Банк рефератов содержит более 364 тысяч рефератов, курсовых и дипломных работ, шпаргалок и докладов по различным дисциплинам: истории, психологии, экономике, менеджменту, философии, праву, экологии. А также изложения, сочинения по литературе, отчеты по практике, топики по английскому.
Полнотекстовый поиск
Всего работ:
364139
Теги названий
Разделы
Авиация и космонавтика (304)
Административное право (123)
Арбитражный процесс (23)
Архитектура (113)
Астрология (4)
Астрономия (4814)
Банковское дело (5227)
Безопасность жизнедеятельности (2616)
Биографии (3423)
Биология (4214)
Биология и химия (1518)
Биржевое дело (68)
Ботаника и сельское хоз-во (2836)
Бухгалтерский учет и аудит (8269)
Валютные отношения (50)
Ветеринария (50)
Военная кафедра (762)
ГДЗ (2)
География (5275)
Геодезия (30)
Геология (1222)
Геополитика (43)
Государство и право (20403)
Гражданское право и процесс (465)
Делопроизводство (19)
Деньги и кредит (108)
ЕГЭ (173)
Естествознание (96)
Журналистика (899)
ЗНО (54)
Зоология (34)
Издательское дело и полиграфия (476)
Инвестиции (106)
Иностранный язык (62791)
Информатика (3562)
Информатика, программирование (6444)
Исторические личности (2165)
История (21319)
История техники (766)
Кибернетика (64)
Коммуникации и связь (3145)
Компьютерные науки (60)
Косметология (17)
Краеведение и этнография (588)
Краткое содержание произведений (1000)
Криминалистика (106)
Криминология (48)
Криптология (3)
Кулинария (1167)
Культура и искусство (8485)
Культурология (537)
Литература : зарубежная (2044)
Литература и русский язык (11657)
Логика (532)
Логистика (21)
Маркетинг (7985)
Математика (3721)
Медицина, здоровье (10549)
Медицинские науки (88)
Международное публичное право (58)
Международное частное право (36)
Международные отношения (2257)
Менеджмент (12491)
Металлургия (91)
Москвоведение (797)
Музыка (1338)
Муниципальное право (24)
Налоги, налогообложение (214)
Наука и техника (1141)
Начертательная геометрия (3)
Оккультизм и уфология (8)
Остальные рефераты (21692)
Педагогика (7850)
Политология (3801)
Право (682)
Право, юриспруденция (2881)
Предпринимательство (475)
Прикладные науки (1)
Промышленность, производство (7100)
Психология (8692)
психология, педагогика (4121)
Радиоэлектроника (443)
Реклама (952)
Религия и мифология (2967)
Риторика (23)
Сексология (748)
Социология (4876)
Статистика (95)
Страхование (107)
Строительные науки (7)
Строительство (2004)
Схемотехника (15)
Таможенная система (663)
Теория государства и права (240)
Теория организации (39)
Теплотехника (25)
Технология (624)
Товароведение (16)
Транспорт (2652)
Трудовое право (136)
Туризм (90)
Уголовное право и процесс (406)
Управление (95)
Управленческие науки (24)
Физика (3462)
Физкультура и спорт (4482)
Философия (7216)
Финансовые науки (4592)
Финансы (5386)
Фотография (3)
Химия (2244)
Хозяйственное право (23)
Цифровые устройства (29)
Экологическое право (35)
Экология (4517)
Экономика (20644)
Экономико-математическое моделирование (666)
Экономическая география (119)
Экономическая теория (2573)
Этика (889)
Юриспруденция (288)
Языковедение (148)
Языкознание, филология (1140)

Реферат: Геоэкологические аспекты мониторинга здоровья населения промышленных городов

Название: Геоэкологические аспекты мониторинга здоровья населения промышленных городов
Раздел: Рефераты по геологии
Тип: реферат Добавлен 15:26:25 03 июля 2011 Похожие работы
Просмотров: 729 Комментариев: 20 Оценило: 3 человек Средний балл: 5 Оценка: неизвестно     Скачать

Геоэкологические аспекты мониторинга здоровья населения промышленных городов

С.А. Куролап 2009-02-16 19:26

Изложены научно-методические принципы регионального мониторинга здоровья населения. На примере крупного промышленного города показаны перспективы создания компьютерных банков медико-экологических данных. Рассмотрены подходы к оценке риска здоровью и к эколого-гигиеническому зонированию на базе современных информационных технологий.

Автор: С.А. Куролап, кандидат географических наук, доцент кафедры природопользования и мониторинга окружающей среды, зав. учебно-научной лабораторией медицинской экологии факультета географии и геоэкологии Воронежского государственного университета.

Содержание

  • Введение
  • Научно-методические основы мониторинга городской среды
  • Геоинформационные технологии
  • Индикационные (маркерные) критерии и банки медико-экологических данных
    • 1. Блок параметров состояния здоровья населения
    • 2. Блок параметров состояния окружающей среды
    • 3. Блок параметров нормативно-справочной информации
  • Оценка риска здоровью населения
  • Эколого-гигиеническое зонирование
    • Зона пониженной комфортности
    • Зона удовлетворительной комфортности
    • Зона повышенной комфортности
  • Заключение
    • Литература
    • Об авторе

Введение

Среди разделов современной экологии все более актуальным становится одно из прикладных направлений — урбоэкология. Крупные промышленные города превращаются в центры острейших экологических проблем. Прогрессирующая урбанизация ведет к очевидным негативным последствиям: загрязнению городской среды, неконтролируемому росту отходов производства и потребления, деградации растительности и как следствие — ухудшению здоровья населения, проживающего в урбанизированных районах. Заболеваемость населения, как в фокусе, отражает весь спектр неблагоприятных экологических последствий, происходящих в среде обитания.

В последние годы наряду с широким развитием мониторинговых подходов в системе экологического контроля и управлении качеством окружающей среды определенные успехи достигнуты и в разработке научно-методических основ регионального мониторинга здоровья населения крупных промышленных регионов. Реальное воплощение этой задачи становится целесообразным и особенно эффективным в связи с развитием и совершенствованием современных информационных технологий.

В статье излагаются основные принципы мониторинга здоровья населения промышленных городов с учетом контроля состояния среды обитания, иллюстрируемые практическим опытом разработки этой проблемы в Воронеже — крупнейшем промышленном центре Центрального Черноземья с населением около 1 млн человек.

Научно-методические основы мониторинга городской среды

Согласно сложившимся представлениям, мониторинг "среда—здоровье" (медико-экологический мониторинг) определяется как система организационно-технических и профилактических мероприятий, обеспечивающих наблюдение за состоянием среды обитания, здоровья населения, их оценку и прогнозирование, а также действий, направленных на выявление, предупреждение и устранение влияния вредных факторов среды обитания (факторов риска) на здоровье населения.

Факторы риска — это условия окружающей среды, существенно повышающие риск возникновения заболеваний населения. По мнению большинства отечественных и зарубежных экспертов ВОЗ, здоровье человека и его заболеваемость определяются по крайней мере четырьмя группами факторов, взаимодействующих в следующем соотношении: 1) медико-генетическими (20%), 2) образом жизни и качеством питания (50%), 3) состоянием окружающей среды (20%), 4) уровнем развития здравоохранения (10%) [1]. Вопросы количественной оценки вклада каждой группы факторов в общую структуру заболеваемости населения важны, так как определяют объем и специфику профилактических мероприятий.

Методология выявления связей в системе "среда—здоровье" базируется обычно на следующих принципах.

  1. При оценке воздействия окружающей среды на здоровье населения наиболее часто в качестве основного параметра общественного здоровья выбирают заболеваемость детского населения. Детский контингент — своеобразная индикаторная группа, отражающая реакцию коренного населения на вредные воздействия факторов среды. Целесообразность учета детской заболеваемости определяется тем, что дети в меньшей степени, чем взрослые, подвержены внутригородской миграции. Они теснее привязаны к территории, на которой живут и учатся, не испытывают непосредственного влияния профессиональных вредностей. Кроме того, из-за анатомо-физиологических особенностей дети более чувствительны к качеству среды обитания, а сроки проявления неблагоприятных эффектов у них короче. Это повышает достоверность медико-статистических исследований, позволяя делать более объективные выводы об экологической обусловленности заболеваний.
  2. В подавляющем большинстве случаев в связи с загрязнением окружающей среды наблюдается однотипная структура изменения показателей здоровья детей. Например, отклик организма на уровень атмосферного и почвенного загрязнения среды в порядке убывания образует ряд: 1) иммунологическая реактивность; 2) острые заболевания органов дыхания аллергического характера; 3) отклонения от нормы функциональных и физиологических показателей — нарушение гармонического физического развития, увеличение числа лейкоцитов в крови при снижении гемоглобина (анемия); 4) рост хронических заболеваний; 5) увеличение частоты врожденных аномалий, новообразований, болезней крови, системы кровообращения, реагирующих на качество среды обитания [2].

3. Среди геоэкологических факторов риска здоровью горожан обычно выделяют уровень атмо- сферного загрязнения, качество питьевой воды, почвы, архитектурно-планировочную структуру городского пространства, определяющие комфорт жизнеобеспечения и являющиеся предметом контроля соответствующих мониторинговых природоохранных и гигиенических ведомств (Госкомэкология, Госсанэпидемнадзор).

В региональных исследованиях, проведенных на европейской территории страны, в Сибири и на Дальнем Востоке, показано, что загрязнение атмосферного воздуха можно считать ведущим параметром дифференциации территории по состоянию среды обитания [3], [4]. Например, у детей в городах с металлургической промышленностью и высоким загрязнением воздушной среды по сравнению с контрольными группами замедлено физическое и нервно-психическое развитие. Воздействие атмосферных загрязнений сопровождается изменением функции внешнего дыхания, сердечно-сосудистой системы. Так, в городах с развитой нефтехимической промышленностью и вблизи автомагистралей у детей жизненная емкость легких, резервные объемы вдоха и выдоха снижены на 10—30%, а у детей, проживающих вблизи предприятий стройиндуст-рии с большим пылевым выбросом, — на 70%. Среди других индикаторных показателей следует отметить гематологические параметры. Изменения картины крови столь высоки, что нередко это служит основанием в отказе забора донорской крови у населения неблагополучных районов. Причем, по данным Б.А. Ревича [2], совместное действие пыли и некоторых загрязнителей в современных городах имеет высокотоксичный эффект, в частности: а) бензол + никель + сажа + бенз(а)пирен + формальдегид — канцерогенный эффект; б) углеводороды + тяжелые металлы (свинец, медь, ртуть) — нарушение репродуктивной функции женщин, врожденные патологии.

Кроме атмосферного загрязнения немаловажными факторами риска для здоровья являются качество питьевой воды, гигиеническое состояние почвы, в особенности уровень их химического загрязнения и баланс микроэлементов. Широко известны факты положительной корреляции уровня загрязнения питьевой воды нитратами, марганцем, солями тяжелых металлов и распространенности гастритов, урологических заболеваний. В результате дисбаланса микроэлементов в воде могут возникать и многие специфические заболевания, например: уровская болезнь, эндемическая зобная болезнь, и другая краевая патология [1].

Замечено, что дети, проживающие в городах с опасным загрязнением почв, чаще жалуются на одышку и утомляемость, у них нарушены функциональные нормы состояния сердечно-сосудистой системы [4]. По данным С.Б. Нарзулаевас соавторами [5], наиболее значительная корреляция с геохимическими характеристиками почвогрунтов отмечается для заболеваний печени, почек, крови и органов кроветворения, нервной системы. Кроветворная система способна накапливать и реплицировать повреждения, способствуя развитию хронических заболеваний.

На основе обобщения многочисленных экспериментальных данных и региональных исследований в основных чертах сформулированы общие методические принципы территориального медико-экологического анализа: а) приоритетность эпиде-миолого-статистических методов анализа медико-географических данных, закономерности пространственно-временной динамики которых проявляются в больших по численности населения группах (закон больших чисел); б) необходимость учета региональной специфики связей состояния здоровья и качества окружающей среды, влияющей на потенциал самоочищения, условия рассеивания и аккумуляции загрязнителей в среде; в) обязательность выявления порогов воздействия и эффектов суммации вредных факторов риска.

Геоинформационные технологии

Мониторинговый подход к охране здоровья населения развивался параллельно с созданием систем мониторинга окружающей среды, внедрением автоматизированных геоинформационных систем (ГИС) в практику природопользования, экологического контроля и природоохранные сферы деятельности в 70—90-е годы. В тот период ведущими отечественными и зарубежными научными учреждениями было проведено обоснование организационных, информационных и технических аспектов реализации автоматизированных систем применительно к решению задач мониторинга окружающей среды. Использование ГИС-технологий во всем мире пережило за это время период бурного роста, что связано прежде всего с чрезвычайно высокой эффективностью их использования.

В промышленно развитых странах Западной Европы (Швеции, Дании, Германии), а также в США и Японии уже в начале 60-х годов стали формироваться автоматизированные банки медицинских данных. Их развитие было успешным благодаря существованию, например, в Скандинавских странах личного номера, однозначно идентифицирующего каждого человека [1]. На основе таких автоматизированных банков данных позднее начали формироваться территориальные регистры рака, функционирующие сейчас во многих регионах и крупных городах мира и России. Более сложной задачей оказалось формирование банков геоэкологических данных, взаимоувязанных с медицинскими регистрами. До настоящего времени этот процесс находится в стадии становления, причем не столько из-за технических сложностей, которые сейчас успешно решаются на базе вычислительных сетей, сколько из-за ведомственной разобщенности медицинских и природоохранных служб.

Развитие технических средств контроля окружающей среды в зарубежных странах привело к появлению автоматизированных систем слежения за качеством среды обитания, например загрязнением атмосферного воздуха в городах. Такие системы типа АНКОС успешно функционируют в США, Японии, странах Западной Европы и Южной Америки. Развитие этого направления за рубежом идет по пути применения все более совершенной техники, наращивания числа станций и автоматических датчиков для определения вредных примесей в атмосферном воздухе, объединения отдельных станций в системы, а локальных систем в региональные и общегосударственные сети [6].

В отечественной практике системы типа АНКОС начали проектироваться и внедряться с 80-х годов: сначала в Москве, а в 1985—1986 годах в Санкт-Петербурге. Несмотря на их менее высокий технический уровень по сравнению с зарубежными аналогами, разрабатываемые автоматизированные системы мониторинга окружающей среды в настоящее время внедряются в Москве, Казани, Кемерове и других городах. В перспективе значение дистанционных методов мониторинга среды обитания в сочетании с геоэкоинформационными системами сбора и обработки данных, видимо, будет возрастать. По существу в крупных городах уже действуют автоматизированные системы геоэкологического мониторинга, обеспечивающие создание компьютерных городских банков данных о состоянии загрязнения атмосферы и анализ текущей и прогнозируемой обстановки. Широкое распространение получили программные продукты серии "Эколог" (расчет концентрации вредных веществ, содержащихся в выбросах промышленных предприятий; автоматизированные методы прогнозирования последствий аварийного химического загрязнения среды и т.д.).

Все более заметную роль начинают играть автоматизированные рабочие места (АРМ) специалистов соответствующего профиля на базе современных ПЭВМ. Технология АРМ становится основой технической политики и в сфере разработки гео-экоинформационных систем, предназначенных для управления качеством окружающей среды и охраной здоровья населения.

Индикационные (маркерные) критерии и банки медико-экологических данных

Структурные блоки любой системы мониторинга, в том числе и в сфере геоэкологических исследований, формируются на основе комплекса ведущих, то есть маркерных, критериев, подлежащих учету и слежению, а также требующих корректировки в необходимом направлении. Причем в системе регионального мониторинга здоровья населения заболеваемость обычно рассматривают в качестве основного системообразующего блока, а все остальные параметры, в том числе и показатели деятельности сети здравоохранения, — как факторы, воздействующие на здоровье.

Обеспечение гигиенической безопасности населения требует первостепенного учета управляемых факторов риска. В условиях промышленного города к таким критериям, на наш взгляд, следует относить следующие.

1. Блок параметров состояния здоровья населения

  1. Заболеваемость детского населения: общая и по основным классам болезней в соответствии с международной классификацией болезней (МКБ), оцениваемая числом случаев заболеваний в расчете на тысячу детей, с выделением заболеваемости новорожденных и детей в возрасте до 1 года. База данных формируется не менее чем за 3—5-летний период по территориальным медицинским объединениям и отдельным педиатрическим участкам города.
  2. Нарушение репродуктивной функции женщин: частота рождения маловесных детей, осложнения беременности, родов, частота самопроизвольных абортов.

2. Блок параметров состояния окружающей среды

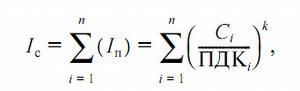
    Состояние воздушного бассейна: среднегодовые, среднесезонные и максимальные за год концентрации основных загрязнителей, удельный вес лабораторных исследований, не соответствующих гигиеническим стандартам (ГОСТ), парциальный (Iп ) и суммарный (Iс ) индексы загрязнения атмосферы, рассчитываемые по формуле

где Сi — средняя за год концентрация i-го вещества; ПДКi — предельно допустимая концентрация i-го вещества; k — константа, принимающая значения 1,5; 1,3; 1; 0,85 соответственно для веществ 1-, 2-, 3-, 4-го классов опасности. Ic рассчитывается для n = 5, то есть из пяти наибольших значений концентрации веществ, определяющих основной вклад в суммарное загрязнение воздуха.

  1. Качество питьевой воды, оцениваемое по уровням химической и микробиологической загрязненности: среднегодовые, среднесезонные и максимальные концентрации основных загрязнителей, кратности превышения ПДК, удельный вес нестандартных анализов.
  2. Уровень загрязнения почвенного покрова в селитебной зоне, оцениваемый по параметрам химического и бактериологического загрязнения: средние и максимальные концентрации загрязнителей (тяжелых металлов и др.), кратности превышения ПДК, суммарный показатель загрязнения, удельный вес нестандартных анализов.
  3. Архитектурно-планировочная и социальная инфраструктура: этажность района, градостроительный баланс (соотношение площадей промышленных, селитебных, рекреационных, аквальных зон, транспортных покрытий), удаленность от крупных объектов экологического риска (промплощадки, свалки и т. д.), транспортно-промышленная нагрузка, наличие объектов соцкультбыта.
  4. Ландшафтно-экологические условия: высотность и расчлененность рельефа, микроклиматические характеристики и потенциал самоочищения атмосферы, глубина залегания грунтовых вод и наличие зон подтопления, ландшафтные микрорайоны (для контрастных в физико-географическом отношении территорий городов).

3. Блок параметров нормативно-справочной информации

Численность населения контролируемых районов города, ПДК учитываемых ингредиентов, кадастр предприятий — загрязнителей среды и т. д. Структура банка данных для обеспечения мониторинга здоровья населения города показана на рис. 1. Его формирование требует привлечения разнообразной информации медицинских, природоохранных, гигиенических, градостроительных служб, ландшафтно-функционального картографирования, экспертно-статистического оценивания.

Рис. 1. Структурные блоки медико-экологического мониторинга промышленного региона

Оценка риска здоровью населения

Реальность и целесообразность создания описанных выше банков медико-экологических данных подтверждаются на примере некоторых городов, в том числе Воронежа. Опыт разработки данной проблемы на кафедре природопользования и мониторинга окружающей среды Воронежского университета совместно с городским Центром гос-санэпидемнадзора показал значительную эффективность предлагаемых подходов. С помощью методов корреляционно-регрессионного анализа на базе программных средств Excel 5.0 для Windows создан компьютерный банк данных о состоянии здоровья детей в условиях городской среды за трехлетний период (1993—1995). Выполненная оценка медико-экологической обстановки свидетельствует об экологической обусловленности некоторых заболеваний населения [7].

Фрагменты формируемых выходных документов, полученных в ходе автоматизированного медико-экологического мониторинга, показаны на рис. 2—4 (электронные картограммы города с ранжированием зон обслуживания детских поликлиник по уровням заболеваемости и параметрам техногенных нагрузок на среду обитания; математико-статистические и графоаналитические модели, иллюстрирующие возрастание риска заболеваний при ухудшении качества среды обитания).

Рис. 2. Картограмма среднегодовых уровней детской заболеваемости в Воронеже (1993-1995), оцениваемых числом случаев на тысячу детей: высокий (1701-2150), средний (1251-1700), низкий уровень (800-1250)

Рис. 3. Регрессионные модели и графические тренды зависимости детской заболеваемости от загрязнения атмосферного воздуха. По осям ординат отложено число случаев на 1000 детей

Рис. 4. Динамика степени загрязнения почвы селитебных зон Воронежа свинцом и цинком (в мг/кг) и распространенности анемии (число случаев на 1000 детей) по территориальным медицинским объединениям

Среди детских заболеваний в Воронеже преобладают болезни органов дыхания (65%), уровень которых имеет тенденцию к росту и превышает аналогичные среднероссийские показатели в 1,2 раза по городу в целом. Профилактики и повышенного контроля требуют, кроме того, новообразования, врожденные аномалии, пространственные различия уровней которых достоверно коррелируют с интенсивностью загрязнения окружающей среды.

В последние годы наиболее неблагополучной является ситуация по загрязнению атмосферы города бенз(а)пиреном и пылью, удельный вес нестандартных лабораторных анализов которых ежегодно составляет около 15—20%. Эколого-геохимическое обследование почвенного покрова показало, что весьма неблагополучна обстановка по загрязнению почвы свинцом и цинком. Доля неудовлетворительных анализов проб почвы составляет по городу в целом 19,3 и 15,5% соответственно, причем в промышленной правобережной части города эта величина увеличивается до 40—46%. Между тем именно эти ингредиенты являются своеобразными индикаторами увеличения заболеваемости детей.

Установлены достоверные положительные связи между концентрациями в атмосфере формальдегида и заболеванием бронхиальной астмой, а также большого содержания в атмосфере пыли с болезнями крови, врожденными аномалиями. Пневмонии чаще регистрируются в районах с превышением нормативов по загрязнению свинцом и оксидом углерода. Полученные результаты свидетельствуют, что по мере увеличения интенсивности загрязнения воздушного бассейна у детей наблюдаются выраженные изменения гематологических показателей, свидетельствующие о снижении адаптационных резервов организма и ответном росте общей заболеваемости.

Любой промышленный город, впрочем, нельзя рассматривать как однородную в медико-экологическом отношении территорию. Это наглядно прослеживается в процессе эколого-гигиенического зонирования.

Эколого-гигиеническое зонирование

В системе мониторинга "среда—здоровье" зонирование городского пространства имеет особое значение, так как позволяет рационально организовать систему оптимизации городского ландшафта с достижением максимального оздоровительного эффекта. Немаловажное значение, как показывает практический опыт, при этом приобретает сложившаяся ландшафтно-планировочная структура. Например, в Воронеже сопоставление зон различной комфортности городской среды с уровнями детской заболеваемости свидетельствует о вполне закономерном формировании ядер экологически обусловленных заболеваний населения. Обобщая имеющиеся материалы, целесообразно выделить три основные градации гигиенической комфортности территории.

Зона пониженной комфортности

Включает левобережный промышленно-селитебный надпойменно-террасовый, а также правобережный плакорно-водо-раздельный промышленно-селитебный ландшафтные микрорайоны. Эколого-гигиеническую обстановку в этих районах следует характеризовать как крайне напряженную. Она создается вследствие концентрации мощных промышленных объектов энергетического, нефтехимического и машиностроительного профилей как в левобережье, так и по западному правобережью города. Удельный вес вредных выбросов в атмосферу города предприятиями этих районов составляет около 76%. Ситуацию усугубляют загруженные автомагистрали, слабое озеленение, очевидные архитектурно-планировочные просчеты, следствием которых является отсутствие необходимых санитарных разрывов между жилыми и промышленными зонами, неучет розы ветров в рассеивании вредных примесей. Как левобережный, так и правобережный промышленные районы отличаются повышенной общей заболеваемостью детского населения, в том числе высокой частотой новообразований, болезней органов дыхания, крови, врожденных аномалий. Например, за последние три года уровень врожденных аномалий и болезней органов дыхания в этих районах превысил средний по России показатель соответственно в 1,8—2 и 1,3—1,6 раза, в то время как в других районах города уровни этих заболеваний не превышали среднероссийские.

Зона удовлетворительной комфортности

Находится в правобережном центральном плакорно-селитебном ландшафтном микрорайоне, где формировалась ранняя (старая) застройка города, смыкающемся с западным селитебным водораздельно-террасовым ландшафтным микрорайоном. Хотя это внепромы-шленные районы, играющие роль либо общественного центра, либо спальных участков города, однако наличие мощных стержневых автомагистралей в сочетании с выровненным рельефом способствует аккумуляции техногенных загрязнений. Концентрация в почве тяжелых металлов — меди, цинка, хрома, свинца — на отдельных локальных участках в десятки раз превышает ПДК. Кроме того, в этих зонах наблюдается повышенная замусоренность бытовыми отходами. Умеренный техногенный прессинг обусловливает преимущественно средний уровень как общей детской заболеваемости, так и по отдельным классам болезней.

Зона повышенной комфортности

Располагается в пределах двух ландшафтных микрорайонов, примыкающих по правобережью к водохранилищу. Это правобережный селитебный приречно-балочный (крутой долинный склон р. Воронеж) и северный селитебный рекреационно-парковый водораздельно-склоновый ландшафтные микрорайоны. Участки отличаются рассредоточенной, преимущественно индивидуальной жилой застройкой с рекреационными объектами и отсутствием промышленных предприятий. Детская заболеваемость практически по всем классам болезней существенно ниже средних по городу и России показателей. Так, за три последних года в этом районе общая заболеваемость составила 0,6 от величины аналогичного российского показателя, в том числе инфекционная — 0,43; органов дыхания — 0,91; по врожденным аномалиям — 0,2. Этот участок города отличается пониженным индексом суммарного загрязнения атмосферы и почвы.

Выполненная гигиеническая оценка и зонирование городского пространства могут быть полезны гигиенистам и градостроителям в разработке оптимизационных мер по озеленению городского ландшафта, совершенствованию технологии производства, проектированию элементов санитарного благоустройства.

Заключение

Обобщение обширного опыта региональных медико-экологических исследований в промышленных регионах свидетельствует о перспективности применения геоэкологического подхода к организации мониторинга здоровья населения, успешно реализуемого на основе современных информационных технологий. По-видимому, развитие данного направления в ближайшем будущем будет наиболее плодотворно на стыке геоэкологии, гигиены и геоинформатики.

При целенаправленном объединении усилий ученых-экологов и гигиенистов-практиков развитие компьютерного медико-экологического мониторинга в перспективе позволит создать взаимосвязанную и координируемую автоматизированную систему оперативного, тактического и стратегического планирования оптимизационных мер, а также выработать рациональную экологическую политику для улучшения городской среды по всем ее компонентам.

Литература

[1] (1 , 2 , 3 ) Руководство по медицинской географии / Под ред. А.А. Келлера и др. СПб.: Гиппократ, 1993. 352 с.
[2] (1 , 2 ) Сает Ю.Е., Ревич Б.А., Янин Е.П. и др. Геохимия окружающей среды. М.: Недра, 1990. 335 с.
[3] Экогеохимия городских ландшафтов / Под ред. Н.С. Касимова. М.: Изд-во МГУ, 1995. 336 с.
[4] (1 , 2 ) Урбоэкология. М.: Наука, 1990. 240 с.
[5] Нарзулаев С.Б., Филиппов Г.П., Савченков Р.П. и др. Связь загрязнения почв тяжелыми металлами и здоровья детей Томска // Гигиена и санитария. 1995. № 4. С. 16-19.
[6] Кошкарев А.В., Тикунов В.С. Геоинформатика. М.: Картгеоцентр—Геодезиздат, 1993. 213 с.
[7] Экология и мониторинг здоровья города Воронежа / Под общ. ред. Н.П. Мамчика и др. Воронеж: ВГУ, 1997.180 с.

Об авторе

Семен Александрович Куролап, кандидат географических наук, доцент кафедры природопользования и мониторинга окружающей среды, зав. учебно-научной лабораторией медицинской экологии факультета географии и геоэкологии Воронежского государственного университета. Область научных интересов: медицинская география, урбоэкология, экоинформатика. Автор 95 научных публикаций, в том числе одного учебно-методического пособия, одной монографии и соавтор пяти коллективных монографий.

Источник: Соросовский образовательный журнал, №6, 1998

Оценить/Добавить комментарий
Имя
Оценка
Комментарии:
Хватит париться. На сайте FAST-REFERAT.RU вам сделают любой реферат, курсовую или дипломную. Сам пользуюсь, и вам советую!
Никита17:04:42 04 ноября 2021
.
.17:04:40 04 ноября 2021
.
.17:04:37 04 ноября 2021
.
.17:04:32 04 ноября 2021
.
.17:04:31 04 ноября 2021

Смотреть все комментарии (20)
Работы, похожие на Реферат: Геоэкологические аспекты мониторинга здоровья населения промышленных городов

Назад
Меню
Главная
Рефераты
Благодарности
Опрос
Станете ли вы заказывать работу за деньги, если не найдете ее в Интернете?

Да, в любом случае.
Да, но только в случае крайней необходимости.
Возможно, в зависимости от цены.
Нет, напишу его сам.
Нет, забью.



Результаты(286767)
Комментарии (4153)
Copyright © 2005-2021 HEKIMA.RU [email protected] реклама на сайте