Содержание
Введение………………………………………………………………………….3
1Особенности формирования цен на рынке жилья……………………………4
1.1 Цели расчета средних цен и индексов цен на рынке жилья………………4
1.2 Основные этапы формирования средних цен и индексов цен на
рынке жилья………………………………………………………………………5
1.3 Отбор товаров-представителей……………………………………………...5
1.4 Отбор городов для наблюдения за ценами и
организаций, осуществляющих продажу жилья……………………………….7
1.5 Порядок регистрации цен и сбора ценовой информации………………….8
1.6 Регистрация цен в условиях временного отсутствия цен на квартиры…..12
1.7 Порядок формирования базисных весов…………………………………...14
1.8 Расчет средних цен одного квадратного метра общей площади квартир..15
2 Затратные методы ценообразования…………………………………………21
2.1 Затратные методы ценообразования, существующие в логистике………23
Заключение………………………………………………………………………25
Список литературы……………………………………………………………...27
Введение
Рынок жилья в России начал развиваться в начале 1990-х годов, когда была разрушена ранее существовавшая система обязательной принадлежности объектов недвижимости к государственному сектору. Реформа жилищного сектора привела к легализации операций в данной сфере, участию в этих процессах физических и юридических лиц. Переход жилищной сферы на рыночные отношения потребовал создания соответствующей информационной базы и методов статистического наблюдения.
Для эффективного управления процессами, происходящими на рынке жилья, как на уровне страны в целом, так и в ее субъектах, необходимо учитывать как специфические особенности субъектов, так и общие тенденции их развития.
Рынок недвижимости можно разделить на три основные группы:
- рынок жилья;
- рынок нежилых помещений;
- рынок земли.
1 Особенности формирования цен на рынке жилья
1.1 Цели расчета средних цен и индексов цен на рынке жилья
Для изучения ценовых процессов на рынке жилья организовано наблюдение за средними ценами и индексами цен на реализуемое жилье. Результаты наблюдения представлены данными об уровне средних цен одного квадратного метра общей площади квартир на первичном и вторичном рынках жилья и темпах их изменения.
Информация о средних ценах жилья используется для оценки его рыночной стоимости при определении размера выплат различного вида субсидий, а также мониторинга реализации федеральных целевых программ и проектов. Показатели динамики цен на рынке жилья используются для сравнительного анализа индексов цен во времени и по субъектам Российской Федерации, т.е. для проведения межвременных и межрегиональных сопоставлений. Кроме того, индексы цен одного квадратного метра общей площади квартир используются при исчислении валового внутреннего продукта (ВВП) в сопоставимых ценах и других макроэкономических показателей, при проведении ретроспективного анализа и прогнозирования, а также в научных исследованиях.
Средние цены на первичном и вторичном рынках жилья в целом по Российской Федерации определяются из уровней цен на жилье, сложившихся в ее субъектах.
Средние цены и индексы цен на рынке жилья исчисляются на основе постоянной структуры весов и позволяют определить динамику цен одного квадратного метра общей площади жилья и индексов цен, не подверженную влиянию изменений объема реализации различных типов жилья.
1.2 Основные этапы формирования средних цен и индексов цен на рынке жилья
Расчет средних цен и построение индексов цен на рынке жилья состоит из следующих этапов:
- отбор товаров-представителей, участвующих в расчетах средних цен и индексов цен;
- отбор городов для наблюдения за ценами и организаций, осуществляющих продажу жилья или предоставляющих посреднические услуги по продаже жилья;
- определение порядка регистрации и сбора информации о ценах;
- формирование базисных весов для исчисления средних цен и индексов цен на жилье различных уровней агрегации;
- расчет средних цен одного квадратного метра общей площади жилья;
- расчет индексов цен на рынке жилья.
1.3 Отбор товаров-представителей
Регистрация цен на рынке жилья по каждому типу квартир осуществляется отдельно на новые квартиры и на квартиры функционирующего жилищного фонда, находящиеся в собственности, если они являются объектами совершения рыночных сделок.
Под товаром-представителем, на который осуществляется регистрация цен на рынке жилья, понимается предназначенная для продажи на первичном или вторичном рынках жилья квартира определенного типа (низкого качества, среднего качества (типовые), улучшенной планировки и элитные) с определенным количеством комнат, в домах различного типа (крупнопанельном и крупноблочном, кирпичном или монолитном, в том числе монолитно-кирпичном).
Перечень товаров-представителей со стандартным описанием характеристик квартир формируется централизованно на федеральном уровне и доводится до специалистов территориальных органов Росстата, которые в обязательном порядке организуют наблюдение за ценами на квартиры, включенные в этот перечень.
Для наблюдения за ценами на первичном и вторичном рынках жилья отбираются квартиры с разным числом комнат в домах различного типа.
Специалистам территориальных органов Федеральной службы государственной статистики при отборе товаров-представителей с конкретными характеристиками для регистрации цен необходимо учитывать тот фактор, что отобранный для регистрации цен товар-представитель (квартира определенного типа на первичном или вторичном рынках жилья) должен участвовать в наблюдении постоянно в течение длительного периода времени.
Продажа участвующих в наблюдении типов квартир должна характеризоваться относительной стабильностью и отражать динамику цен того типа жилья, который они представляют.
Наблюдение охватывает только городской жилищный фонд.
Рынок коттеджного и деревянного жилья в наблюдении не участвует.
В статистическом наблюдении за ценами не участвует жилье, расположенное в сельской местности.
Первичным рынком жилья является рынок, на котором осуществляется передача в частную собственность нового (вновь построенного или реконструированного) жилья на возмездной основе правами, на реализацию которого обладают: государство в лице федеральных, территориальных и местных органов исполнительной власти; фирмы-застройщики, осуществляющие строительство (реконструкцию) объектов недвижимости; юридические и физические лица, официально уполномоченные осуществлять реализацию жилья.
На вторичном рынке жилья собственниками квартир могут выступать как физические, так и юридические лица. Объектом наблюдения на вторичном рынке жилья являются квартиры, находящиеся в частной или в государственной собственности и обладающие определенной степенью износа в результате эксплуатации. Кроме того, на вторичном рынке жилья регистрируются цены на вновь построенные (т.е. не бывшие в эксплуатации) или реконструированные квартиры, являющиеся объектом перепродажи как физическими, так и юридическими лицами.
1.4 Отбор городов для наблюдения за ценами и организаций, осуществляющих продажу жилья
Регистрация цен на рынке жилья для расчета средних цен и индексов цен осуществляется в центрах и отдельных городах всех субъектов Российской Федерации.
Перечень городов и количество организаций, для участия в наблюдении за ценами формируется на уровне субъекта Российской Федерации на выборочной основе.
Критерием отбора городов в субъекте служит:
- наличие организаций осуществляющих продажу или предоставляющих услуги по продаже жилья;
- наличие организаций осуществляющих строительство и продажу жилья (для первичного рынка).
При выборе городов необходимо руководствоваться тем, чтобы в обследование попали города, численность населения которых должна репрезентативно отражать ситуацию цен на рынке жилья.
Отбор организаций для наблюдения за уровнем и изменением цен на рынке жилья в городах производится из общего количества организаций осуществляющих продажу жилья. Территориальные органы Федеральной службы государственной статистики отбирают для регистрации цен организации, совершающие операции на рынке жилья таким образом, чтобы их ценовая информация в максимальной степени отражала специфику изменения цен на квартиры всего городского жилищного фонда субъекта.
При формировании перечня базовых организаций следует руководствоваться следующим:
- в составе базовых организаций, представляющих информацию об уровне цен на рынке жилья должны быть представлены не только крупные организации, осуществляющие большой объем сделок, но и организации с небольшим объемом сделок. Это связано с тем, что динамика цен в организациях с различным масштабом оборота может существенно различаться.
В случаях, если в отобранных городах операции по продаже жилья осуществляют всего 1 - 3 организации, они также должны быть включены в наблюдение.
В статистическом наблюдении за ценами участвуют юридические лица, а также граждане, осуществляющие предпринимательскую деятельность без образования юридического лица (индивидуальные предприниматели), обладающие законным правом на осуществление операций по купле-продаже недвижимости (далее - организации).
1.5 Порядок регистрации цен и сбора ценовой информации
Статистическая информация о ценах одного квадратного метра общей площади жилья предоставляется ежеквартально юридическими лицами или индивидуальными предпринимателями, осуществляющими операции с недвижимостью.
Предоставление информации о цене одного квадратного метра общей площади квартир производится на бланках формы федерального статистического наблюдения N 1-РЖ "Сведения об уровне цен на рынке жилья", подписанных должностным лицом, ответственным за предоставление статистической информации (лицом, уполномоченным предоставлять статистическую информацию от имени юридического лица или от имени гражданина, осуществляющего предпринимательскую деятельность без образования юридического лица).
Первоначально контактная связь со специалистами организаций, предоставляющих отчет, может быть установлена с помощью письма, в котором сообщается, что на основании Федерального закона N 282-ФЗ от 29 ноября 2007 года "Об официальном статистическом учете и системе государственной статистики в Российской Федерации" и Постановления правительства РФ от 18 августа 2008 г. N 620 "Об условиях предоставления в обязательном порядке первичных статистических данных и административных данных субъектам официального статистического учета", организации должны предоставлять информацию по форме государственного статистического наблюдения N 1-РЖ "Сведения об уровне цен на рынке жилья". В письме должна быть четко и обоснованно изложена необходимость получения данных, подробно разъяснены цели и задачи использования и важности представляемой информации.
Регистрации подлежит сложившаяся на конец отчетного квартала средняя цена одного квадратного метра общей площади квартир отдельно на первичном и вторичном рынках жилья (с учетом налога на добавленную стоимость). Цены на жилье в бланке формы приводятся в рублях.
Все показатели рассчитываются по итогам сделок, по состоянию на 25 число последнего месяца отчетного квартала или на ближайшую дату в тех случаях, когда по состоянию на 25 число сделок не производилось.
В бланке формы проставляется цена одного квадратного метра общей площади квартир с указанием спецификации жилья в зависимости от его качества, числа комнат, материала стен домов, а также доля проданной общей площади квартир определенного типа в общем количестве реализованной площади в этой организации.
На первичном рынке жилья указываются цены одного квадратного метра общей площади квартир, проданных как с отделкой, так и без отделки или с частичной отделкой.
Квартиры с отделкой - это квартиры с полной готовностью под заселение.
Квартирами без отделки или с частичной отделкой (если это предусмотрено проектом или указывается при заключении договора купли-продажи) являются квартиры с разной степенью готовности для проживания, в которых необходимы работы, связанные с отделкой. Эти квартиры могут иметь следующие виды отделки:
- бетонную стяжку пола,
- оштукатуренные стены и потолок,
- разводку коммуникаций,
- сантехнику,
- плиты (газовые или электрические) и т.д.
Квартиры низкого качества - это квартиры в домах первых массовых серий застройки, пониженной этажности (включая 5-этажные дома). Такие дома отличаются небольшими по площади квартирами, низким качеством строительных материалов, изношенностью коммуникаций, неудобными планировками (часто были спроектированы как квартиры гостиничного (коридорного) типа с кухней и удобствами на этаже), с ограниченным набором инженерных коммуникаций (не имеющие хотя бы одного из следующих видов коммунальных удобств: водопровода, канализации, центрального отопления, горячего водоснабжения). К такому типу можно отнести и квартиры в кирпичных домах 18-19 веков с деревянными перекрытиями, ограниченным набором инженерных коммуникаций.
Следует иметь в виду, что цены на квартиры низкого качества регистрируются только на вторичном рынке.
Квартиры среднего качества (типовые квартиры) - это квартиры в кирпичных, крупнопанельных и крупноблочных домах, построенных по типовым проектам. Они имеют улучшенную планировку по сравнению с квартирами "низкого качества" (как правило, это квартиры с наличием небольших подсобных помещений, возможно со смежными комнатами и т.д.), но в силу невысокого качества строительства, уступающие качеству квартир современных домов.
Квартиры улучшенного качества - это квартиры в кирпичных, крупноблочных и крупнопанельных домах массовой типовой застройки с улучшенными бытовыми характеристиками: наличием всех видов коммунальных удобств, как правило, изолированными комнатами, наличием больших подсобных помещений (т.е. более удобные и просторные планировки квартир). К этому типу квартир относятся также квартиры в современных монолитных, в том числе монолитно-кирпичных домах. В таких домах выше качество применяемых строительных материалов и инженерных коммуникаций. За счет применения новых технологий может быть предусмотрена возможность изменения их планировок.
Элитные квартиры - это квартиры в кирпичных и монолитных, в том числе монолитно-кирпичных, домах повышенной комфортности, построенных по индивидуальным проектам, а также в домах, построенных в конце 19-го начале 20-го веков, с металлическими перекрытиями и (часто) лифтами зачастую расположенных в историческом центре и представляющих культурную и архитектурную ценность. К этому типу относятся также квартиры в "сталинских" домах, построенных незадолго до и десятилетие после Великой Отечественной войны. Это преимущественно кирпичные дома, с толстыми стенами, высокими потолками, большими просторными квартирами. Такие дома расположены либо непосредственно в центре города, либо вдоль основных магистралей.
Критерии отнесения жилья к какому-либо типу (низкого качества, среднего качества (типовое), улучшенного качества, элитное) определяются специалистами территориальных органов государственной статистики совместно с сотрудниками организаций, осуществляющих операции с недвижимостью. При определении типа продаваемой квартиры необходимо руководствоваться специфическими и экономическими условиями субъекта: этажность домов, наличие отдельных видов коммунальных услуг и т.п.
Цены на квартиры в центрах и отдельных городах субъектов Российской Федерации регистрируются в разбивке по различным классификационным признакам (качеству жилья, количеству комнат, материалу стен дома и т.д.) отдельно на первичном и вторичном рынках жилья.
1.6 Регистрация цен в условиях временного отсутствия цен на квартиры
Наибольшие трудности связаны с временным отсутствием продаж квартир какого-либо типа и регистрации цен на них.
В течение отчетного года в каждом субъекте Российской Федерации количество городов и отчитывающихся организаций в этих городах должно быть постоянным в пределах каждого из рынков жилья. В случае значительного повышения или снижения текущей цены по сравнению с ценой, приведенной в предыдущем отчете, специалисты организации, участвующей в наблюдении за ценами, должны указать конкретную причину изменения.
В случае не предоставления одной или несколькими организациями сведений об уровне цен на первичном или вторичном рынках жилья в одном или нескольких кварталах отчетного года специалисты территориальных органов статистики должны заполнить макеты входной информации по этим организациям. Наиболее распространенным способом учета недостающих показателей по ценам является использование для каждой организации расчетных (оценочных) значений до тех пор, пока не будут получены данные о фактических ценах.
Существует несколько основных методов исчисления расчетных цен, позволяющих обеспечить непрерывность индексных рядов:
- использование относительного изменения цен на аналогичный тип квартир в другой организации;
- использование среднего изменения цен по другим типам квартир на соответствующем рынке, в который входит временно исчезнувший из продажи тип квартиры;
- использование среднего изменения цен по всем типам квартир в субъекте.
В условиях высоких темпов инфляции не рекомендуется в случаях не предоставления базовыми организациями фактических цен использовать для индексных расчетов цены предыдущих периодов, не изменяя их в течение продолжительного времени. Цены предыдущих периодов можно использовать только в условиях стабильной динамики цен и лишь за Один-два квартала по согласованию со специалистами организации, занимающейся продажей жилья.
Замена отобранных для наблюдения товаров-представителей с конкретными характеристиками на другие в течение отчетного года, как правило, не допускается. В исключительных случаях, когда продажа наблюдаемого типа квартир на определенном рынке в базовой организации прекращена, может быть осуществлена замена товара-представителя.
Для обеспечения сопоставимости индексных рядов цена одного квадратного метра общей площади квартиры, вновь включенной в наблюдение, должна быть получена за возможно более длительный предыдущий период. При этом замена товара-представителя должна быть осуществлена в соответствии с методологическими принципами, описанными ниже.
При полном прекращении продажи какого-либо типа квартир отчитывающейся организацией, а также при закрытии организации рекомендуется руководствоваться следующим.
Если закрытие организации или полное прекращение продажи квартир произошло в начале года, то необходимо проверить, есть ли в субъекте другая организация, занимающаяся реализацией жилья, но не попавшая в наблюдение. В случае наличия подобной организации следует произвести замену организации и наблюдаемых типов квартир на аналогичные. Если равноценной замены сделать невозможно, то этот тип квартир или организация исключается из наблюдения и, соответственно, пересчитываются сводные индексные ряды за предшествующие периоды. Для более точного осуществления процедуры замены исчезнувшей позиции рекомендуется помимо участвующих в наблюдении организаций, дополнительно осуществлять наблюдение за ценами в аналогичных организациях по типам квартир со сходными характеристиками.
Если закрытие организации или прекращение продажи определенного типа жилья произошло в середине года, то необходимо до конца отчетного года осуществлять исчисление "расчетных" (оценочных) цен на отсутствующую позицию, а в следующем году - заменить на другую организацию.
1.7 Порядок формирования базисных весов
Расчет средних цен и индексов цен проводится на региональном и федеральном уровнях.
На уровне субъекта Российской Федерации при осуществлении расчетов используются два вида базисных весов:
- для расчета средних цен одного квадратного метра общей площади проданного жилья по городам субъекта в течение отчетного года, отдельно для первичного и вторичного рынков жилья, в качестве весов принимаются среднегодовые доли типов проданных квартир из общего объема продаж за предыдущий год, рассчитанные для каждого города;
- в качестве базисных весов для расчета средних цен и индексов цен на первичном и вторичном рынках жилья по субъекту Российской Федерации в течение отчетного года используется информация о численности городского населения на начало отчетного года в городах, которые участвуют в наблюдении в данном субъекте.
На федеральном уровне при расчете средних цен и индексов цен базисными весами являются:
- для первичного рынка жилья - данные о вводе в действие жилья (форма N С-1 "Сведения о вводе в эксплуатацию зданий и сооружений и реализации инвестиционных проектов") за предыдущий год;
- для вторичного рынка жилья - информация о численности городского населения субъекта на начало отчетного года.
Ввиду того, что при расчете средних цен по типам квартир в субъекте Российской Федерации используются постоянные веса для каждого типа квартир, в течение года наблюдение должно осуществляться по этим типам квартир.
Поскольку для расчета индекса цен в I квартале отчетного года необходима средняя цена 1 квадратного метра общей площади квартиры IV квартала предыдущего года, следует при расчете индексов цен за первый квартал обеспечить полное заполнение информации за IV квартал по всем типам квартир, по которым будет осуществляться наблюдение за ценами в отчетном году.
В том случае, если отобранная для наблюдения за ценами квартира ранее не участвовала в наблюдении, ее цену следует рассчитывать, используя приведенные выше рекомендации.
Средние цены и индексы цен (на уровне субъекта) рассчитываются только на те типы проданных квартир, по которым в базисном году имеется информация. Если в отчетном году в одной из наблюдаемых организаций была продана квартира, которая не продавалась в базисном году, то такой тип квартир не участвует в расчетах средних цен и индексов цен. В этом случае необходимо осуществлять наблюдение за ценами на этот тип квартир в текущем году для включения в расчет в следующем году.
1.8 Расчет средних цен одного квадратного метра общей площади квартир
Средняя цена одного квадратного метра общей площади квартир с определенным числом комнат каждого типа жилья в отчете каждой отобранной для наблюдения организации определяется на основании данных о фактических ценах сделок, совершенных в конце квартала, в расчете на один квадратный метр общей площади, взвешенных на количество общей реализованной площади квартир отдельно на первичном и вторичном рынках жилья.
Доля проданной общей площади квартир рассчитывается, как частное от деления площади квартир каждого типа на общее количество реализованной общей площади квартир всех типов.
Расчет средних цен по субъекту Российской Федерации проводится в два этапа.
На первом этапе рассчитывается средняя цена 1 кв. метра общей площади квартир по всем их типам (среднего качества (типовые), улучшенной планировки, элитные и низкого качества) и квартир с разным числом комнат (однокомнатные, двухкомнатные, трехкомнатные, 4-х и более комнатные) определенного типа дома (крупнопанельные и крупноблочные, кирпичные, монолитные, в т.ч. монолитно-кирпичные) на первичном и вторичном рынках жилья в каждом наблюдаемом городе субъекта.
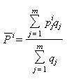
Вначале рассчитывается средняя цена одного квадратного метра общей площади квартир с разным числом комнат (однокомнатные, двухкомнатные, трехкомнатные, 4-х и более комнатные) в пределах каждого типа жилья (среднего качества (типовые), улучшенной планировки, элитное и низкого качества). Для каждого типа квартир она определяется как простая средняя арифметическая невзвешенная величина из цен всех участвующих в наблюдении базовых организаций этого города.
Затем рассчитывается средняя цена одного квадратного метра общей площади квартир по каждому типу квартир (среднего качества (типовые), улучшенной планировки, элитные и низкого качества) и по всем типам, а также квартир с определенным числом комнат (однокомнатные, двухкомнатные, трехкомнатные, 4-х и более комнатные) конкретного типа дома на первичном и вторичном рынках для каждого наблюдаемого города. Она определяется как средневзвешенная величина из цен одного квадратного метра общей площади квартир с разным числом комнат в пределах каждого типа дома и их доли в общем объеме реализованной общей площади по данному типу квартир. В качестве весов используются среднегодовые доли проданной общей площади жилых помещений по данному типу квартир за предыдущий год.

где:
- средняя цена одного квадратного метра общей площади квартир по городу, рассчитанная по i-ому типу квартир;
i - идентификатор типа квартиры;
n - количество квартир с разным числом комнат в i-ом типе квартир;
k - вид квартиры с разным числом комнат в i-ом типе квартир;
- средняя цена одного квадратного метра общей площади k-ого вида квартир с разным числом комнат в i-ом типе квартир;
- среднегодовая доля проданных квартир в общем объеме реализованной общей площади k-ого вида квартиры с разным числом комнат в i-ом типе квартир.
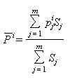
На втором этапе рассчитывается средняя цена одного квадратного метра общей площади квартир по всем типам (среднего качества (типовые), улучшенной планировки, элитные и низкого качества) и квартир с разным числом комнат (однокомнатные, двухкомнатные, трехкомнатные, 4-х и более комнатные) определенного типа дома в целом по субъекту Российской Федерации.
По субъекту средняя цена одного квадратного метра общей площади квартир каждого типа (среднего качества (типовые), улучшенной планировки, элитные и низкого качества) и квартир с разным числом комнат (однокомнатные, двухкомнатные, трехкомнатные, 4-х и более комнатные) определенного типа дома как на первичном, так и на вторичном рынках жилья рассчитывается на основании цен одного квадратного метра общей площади квартир, сложившихся в наблюдаемых городах субъекта Российской Федерации, и данных о численности городского населения этих городов.
Формула расчета средних цен одного квадратного метра общей площади квартир на первичном рынке жилья по субъекту по каждому из типов квартир имеет следующий вид:

где:
- средняя цена одного квадратного метра общей площади квартир по субъекту, рассчитанная по i-ому типу квартир;
i - идентификатор типа квартиры;
z - идентификатор города в субъекте Российской Федерации,
n - число наблюдаемых городов в субъекте;
- средняя цена одного квадратного метра общей площади i-ого типа квартир в z-ом городе субъекта Российской Федерации;
- численность городского постоянного населения на начало отчетного года в z-ом городе субъекта Российской Федерации.
Аналогичным образом, исходя из данных по городам, определяются средние цены одного квадратного метра общей площади квартир на вторичном рынке жилья.
В целом по России и по федеральным округам средняя цена одного квадратного метра общей площади квартир каждого типа (среднего качества (типовые), улучшенной планировки, элитные) и квартир с разным числом комнат (однокомнатные, двухкомнатные, трехкомнатные, 4-х и более комнатные) определенного типа дома (крупнопанельные и крупноблочные, кирпичные, монолитные, в т.ч. монолитно-кирпичные) на первичном рынке жилья рассчитывается на основании цен одного квадратного метра общей площади квартир, сложившихся в субъектах Российской Федерации, и данных о вводе в действие жилья (форма N С-1 "Сведения о вводе в эксплуатацию зданий и сооружений и реализации инвестиционных проектов") за прошлый год.
Формула расчета средних цен одного квадратного метра общей площади квартир на первичном рынке жилья по федеральному округу по каждому из типов квартир имеет следующий вид:

где:
- средняя цена одного квадратного метра общей площади квартир по федеральному округу, рассчитанная по j-ому типу квартир;
i - идентификатор типа квартиры;
j - идентификатор субъекта Российской Федерации, входящего в состав федерального округа;
m - число субъектов в составе федерального округа;
- средняя цена одного квадратного метра общей площади i-ого типа квартир в j-ом субъекте Российской Федерации;
- введено в действие квадратных метров общей площади в j-ом субъекте Российской Федерации в базовом периоде.
Аналогичным образом, исходя из данных по федеральным округам, определяются средние цены одного квадратного метра общей площади квартир на первичном рынке жилья по России.
На вторичном рынке жилья средняя цена одного квадратного метра общей площади квартир каждого типа (среднего качества (типовые), улучшенной планировки, элитные и низкого качества) и квартир с разным числом комнат (однокомнатные, двухкомнатные, трехкомнатные, 4-х и более комнатные) определенного типа дома по России и федеральным округам определяется на основании цен одного квадратного метра общей площади квартир, сложившихся в субъектах Российской Федерации, и численности городского населения (на начало отчетного года).
Формула расчета средних цен одного квадратного метра общей площади квартир на вторичном рынке жилья по федеральному округу по каждому из типов квартир приведена ниже:

где:
- средняя цена одного квадратного метра общей площади квартир по федеральному округу, рассчитанная по i-ому типу квартир;
i - идентификатор типа квартиры;
j - идентификатор субъекта Российской Федерации, входящего в состав федерального округа;
m - число субъектов в составе федерального округа;
- средняя цена одного квадратного метра общей площади i-ого типа квартир в j-ом субъекте Российской Федерации;
- численность городского постоянного населения на начало отчетного года в j-ом субъекте Российской Федерации.
Аналогичным образом, исходя из данных по федеральным округам, определяются средние цены одного квадратного метра общей площади квартир на вторичном рынке жилья по России в целом.
2
Затратные методы ценообразования
Затратные методы ценообразования широко распространены. Это объясняется тем, что в условиях административных методов управления экономикой они превалировали кроме того, в их основе лежит калькуляция издержек производства и сбыта продукции, следовательно, цена, сформированная затратными методами, имеет обоснование, которое трудно оспорить. Сфера применения их ограничена, так как они могут служить только для определения начальной, базовой цены товара и обоснования факта выхода товара на рынок или организацию его выпуска на предприятии. Для установления окончательной цены нужно принимать во внимание факторы изменяющейся конъюнктуры рынка.
Существует несколько затратных методов, определяющих цену по принципу «издержки плюс прибыль».
1. Затратный метод с учетом полных (или средних) издержек на производство продукции основан на определении полной себестоимости, включающей как переменные, так и постоянные издержки. Суть метода состоит в суммировании совокупных издержек: переменные (или прямые) плюс постоянные (или накладные), и прибыли, которую предприятие рассчитывает получить.
Главное преимущество данного метода — его простота и удобство. Это связано с тем, что у производителя всегда имеются данные о собственных затратах. Однако он имеет два больших недостатка:
1) при установлении цен не принимаются во внимание имеющийся спрос на товар и конкуренция на рынке, поэтому возможна ситуация, когда товар при данной цене не будет пользоваться спросом;
2) любой метод отнесения на себестоимость товара постоянных накладных расходов, которые являются расходами по управлению предприятием, а не расходами для производства данного товара, является условным.
2. Метод прямых (или предельных) затрат базируется на установлении цены путем добавления к переменным затратам определенной надбавки — прибыли. При этом постоянные расходы как расходы предприятия в целом не распределяются по отдельным товарам, а погашаются из разницы между суммой цен реализации и переменными затратами на производство продукции. Эта разница получила название «добавленной» или «маржинальной» прибыли. При правильном подходе переменные (прямые) издержки должны явиться тем пределом, ниже которого ни один производитель не будет оценивать свою продукцию. В любом случае истинная функция издержек заключается в установлении нижнего предела для первоначальной цены на товар, в то время как ценность этого товара для потребителя определяет высший предел цены на него.
Продажа товара по цене, рассчитанной по такому методу, эффективна на стадии насыщения, когда нет роста продаж, и предприятие хочет сохранить объем сбыта на определенном уровне.
3. Метод расчета цены на основе анализа безубыточности и обеспечения целевой прибыли базируется на том, что предприятия стремится установить цену на свой товар на таком уровне, который обеспечивал бы получение желаемого объема прибыли. Точка безубыточности — это точка пересечения кривой общей выручки и кривой общих затрат. В точке безубыточности объем прибыли равен нулю. Основным недостатком метода определения цены на основе анализа безубыточности является то, что не учитывается взаимосвязь цены товара и фактического спроса.
4. Метод установления цены на основе анализа рентабельности инвестиций. Основная задача данного метода состоит в том, чтобы оценить полные затраты при различных программах производства товара и определить объем выпуска, реализация которого по определенной цене позволит окупить соответствующие капиталовложения. Устанавливаемая надбавка к издержкам производства включает процент дохода на инвестированный капитал.
5. Метод структурной аналогии. Суть данного метода заключается в том, что при установлении цены нового товара определяют структурную формулу цены по его аналогу. Для этого используют фактические или статистические данные о доле основных элементов в цене или себестоимости аналогичного товара. Если возможно точно определить для нового товара один из элементов цены, например материальные затраты, нормы расхода и т. п., то, перенося структуру аналога на новый товар, можно рассчитать ориентировочную цену.
В отечественной практике затратные методы применяются при установлении цен на:
• принципиально новую продукцию, когда ее невозможно сопоставить с выпускаемой продукцией и недостаточно известна величина спроса;
• продукцию, производимую по разовым заказам с индивидуальными особенностями производства (строительные, проектные работы, опытные образцы);
• товары и услуги, спрос на которые ограничен платежеспособностью населения (ремонтные услуги, продукты первой необходимости).
2.1 Затратные методы ценообразования, существующие в логистике
Основная цель логистического ценообразования — определить такой уровень цен на продукцию в условиях рынка, которая бы являлась оптимальным балансом между покупателем и издержками логистической системы при изготовлении данного товара. Поэтому цены базируются на формировании спроса, конкуренции, качества товара и т.п., а также на своих производственных, коммерческих, административных затратах, соответствующих определенной цене и изменяющихся в зависимости от конъюнктуры рынка. Для расчета цены в настоящее время все более широко применяются методы, основанные на определении полных издержек, ориентирующиеся на прямые затраты и учитывающие совокупность всех рыночных условий, особенно условий сбыта. Суть таких методов состоит в суммировании всех издержек (переменных, постоянных) и желаемой прибыли. При формировании цены на основе данного метода не принимаются во внимание имеющийся спрос на товар, конкуренцию на рынке. Здесь нельзя предугадать, будет ли пользоваться товар при данной цене спросом, будет ли продукция конкурентов лучше по качеству и т.д. Любой метод отнесения на себестоимость товара постоянных накладных расходов, которые являются расходами по управлению предприятием, а не расходами для производства данного товара, является условным.
Более совершенным и более сложным является многофакторный метод ценообразования, который учитывает целый комплекс условий, формирующих цену. Метод прямых затрат подразумевает установление цены путем добавления к переменным затратам определенной надбавки. При этом постоянные расходы не распределяются по отдельным товарам, а погашаются за счет разницы между суммой цен реализации и переменными затратами на производство продукции. Такую разницу называют маржинальной прибылью (добавленной). Функция издержек заключается в установлении нижней границы для первоначальной цены на продукт, хотя ценность этого продукта для потребителя определяется высшей границей установления цены на него. В действительности переменные издержки могут при определенных условиях выступать в качестве нижней границы цены. В случае метода прямых затрат ценообразование начинается с оценки потенциального объема продаж по каждой предлагаемой цене. Подсчитывается сумма прямых затрат, переменных; определяется величина наценки на единицу продукции и на весь объем прогнозируемых продаж по предлагаемой цене, при этом вычитаются из полученных суммарных наценок постоянные расходы и определяется прибыль при реализации продукции.
Расчет цен на основе метода предельных издержек также основывается на себестоимости, но этот метод наиболее сложен. При предельном ценообразовании надбавка делается только к предельно высокой себестоимости производства каждой последующей единицы уже освоенного товара или услуги. Этот метод целесообразно применять, если есть гарантия продажи товара по более высокой цене, чтобы покрыть накладные расходы. Метод учета рентабельности инвестиций также относится к группе метода на основе издержек. Суть этого метода заключается в оценке полных затрат при разнообразных программах производства товара и определения объема его выпуска, реализация которого по определенной цене позволит окупить соответствующее капиталовложение. Это единственный метод, который учитывает платность финансовых ресурсов, необходимых для производства и реализации товара. Этот метод можно использовать при принятии решений о величине объема производства нового для предприятия товара с известной рыночной ценой, но у этого метода также присутствует недостаток — использование процентных ставок, которые в условиях инфляции неопределенны во времени.
Заключение
При расчете исходной цены фирмы пользуются различными подходами к проблеме ценообразования. Один из таких подходов - установление со скидками и зачетами, когда фирма предоставляет скидки за платеж наличными, скидки за количество закупаемого товара, сезонные скидки и производит зачеты. Второй - установление цен для стимулирования сбыта, когда фирма решит прибегнуть к ценам для особых случаев или предлагает скидки наличными. Третий подход - установление дискриминированных цен, когда фирма назначает разные цены для разных клиентов, на разные варианты товара, для разных мест и разного времени. Четвертый подход - установление цен на новый товар, когда фирма предлагает защищенную патентом новинку либо в рамках стратегии «снятия сливок», либо в рамках стратегии прочного внедрения на рынок. Пятый подход - ценообразование в рамках товарной номенклатуры, когда фирма устанавливает ценовые ориентиры для ряда изделий в рамках товарного ассортимента, устанавливает цены на дополняющие товары, обязательные принадлежности и побочные продукты производства.
Решая вопрос об инициативном изменении цен, фирма должна тщательно изучать вероятные реакции потребителей и конкурентов. Реакция потребителей зависит от того, какой смысл усматривают они в изменение цены. Реакции конкурентов являются либо следствием четких установок политики реагирования, либо результатом конкретной оценки каждой вновь возникающей ситуации. Фирма, планирующая инициативное изменение цен, должна так же предвидеть наиболее вероятные реакции поставщиков, дистрибьюторов и государственных учреждений. В случае изменения цен, предпринятого кем-то из конкурентов, фирма должна попытаться понять его намерения и вероятную длительность нововведения. Если фирма желает быстро реагировать на происходящие изменения, ей следует заранее планировать свои ответные меры на возможные маневры конкурентов.
Список литературы
1. Беляева И. Ю. Ценообразование: учеб. пособие. 2-е изд., доп. / И. Ю. Беляева, О.В. Панина, В.В. Головинский и др. – М.:КНОРУС, 2005. –176 с.
2. Гужавина Л. М. Ценообразование в отдельных отраслевых комплексах: учеб. пособие. - М.: НИБ, 2003 - 154 с.
3. Липсиц И. В. Ценообразование: учебник. - М.: Экономист, 2004. - 364 с.
4. Липсиц И. В. Ценообразование и маркетинг в коммерческом банке: учебное пособие. - М.: Экономист, 2004 - 215 с.
5. Цены и ценообразование : учебник / под ред. В. Е. Есипова. – СПб.: Изд-во “Питер”, 2005. – 617 с.
6. Шуляк П. Н. Ценообразование: учеб. пособие . – М.: ИВЦ “Маркетинг”, 1999. – 179 с.
|