозирования на подинтервалы, каждый из которых характеризуется собственным темпом прироста g. Так, если выделить два подинтервала с темпами прироста g и р, то формула (11) примет вид:
. (17)
Главная сложность этой модели состоит в выделении подпериодов, прогнозировании темпов прироста и коэффициентов дисконтирования для каждого подпериода.
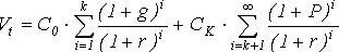
В теории и практике оценки акций описана и получила достаточно широкое распространение ситуация, когда темп прироста дивидендов в течении нескольких лет прогнозного периода меняется (фаза непостоянного роста), однако по истечении этих лет он устанавливается на некотором постоянном уровне. Считается, что такое развитие событий характерно для компаний, находящихся в стадии становления, либо уже зрелых компаний, осваивающих новые виды продукции или перспективные рынки сбыта.
Пусть продолжительность фазы непостоянного роста составляет k лет, дивиденды в этот период по годам равны Cj (j=1,2,…, k), Сk+1 – первый ожидаемый дивиденд фазы постоянного роста с темпом g.
Тогда на основании формулы (16) второе слагаемое в формуле (17) будет иметь вид:
.
Показатель Vtk даёт оценку акции на конец периода k. Поскольку делаем оценку акции с позиции начала первого года, значение Vtk нужно дисконтировать. Формула (4.7), позволяющая рассчитать теоретическую стоимость акции на конец «нулевого» года имеет вид:
, (18)[14]
Таким образом, в данной главе были рассмотрены основные модели и методы оценки финансовых активов предприятия.
Сформируем портфель государственных облигаций на примере некоторого предприятия Х.
Для формирования оптимальной структуры портфеля государственных облигаций будем использовать параметрическую модель Марковица путем ее некоторой модификации. Эта методика оптимизирует структуру портфеля ценных бумаг на основе статистической информации.
В качестве периода накопления информации принят период с 02.03.2010 г. по 13.01.2011 г., т.е. оптимальная структура портфеля формируется на январь 2011 г.
Для решения задачи нахождения оптимальной структуры портфеля еврооблигаций по модели Марковица предлагаются следующие шаги:
1) нахождение математического ожидания и дисперсии эффективной доходности каждой облигации;
2) определение оптимальной структуры облигаций на основании оценки экспертов рынка и средней доходности портфеля;
3) выбор приемлемого соотношения доходности и риска;
4) нахождение доли инвестиций di
в каждую облигацию;
5) определение эффективности мероприятий по оптимизации инвестиционного портфеля еврооблигаций Х.
Исходные параметры следующие. Общий размер инвестиционного портфеля еврооблигаций Предприятия Х на текущую дату составляет 13 960 тыс. долл., и в дальнейшем не предусмотрено его увеличение. Средняя доходность портфеля – 6,17% и она требует повышения.
Таким образом, цель оптимизации инвестиционного портфеля еврооблигаций Предприятия Х – повышение доходности портфеля с соблюдением приемлемого уровня риска при условии сохранения объема вложений в ценные бумаги, т.е. в условиях ограниченности ресурсов. Критерий пригодности ценной бумаги для увеличения ее удельного веса в структуре портфеля – ожидаемая эффективная доходность выше 6,17% при условии соблюдения нормы риска. Степень риска установим ниже, после проведения необходимых расчетов.
Многие ценные бумаги отклонены при первичном отборе по следующим причинам:
– дата размещения выпусков позже даты начала периода накопления информации;
– часть облигаций уже погашена или будет погашена в ближайшее время (малая величина дюрации);
– отсутствие котировок в течение длительного периода вследствие отсутствия торгов из-за низкой ликвидности;
– самая главная причина нецелесообразности включения множества новых инструментов: для обеспечения диверсификации портфеля ценных бумаг количество ценных бумаг в портфеле должно быть не менее восьми, а портфель облигаций должен быть диверсифицирован по сроку до погашения облигаций. При отборе облигаций данные условия изначально были соблюдены – портфель еврооблигаций Предприятия Хуже насчитывает 22 их вида с разными сроками до погашения.
Кроме того, расчеты показали, что ряд из них по степени доходности не соответствует требуемым нам критериям доходности, выше 6,17%, что не позволит их использовать с целью оптимизации инвестиционного портфеля еврооблигаций.
Результаты вычисления математического ожидания и стандартного отклонения эффективной доходности каждой ценной бумаги по формулам представлены в таблице 1.
Таблица 1 – Математическое ожидание и стандартное отклонение эффективной доходности облигаций в составе инвестиционного портфеля.
| Облигации |
Погашение |
Объем, тыс. долл. |
Доля, % |
Матем. Ожидание доходности, % |
Стандартное отклонение, % |
Дюрация, лет |
| Россия, 2011 |
31.03.2011 |
3500 |
25,07 |
2,45 |
-3,72 |
0,2 |
| МинФин (Россия), 7 |
14.05.2011 |
350 |
2,51 |
3,79 |
-2,38 |
1,29 |
| Газпром, 2011 |
27.09.2011 |
200 |
1,43 |
4,01 |
-2,16 |
2,76 |
| Вымпелком, 2011 |
11.02.2011 |
1000 |
7,16 |
4,36 |
-1,81 |
0,06 |
| Москва, 2011 |
12.10.2011 |
200 |
1,43 |
4,90 |
-1,27 |
1,67 |
| Россия, 2018 |
24.07.2018 |
590 |
4,23 |
5,84 |
-0,34 |
5,99 |
| Газпром, 2012 |
09.12.2012 |
125 |
0,90 |
5,99 |
-0,18 |
2,76 |
| Россия, 2030 |
31.03.2030 |
570 |
4,08 |
6,91 |
0,74 |
5,98 |
| Москва, 2016 |
20.10.2016 |
2500 |
17,91 |
7,46 |
1,29 |
5,81 |
| Россия, 2028 |
24.06.2028 |
200 |
1,43 |
7,51 |
1,34 |
9,79 |
| Вымпелком, 2011 |
22.10.2011 |
125 |
0,90 |
8,05 |
1,88 |
1,65 |
| МТС, 2012 |
28.01.2012 |
2450 |
17,55 |
8,20 |
2,03 |
1,85 |
| ТНК-ВР, 2013 |
13.03.2013 |
150 |
1,07 |
8,38 |
2,21 |
2,81 |
| Газпром, 2022 |
07.03.2022 |
100 |
0,72 |
9,13 |
2,96 |
8,26 |
| Газпром, 2034 |
28.04.2034 |
500 |
3,58 |
9,17 |
3,00 |
11,09 |
| АФК Система, 2011 |
28.01.2011 |
100 |
0,72 |
9,46 |
3,29 |
0,96 |
| Газпром, 2037 |
16.08.2037 |
200 |
1,43 |
9,48 |
3,31 |
11,66 |
| ТНК-ВР, 2017 |
20.03.2017 |
300 |
2,15 |
9,57 |
3,40 |
5,7 |
| ТНК-ВР, 2016 |
18.07.2016 |
250 |
1,79 |
9,62 |
3,45 |
5,29 |
| Вымпелком, 2013 |
30.04.2013 |
200 |
1,43 |
10,13 |
3,96 |
2,9 |
| Вымпелком, 2016 |
23.05.2016 |
200 |
1,43 |
10,80 |
4,63 |
5,05 |
| Вымпелком, 2018 |
30.04.2018 |
150 |
1,07 |
11,11 |
4,94 |
6 |
| Всего |
- |
13960 |
100,00 |
- |
- |
Согласно полученным расчетным данным, величина стандартного отклонения колеблется в пределах от -3,72 до 4,94% от среднего значения. Поэтому примем 5% размер отклонения как границу допустимого риска.
Причем величина риска обратно пропорциональна доходности и прямо пропорционально отклонению. Если принять величину отклонения за меру риска, то отрицательное отклонение не только снижает риск, но и доходность, и наоборот (рис. 8).

Рисунок 8 – Распределение риска и доходности ценных бумаг, составляющих инвестиционный портфель Предприятия Х
Согласно этой шкале оценок, из всех присутствующих в инвестиционном портфеле еврооблигаций Предприятия Хнаиболее привлекательными для инвестирования являются 6 видов ценных бумаг:
- Газпром, 2037
- ТНК-ВР, 2017
- ТНК-ВР, 2016
- Вымпелком, 2013
- Вымпелком, 2016
- Вымпелком, 2018.
Они соответствуют максимальной приемлемой доле риска (отклонение не более 5%), доходности (свыше 9%) и величине дюрации (более 1 года).
Эти виды бумаг нужно сохранить или даже увеличить их долю в портфеле.
Такие бумаги, как
- Россия, 2011
- АФК Система, 2011,
- Газпром, 2011
- Вымпелком, 2011
следует исключить из портфеля по причине слишком малой дюрации.
- Также следует исключить Газпром, 2012,
как не обеспечивающую требуемую доходность (как минимум 6,17%).
В то же время следует сохранить составляющие основу безрисковой части портфеля оставшиеся федеральные и муниципальные бумаги.
Кроме того, такие бумаги как
- Вымпелком, 2011
- МТС, 2012
следует заменить в портфеле на более доходные (в пределах допустимого значения порядка 11%), что соответствует отклонению в 5%) и долгосрочные, так как и по срокам, и по доходности они не соответствуют целям формирования портфеля.
Основу умеренно-агрессивного портфеля, по нашей схеме, таким образом, составят:
– облигации федерального и муниципального уровня;
– облигации корпоративного сектора с уровнем доходности в пределах 9–11%, желательно из разных отраслей.
Составив аналитическую группировку по величине стандартного отклонения, приходим к выводу, что искомым условиям лучше всего соответствуют (помимо уже участвующих в портфеле) всего 3 вида облигаций:
1. НК-ВР, 2018 (доходность 9,99%, дюрация 6,07 лет)
2. Новороссийский морской торговый порт, 2012 (10,15% и 2,17 лет)
3. АЛРОСА, 2014 (10,82% и 4 года).
Помимо всего прочего, облигации этих эмитентов представляют еще и разные отрасли промышленности – ТЭК, транспорт, металлургию.
Именно они и составят рисковую часть нового инвестиционного портфеля компании. Кроме этого, предлагается повысить долю каких-либо бумаг из 6 уже названных видов облигаций (Газпром, 2037, ТНК-ВР, 2017, ТНК-ВР, 2016, Вымпелком, 2013, Вымпелком, 2016, Вымпелком, 2018) как наиболее доходных из оставшихся.
Федеральные облигации Russia‑18 $ и Russia‑30 $ подтвердили свой статус безрисковых, но низкодоходных: стандартное отклонение практически равно нулю, доходность равняется средней доходности портфеля.
Среднее стандартное отклонение ценных бумаг в составе инвестиционного портфеля еврооблигаций Предприятия Х представлено на рис. 9.
Дальнейшие вложения в Russia‑18 $ и Russia‑30 $ нецелесообразны по трем причинам:
1. Объем инвестиций в них и так довольно высок;
2. Доходность невысока, что в сочетании с большим удельным весом в структуре инвестиционного портфеля еврооблигаций Предприятия Хне даст повысить его доходность;
3. Рейтинги ведущих аналитических агентств предпочтение отдают другим инструментам инвестирования – корпоративному сектору.
4.

Рисунок 9 – Среднее стандартное отклонение ценных бумаг в составе инвестиционного портфеля еврооблигаций Предприятия Х, %
В результате и остается 3 вида ценных бумаг, пригодных для целей дальнейшего инвестирования:
1. НК-ВР, 2018 (доходность 9,99%, дюрация 6,07 лет)
2. Новороссийский морской торговый порт, 2012 (10,15% и 2,17 лет)
3. АЛРОСА, 2014 (10,82% и 4 года).
Таким образом, оптимизацию инвестиционного портфеля еврооблигаций Предприятия Х путем изменения его структуры решено произвести за счет:
1. Вывода из состава инвестиционного портфеля 6 видов облигаций:
АФК Система, 2011
Вымпелком, 2011
Газпром, 2012
Газпром, 2011
Вымпелком, 2011
МТС, 2012
Россия, 2011
общей суммой (по номиналу, переведенному в доллары) 7500 тыс. $;
2. Приобретения следующего пакета облигаций:
НК-ВР, 2018
Новороссийский морской торговый порт, 2012
АЛРОСА, 2014.
совокупным объемом (по номиналу, переведенному в доллары) 3925 тыс. долл.;
3. Увеличения удельного веса облигаций
Вымпелком, 2013
Вымпелком, 2016
Вымпелком, 2018.
путем приобретения их на сумму 3575 тыс. долл.
В результате общий объем инвестиций не изменится, количество видов облигаций сократится на 4, но доходность портфеля должна повыситься.
Определим объем инвестирования в конкретные ценные бумаги и рассчитаем возможное повышение доходности в процентах и в долларовом эквиваленте.
Объем инвестирования – 7500 тыс. долл. Т.к. степень риска выбранных инструментов находится на приемлемом уровне, а увеличения доходности можно добиться только за счет увеличения доли более рисковых облигаций в составе инвестиционного портфеля, распределим имеющийся капитал не обратно пропорционально риску, а прямо пропорционально доходности еврооблигаций.
Распределение инвестиций представлено в табл. 2.
Таблица 2 – Нахождение объема инвестиций в облигации
| Высвобождение |
Сумма,
тыс. долл.
|
Приобретение |
Сумма,
тыс. долл.
|
Увеличение
доли
|
Сумма,
тыс. долл.
|
Сальдо,
тыс. долл.
|
| АФК Система, 2011 |
100 |
- |
- |
- |
- |
100 |
| Вымпелком, 2011 |
125 |
ТНК-ВР, 2018 |
225 |
- |
- |
-100 |
| Газпром, 2012 |
125 |
- |
- |
Вымпелком, 2013 |
125 |
0 |
| Газпром, 2011 |
200 |
Новороссийский морской торговый порт, 2012 |
200 |
- |
- |
0 |
| Вымпелком, 2011 |
1000 |
- |
- |
Вымпелком, 2016 |
1000 |
0 |
| МТС, 2012 |
2450 |
- |
- |
Вымпелком, 2018 |
2450 |
0 |
| Россия, 2011 |
3500 |
АЛРОСА, 2014 |
3500 |
- |
- |
0 |
| ВСЕГО |
7500 |
- |
3925 |
- |
3575 |
0 |
Таким образом, удельный вес рисковых облигаций в структуре инвестиционного портфеля еврооблигаций Предприятия Х возрастет. Учитывая, что их доходность выше средней по портфелю, а показатели ликвидности выше средних по рынку, это должно означать существенную оптимизацию инвестиционного портфеля еврооблигаций компании.
Действительно, удельный вес федеральных, низкодоходных облигаций снизился с 38 до 12%. Взамен возросла доля промышленности и транспорта до 27%, ранее не представленная ни одним из эмитентов. Тем самым, улучшилась сама структура портфеля. Теперь он представляет собой 5 различных сегментов:
1. федеральный и муниципальный
2. телекоммуникации
3. топливно-энергетический
4. промышленность
5. транспорт (рис. 10).
6.

Рисунок 10 – Структура инвестиционного портфеля Предприятия Х по видам еврооблигаций после оптимизации (проект)
Таким образом, можно говорить о сбалансированности портфеля инвестиций Предприятия Х по степени диверсифицированности, риска и доходности.
Распределение ценных бумаг в составе инвестиционного портфеля еврооблигаций Предприятия Х по степени убывания доходности представлено на рис. 11.
Рассчитаем изменение доходности всего инвестиционного портфеля еврооблигаций и возможный размер дополнительной прибыли.
Доходность отдельных облигаций в составе инвестиционного портфеля еврооблигаций Предприятия Х на начало 2011 г. представлена на рис. 11.
Количество видов облигаций в портфеле составляет 18 видов, что является достаточным для диверсификации портфеля.

Рисунок 11 – Распределение ценных бумаг в составе инвестиционного портфеля еврооблигаций Предприятия Х по степени доходности (проект)
Таким образом, все критерии оптимизации структуры инвестиционного портфеля еврооблигаций Предприятия Х соблюдены:
– общий объем инвестиционного портфеля не превышает уровень 2010 г.;
– изменение структуры произошло за счет роста доли облигаций с показателями ликвидности и привлекательности выше средних по рынку;
– выбраны еврооблигации с длительным сроком погашения;
– обеспечен рост средней доходности инвестиционного портфеля и возможно получение дополнительной прибыли в размере 448,93 тыс. долл.;
– риск вложений остался на приемлемом уровне;
– число видов облигаций – 18 – свидетельствует о высокой степени диверсифицированности портфеля.
Оптимальный портфель облигаций, таким образом, имеет структуру, представленную на рис. 13, а средняя доходность портфеля превысит 9% (рис. 12).

Рисунок 12 – Доходность еврооблигаций Предприятия Х на начало 2011 г. (проект)

Рисунок 13 – Структура оптимального портфеля еврооблигаций Предприятия Х
Найденная структура оптимального портфеля еврооблигаций в дальнейшем может использоваться при укрупнении или дальнейшей диверсификации портфеля ценных бумаг Предприятия Х, при включении в него новых финансовых инструментов (акций).
В данной работе были рассмотрены и проанализированы основные методы финансовых активов.
Финансовые активы (Financial assets) – часть активов компании, представляющая собой финансовые ресурсы: денежные средства и ценные бумаги.
На примере некоторого Предприятия Х был сформирован портфель государственных облигаций.
Все критерии оптимизации структуры инвестиционного портфеля еврооблигаций Предприятия Х были соблюдены:
– общий объем инвестиционного портфеля не превышает уровень 2010 г.;
– изменение структуры произошло за счет роста доли облигаций с показателями ликвидности и привлекательности выше средних по рынку;
– выбраны еврооблигации с длительным сроком погашения;
– обеспечен рост средней доходности инвестиционного портфеля и возможно получение дополнительной прибыли в размере 448,93 тыс. долл.;
– риск вложений остался на приемлемом уровне;
– число видов облигаций – 18 – свидетельствует о высокой степени диверсифицированности портфеля.
Найденная структура оптимального портфеля еврооблигаций в дальнейшем может использоваться при укрупнении или дальнейшей диверсификации портфеля ценных бумаг Предприятия Х, при включении в него новых финансовых инструментов (акций).
1. Балабанов И.Т. Основы финансового менеджмента: Учебное пособие для сред. спец. учеб. завед./ И.Т. Балабанов. – 3-е изд., доп. и перераб.-М.: Финансы и статистика, 2008.
2. Барбаумов В.Е., Гладких И.М., Чуйко А.С. Финансовые инвестиции: Учебник, М.: Финансы и статистика, 2008.
3. Евсеенко О.С., Инвестиции в вопросах и ответах: учебное пособие. – М.: ТК Велби, Изд-во Проспект, 2008.
4. Ильина Л. И. Организация и финансирование инвестиций. – М.: Юнити-Дана, 2007.
5. Лоренс Дж. Гитман, Майкл Д. Джонк. Основы инвестирования. – М.: Инфра-М, 2009.
6. Лукасевич И.Я. Анализ финансовых операций. Методы, модели, техника вычислений – М.: Финансы, ЮНИТИ, 2008.
7. Международные стандарты финансовой отчетности: издание на русском языке М.: Аскери-АССА, 2009.
8. МСФО (IAS) 39 Финансовые инструменты: признание и оценка. М.: Эксмо. 2008.
9. Семенкова Е. В. Операции с ценными бумагами. – М.: Поиск, 2009.
10. Сивец С.А. Справедливая стоимость активов и экспертная оценка//Ориентир. – 2008. – №26.
11. Финансовый менеджмент: Учебное пособие. / Под ред. Прудкого Ю.Н. – М.: Издательство «ЮНП», 2008.
12. Финансовый менеджмент: учеб. пособие по специализации «Менеджмент орг.» / И.М.Карасева, М.А.Ревякина; под ред. Ю.П. Анискина. – 2-е изд., стер. – Москва: Омега-Л, 2007.
13. Финансовый менеджмент: Учебник для студ. вузов, обуч. по спец. «Менеджмент»/ Гос. ун-т упр.; A.M. Ковалева, Н.Б. Москалева, М.Б. Траченко и др.; Под ред. A.M. Ковалевой. – М.: ИНФРА – М, 2008.
14. Финансы предприятий: Учебник/ Н.В. Колчина, Г.Б. Поляк, Л.П. Павлова и др.; Под ред. проф. Н.В. Колчиной. – М.: Финансы, ЮНИТИ, 2008.
15. Шарп У., Александер Г., Бэйли Дж. Инвестиции: Пер. с англ. – М.: ИНФРА-М, 2008.
16. Галасюк В.В., Вишневская-Галасюк А.В., Галасюк В.В. Принципиально новый подход к отражению активов на базе концепции CCF//www.galasyuk.dnepr.net
[1]
МСФО (IAS) 39 Финансовые инструменты: признание и оценка. М.: Эксмо. 2008.
[2]
Международные стандарты финансовой отчетности: издание на русском языке М.: Аскери-АССА, 2009.
[3]
Сивец С.А. Справедливая стоимость активов и экспертная оценка//Ориентир. – 2008. – №26.
[4]
Галасюк В.В., Вишневская-Галасюк А.В., Галасюк В.В. Принципиально новый подход к отражению активов на базе концепции CCF//www.galasyuk.dnepr.net
[5]
Евсеенко О.С., Инвестиции в вопросах и ответах: учебное пособие. – М.: ТК Велби, Изд-во Проспект, 2008.
[6]
Шарп У., Александер Г., Бэйли Дж. Инвестиции: Пер. с англ. – М.: ИНФРА-М, 2008.
[7]
Лоренс Дж. Гитман, Майкл Д. Джонк. Основы инвестирования. – М.: Инфра-М, 2009.
[8]
Лукасевич И.Я. Анализ финансовых операций. Методы, модели, техника вычислений – М.: Финансы, ЮНИТИ, 2008.
[9]
Барбаумов В.Е., Гладких И.М., Чуйко А.С. Финансовые инвестиции: Учебник, М.: Финансы и статистика, 2008.
[10]
Ильина Л. И. Организация и финансирование инвестиций. – М.: Юнити-Дана, 2007.
[11]
Финансовый менеджмент: учеб. пособие по специализации “Менеджмент орг.” / И.М.Карасева, М.А.Ревякина; под ред. Ю.П. Анискина. – 2-е изд., стер. – Москва: Омега-Л, 2007
[12]
Финансовый менеджмент: Учебник для студ. вузов, обуч. по спец. «Менеджмент»/ Гос. ун-т упр.; A.M. Ковалева, Н.Б. Москалева, М.Б. Траченко и др.; Под ред. A.M. Ковалевой. – М.: ИНФРА – М, 2002.
[13]
Семенкова Е. В. Операции с ценными бумагами. – М.: Поиск, 2009.
[14]
Балабанов И.Т. Основы финансового менеджмента: Учебное пособие для сред. спец. учеб. завед./ И.Т. Балабанов. – 3-е изд., доп. и перераб.-М.: Финансы и статистика, 2008.
|