| Содержание
Введение
Свободные одномерные колебания
Вынужденные колебания
Колебания систем со многими степенями свободы
Затухающие колебания
Вынужденные колебания при наличии трения
Заключение
Список использованной литературы
Введение
Работа посвящена изучению различных колебаний. В механике и акустике, в радиофизике и оптике, в квантовой физике и физике твердого тела — всюду мы сталкиваемся с колебаниями. Единый подход к изучению колебаний основанный на общности уравнений, описывающих колебательные закономерности, позволяет выявить глубокие связи между различными, на первый взгляд, явлениями. Таким образом, изучая колебания, мы будем обращать внимание не только на то, что «волнуется» и что «колеблется», а главным образом на то, как и почему происходят колебания.
Свободные одномерные колебания
Очень распространенный тип движения механических систем представляют собой, так называемые малые колебания, которые система совершает вблизи своего положения устойчивого равновесия. Рассмотрение этих движений мы начнем с наиболее простого случая, когда система имеет всего одну степень свободы.
Устойчивому равновесию соответствует такое положение системы, в котором ее потенциальная энергия U(q) имеет минимум; отклонение от такого положения приводит к возникновению силы — dU / dq, стремящейся вернуть систему обратно. Обозначим соответствующее значение обобщенной координаты посредством q0. При малых отклонениях от положения равновесия в разложении разности U(q)—U(q0) по степеням q — q0 достаточно сохранить первый неисчезающий член. В общем случае таковым является член второго порядка

где k — положительный коэффициент (значение второй производной U" (q) при q = q0). Будем в дальнейшем отсчитывать потенциальную энергию от ее минимального значения (т. е. положим U(q0) = 0) и введем обозначение
x
=
q
–
q
0
(1, 1)
для отклонения координаты от ее равновесного значения. Таким образом,
U
(
x
) =
kx
2
/2.
(1,2)
Кинетическая энергия системы с одной степенью свободы имеет в общем случае вид

В том же приближении достаточно заменить функцию a(q) просто ее значением при q = q0
. Вводя для краткости обозначение

получим окончательно следующее выражение для лагранжевой функции системы, совершающей одномерные малые колебания:
(1,3)
Соответствующее этой функции уравнение движения гласит:
(1,4) или
(1,5)
где введено обозначение
(1,6)
Два независимых решения линейного дифференциального уравнения
(1,5): cos ωt и sin ωt, так что его общее решение
(1,7)
Это выражение может быть написано также и в виде
(1,8)
Поскольку cos (ωt + α) = cos ωt cos α — sin ωt sin α, то сравнение с (1,7) показывает, что произвольные постоянные связаны с постоянными
соотношениями
(1.9)
Таким образом, вблизи положения устойчивого равновесия система совершает гармоническое колебательное движение. Коэффициент а
при периодическом множителе в (1,8) называется амплитудой
колебаний, а аргумент косинуса — их фазой
; а
есть начальное значение фазы, зависящее, очевидно, от выбора начала отсчета времени. Величина ω называется циклической частотой
колебаний; в теоретической физике, впрочем, ее называют обычно просто частотой
,
что мы и будем делать в дальнейшем.
Частота является основной характеристикой колебаний, не зависящей от начальных условий движения. Согласно формуле (1,6) она всецело определяется свойствами механической системы как таковой. Подчеркнем, однако, что это свойство частоты связано с предполагаемой малостью колебаний и исчезает при переходе к более высоким приближениям. С математической точки зрения оно связано с квадратичной зависимостью потенциальной энергии от координаты.
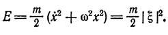
Энергия системы, совершающей малые колебания, есть

или, подставив сюда (21,8):
(1,10)
Она пропорциональна квадрату амплитуды колебаний.
Зависимость координаты колеблющейся системы от времени часто оказывается удобным представлять в виде вещественной части комплексного выражения
(1,11)
где А
— комплексная постоянная; написав ее в виде
A
=
aeia
,
(1,12)
мы вернемся к выражению (1,8). Постоянную А
называют комплексной амплитудой
; ее модуль совпадает с обычной амплитудой, а аргумент — с начальной фазой.
Оперирование с экспоненциальными множителями в математическом отношении проще, чем с тригонометрическими, так как дифференцирование не меняет их вида. При этом пока мы производим лишь линейные операции (сложение, умножение на постоянные коэффициенты, дифференцирование, интегрирование), можно вообще опускать знак взятия вещественной части, переходя к последней лишь в окончательном результате вычислений.
Вынужденные колебания
Перейдем к рассмотрению колебаний в системе, на которую действует некоторое переменное внешнее поле; такие колебания называют вынужденными
в отличие от рассмотренных так называемых свободных
колебаний. Поскольку колебания предполагаются по-прежнему малыми, то тем самым подразумевается, что внешнее поле достаточно слабое, в противном случае оно могло бы вызвать слишком большое смещение х.
В этом случае наряду с собственной потенциальной энергией ½
kx
2
система обладает еще потенциальной энергией Ue
(
x
,
t
)
, связанной с действием внешнего поля. Разлагая этот дополнительный член в ряд по степеням малой величины х,
получим:

Первый член является функцией только от времени и потому может быть опущен в лагранжевой функции (как полная производная по t
от некоторой другой функции времени). Во втором члене —
dUe
/
dx
есть внешняя «сила», действующая на систему в положении равновесия и являющаяся заданной функцией времени; обозначим ее как F
(
t
)
.
Таким образом, в потенциальной энергии появляется член — xF
(
t
)
,
так что функция Лагранжа системы будет:
(2,1)
Соответствующее уравнение движения есть

или
(2,2)
где мы снова ввели частоту со свободных колебаний.
Как известно, общее решение неоднородного линейного дифференциального уравнения с постоянными коэффициентами получается в виде суммы двух выражений: х
= х0
+ х
1
,
где х0
—
общее решение однородного уравнения, a х
1
— частный интеграл неоднородного уравнения. В данном случае х0
представляет собой рассмотренные свободные колебания.
Рассмотрим представляющий особый интерес случай, когда вынуждающая сила тоже является простой периодической функцией времени с некоторой частотой у
:
F
(
f
) =
fcos
(
yt
+ β).
(2,3)
Частный интеграл уравнения (2,2) ищем в виде х
1 =
b
cos
(
yt
+β)
с тем же периодическим множителем. Подстановка в уравнение дает: b
=
f
/
m
(ω²-
y
²)
; прибавляя решение однородного уравнения, получим общий интеграл в виде
(2,4)
Произвольные постоянные а
и α
определяются из начальных условий.
Таким образом, под действием периодической вынуждающей силы система совершает движение, представляющее собой совокупность двух колебаний — с собственной частотой системы ω
и с частотой вынуждающей силы у
.
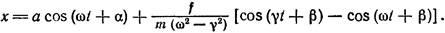
Решение (2,4) неприменимо в случае так называемого резонанса
,
когда частота вынуждающей силы совпадает с собственной частотой системы. Для нахождения общего решения уравнения движения в этом случае перепишем выражение ,(2,4) с соответствующим переобозначением постоянных в виде

При у
→ ω
и второй член дает неопределенность вида 0/0. Раскрывая ее по правилу Лопиталя, получим:
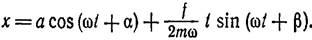
(2,5)
Таким образом, в случае резонанса амплитуда колебаний растет линейно со временем (до тех пор, пока колебания не перестанут быть малыми и вся излагаемая теория перестанет быть применимой).
Выясним еще, как выглядят малые колебания вблизи резонанса, когда
у
= ω
+ ε
, где ε
— малая величина. Представим общее решение в комплексном виде, как
(2,6)
Так как величина мало меняется в течение периода 2π/ω
множителя ,
то движение вблизи резонанса можно рассматривать как малые колебания, но с переменной амплитудой
Обозначив последнюю через С
, имеем:

Представив А
и В
соответственно в виде и получим:
(2,7)
Таким образом, амплитуда колеблется периодически с частотой ε
, меняясь между двумя пределами

Это явление носит название биений
.
Уравнение движения (2,2) может быть проинтегрировано и в общем виде при произвольной вынуждающей силе F
(
t
)
,
Это легко сделать, переписав его предварительно в виде
или
(2,8)
где введена комплексная величина
(2,9)
Уравнение (2,8) уже не второго, а первого порядка. Без правой части его решением было бы
с постоянной А
.
Следуя общему правилу, ищем решение неоднородного уравнения в виде
и для функции A
(
t
)
получаем уравнение

Интегрируя его, получим решение уравнения (2,8) в виде
(2, 10)
где постоянная интегрирования ε0
представляет собой значение ε в момент времени t
= 0. Это и есть искомое общее решение; функция x
(
t
)
дается мнимой частью выражения (2,10).
Энергия системы, совершающей вынужденные колебания, разумеется, не сохраняется; система приобретает энергию за счет источника внешней силы. Определим полную энергию, передаваемую системе за все время действия силы (от - ∞ до + ∞), предполагая начальную энергию равной нулю. Согласно формуле (2,10) (с нижним пределом интегрирования - ∞ вместо нуля и с
ξ
(-∞) = 0) имеем при t → ∞:

С другой стороны, энергия системы как таковой дается выражением
(2,11)
Подставив сюда | ξ (∞) |2
, получим искомую передачу энергии
в виде
(2,12)
она определяется квадратом модуля компоненты Фурье силы F
(
t
)
с частотой, равной собственной частоте системы.
В частности, если внешняя сила действует лишь в течение короткого промежутка времени (малого по сравнению с 1/ω
), то можно положить .
Тогда

Этот результат заранее очевиден: он выражает собой тот факт, что кратковременная сила сообщает системе импульс ∫F
dt
,
не успев за это время произвести заметного смещения.
Колебания систем со многими степенями свободы
Теория свободных колебаний систем с несколькими (s) степенями свободы строится аналогично тому, как было рассмотрено в одномерных колебаниях.
Пусть потенциальная энергия системы U
как функция обобщенных координат qi
(
i
=
1, 2, .,.,
s
)
имеет минимум при qi
=
qi
0
.
Вводя малые смещения
xi
=
qi
–
qi
0
(3,1)
и разлагая по ним U
с точностью до членов второго порядка, получим потенциальную энергию в виде положительно определенной квадратичной формы
(3, 2)
где мы снова отсчитываем потенциальную энергию от ее минимального значения. Поскольку коэффициенты kik
и kki
входят в (3, 2) умноженными на одну и ту же величину xi
xk
, то ясно, что их можно всегда считать симметричными по своим индексам

В кинетической же энергии, которая имеет в общем случае вид

полагаем в коэффициентах qi
=
qi
0
и, обозначая постоянные aik
(
qo
)
посредством mik
, получаем ее в виде положительно определенной квадратичной формы
(3,3)
Коэффициенты mlk
тоже можно всегда считать симметричными по индексам
mik
= mki
Таким образом, лагранжева функция системы, совершающей свободные малые колебания:
(3, 4)
Составим теперь уравнения движения. Для определения входящих в них производных напишем полный дифференциал функции Лагранжа

Поскольку величина суммы не зависит, разумеется, от обозначения индексов суммирования, меняем в первом и третьем членах в скобках i
на k
,
a k
на i
; учитывая при этом симметричность коэффициентов mik
и kik
, получим:

Отсюда видно, что

Поэтому уравнения Лагранжа
(3,5)
Они представляют собой систему s(i = l, 2, … , s) линейных однородных дифференциальных уравнений с постоянными коэффициентами.
По общим правилам решения таких уравнений ищем s неизвестных функций xk
(t) в виде
(3,6)
где Аk
— некоторые, пока неопределенные, постоянные. Подставляя (3,6) в систему (3,5), получаем по сокращении на систему линейных однородных алгебраических уравнений, которым должны удовлетворять постоянные Аk
:
(3,7)
Для того чтобы эта система имела отличные от нуля решения, должен обращаться в нуль ее определитель
(3,8)
Уравнение (3,8)—так называемое характеристическое
уравнение — представляет собой уравнение степени s относительно ω2
. Оно имеет в общем случае s различных вещественных положительных корней ω²a
,
а
=1, 2, … , s (в частных случаях некоторые из этих корней могут совпадать). Определенные таким образом величины ωа
называются собственными частотами
системы.
Вещественность и положительность корней уравнения (3,8) заранее очевидны уже из физических соображений. Действительно, наличие у ω мнимой части означало бы наличие во временной зависимости координат х
k
(3,6) (а с ними и скоростей xk
) экспоненциально убывающего или экспоненциально возрастающего множителя. Но наличие такого множителя в данном случае недопустимо, так как оно привело бы к изменению со временем полной энергии E=U+T системы в противоречии с законом ее сохранения.
В том же самом можно убедиться и чисто математическим путем. Умножив уравнение (3,7) на и просуммировав затем по i
, получим:

откуда

Квадратичные формы в числителе и знаменателе этого выражения вещественны в силу вещественности и симметричности коэффициентов kik
и mik
, действительно,

Они также существенно положительны, а потому положительно и ω2
.
После того как частоты ωа
найдены, подставляя каждое из них в уравнения (3,7), можно найти соответствующие значения коэффициентов А
k
.
Если все корни ωа
характеристического уравнения различны, то, как известно, коэффициенты Ak
пропорциональны минорам определителя (3,8),в котором ω заменена соответствующим значением ωа
, обозначим эти миноры через ∆ka
. Частное решение системы дифференциальных уравнений (3,5) имеет, следовательно, вид

где Са
— произвольная (комплексная) постоянная.
Общее же решение дается суммой всех s частных решений. Переходя к вещественной части, напишем его в виде
(3,9)
Где мы ввели обозначение
(3,10)
Таким образом, изменение каждой из координат системы со временем представляет собой наложение s простых периодических колебаний
Θ1, Θ2, … , Θs с произвольными амплитудами и фазами, но имеющих вполне определенные частоты.
Естественно возникает вопрос, нельзя ли выбрать обобщенные координаты таким образом, чтобы каждая из них совершала только одно простое колебание? Самая форма общего интеграла (3,9) указывает путь к решению этой задачи.
В самом деле, рассматривая s соотношений (3,9) как систему уравнений с s неизвестными величинами Θа
, мы можем, разрешив эту систему, выразить величины Θ1, Θ2, …, Θs через координаты x1, x2, ..., xs
.
Следовательно, величины Θа
можно рассматривать как новые обобщенные координаты. Эти координаты называют нормальными
(или главными), а совершаемые ими простые периодические колебания — нормальными колебаниями системы.
Нормальные координаты Θа
удовлетворяют, как это явствует из их определения, уравнениям
(3,11)
Это значит, что в нормальных координатах уравнения движения распадаются на s
независимых друг от друга уравнений. Ускорение каждой нормальной координаты зависит только от значения этой же координаты, и для полного определения ее временной зависимости надо знать начальные значения только ее же самой и соответствующей ей скорости. Другими словами, нормальные колебания системы полностью независимы.
Из сказанного очевидно, что функция Лагранжа, выраженная через нормальные координаты, распадается на сумму выражений, каждое из которых соответствует одномерному колебанию с одной из частот ωа
, т. е. имеет вид
(3,12)
где та
— положительные постоянные. С математической точки зрения это означает, что преобразованием (3,9) обе квадратичные формы — кинетическая энергия (3,3) и потенциальная (3,2) — одновременно приводятся к диагональному виду.
Обычно нормальные координаты выбирают таким образом, чтобы коэффициенты при квадратах скоростей в функции Лагранжа были равны 1/2. Для этого достаточно определить нормальные координаты (обозначим их теперь Qa
) равенствами
(3.13)
Тогда

Все изложенное мало меняется в случае, когда среди корней характеристического уравнения имеются кратные корни. Общий вид (3,9), (3,10) интеграла уравнений движений остается таким же (с тем же числом s членов) с той лишь разницей, что соответствующие кратным частотам коэффициенты ∆k
а
уже не являются минорами определителя, которые, как известно, обращаются в этом случае в нуль.
Каждой кратной (или, как говорят, вырожденной
) частоте отвечает столько различных нормальных координат, какова степень кратности, но выбор этих нормальных координат не однозначен. Поскольку в кинетическую и потенциальную энергии нормальные координаты (с одинаковым ωа
) входят в виде одинаково преобразующихся сумм можно подвергнуть любому линейному преобразованию, оставляющему инвариантной сумму квадратов.
Весьма просто нахождение нормальных координат для трехмерных колебаний одной материальной точки, находящейся в постоянном внешнем поле. Помещая начало декартовой системы координат в точку минимума потенциальной энергии U
(
x
,
y
,
z
),
мы получим последнюю в виде квадратичной формы переменных х, у,
z
,
а кинетическая энергия

(т
— масса частиц) не зависит от выбора направления координатных осей.
Поэтому соответствующим поворотом осей надо только привести к диагональному виду потенциальную энергию. Тогда
(3,14)
и колебания вдоль осей х, у,
z
являются главными с частотами

В частном случае центрально-симметричного поля (k
1=
k
2=
k
3=
k
,
U
=
kr
²/2
) эти три частоты совпадают.
Использование нормальных координат дает возможность привести задачу о вынужденных колебаниях системы с несколькими степенями свободы к задачам об одномерных вынужденных колебаниях. Функция Лагранжа системы с учетом действующих на нее переменных внешних сил имеет вид
(3,15)
где L0 — лагранжева функция свободных колебаний. Вводя вместо координат хk
нормальные координаты, получим:
(3.16)
где введено обозначение

Соответственно уравнения движения

будут содержать лишь по одной неизвестной функции Qa
(t).
Затухающие колебания
До сих пор мы всегда подразумевали, что движение тел происходит в пустоте или что влиянием среды на движение можно пренебречь. В действительности при движении тела в среде последняя оказывает сопротивление, стремящееся замедлить движение. Энергия движущегося тела при этом в конце концов переходит в тепло или, как говорят, диссипируется.
Процесс движения в этих условиях уже не является чисто механическим процессом, а его рассмотрение требует учета движения самой среды и внутреннего теплового состояния как среды, так и тела. В частности, уже нельзя утверждать в общем случае, что ускорение движущегося тела является функцией лишь от его координат и скорости в данный момент времени, т. е. не существует уравнений движения в том смысле, какой они имеют в механике. Таким образом, задача о движении тела в среде уже не является задачей механики.
Существует, однако, определенная категория явлений, когда движение в среде может быть приближенно описано с помощью механических уравнений движения путем введения в них некоторых дополнительных членов. Сюда относятся колебания с частотами, малыми по сравнению с частотами, характерными для внутренних диссипативных процессов в среде. При выполнении этого условия можно считать, что на тело действует сила трения,
зависящая (для заданной однородной среды) только от его скорости.
Если к тому же эта скорость достаточно мала, то можно разложить силу трения по ее степеням. Нулевой член разложения равен нулю, поскольку на неподвижное тело не действует никакой силы трения, и первый неисчезающий член пропорционален скорости. Таким образом, обобщенную силу трения fтр, действующую на систему, совершающую одномерные малые колебания с обобщенной координатой х,
можно написать в виде

где а
— положительный коэффициент, а знак минус показывает, что сила действует в сторону, противоположную скорости. Добавляя эту силу в правую сторону уравнения движения, получим :
(4.1)
Разделим его на m
и введем обозначения
(4.2)
ω0
есть частота свободных колебаний системы в отсутствие трения. Величина λ называется коэффициентом затухания.
Таким образом, имеем уравнение
(4.3)
Следуя общим правилам решения линейных уравнений с постоянными коэффициентами, полагаем х —
ert
и находим характеристическое уравнение

Общее решение уравнения (4.3) есть

Здесь следует различать два случая.
Если λ
< ω0, то мы имеем два комплексно сопряженных значения r
. Общее решение уравнения движения может быть представлено в этом случае, как

где А
— произвольная комплексная постоянная. Иначе можно написать:
(4.4)
где а
и α — вещественные постоянные. Выражаемое этими формулами движение представляет собой так называемые затухающие колебания.
Его можно рассматривать как гармонические колебания с экспоненциально убывающей амплитудой. Скорость убывания амплитуды определяется показателем λ, а “частота’’ ω колебаний меньше частоты свободных колебаний в отсутствие трения; при λ<<ω0 разница между ω и ω0— второго порядка малости. Уменьшение частоты при трении следовало ожидать заранее, поскольку трение вообще задерживает движение.
Если λ<<ω0 , то за время одного периода 2π/ω амплитуда затухающего колебания почти не меняется. В этом случае имеет смысл рассматривать средние (за период) значения квадратов координаты и скорости, пренебрегая при усреднении изменением множителя е-λ
t
.
Эти средние квадраты, очевидно, пропорциональны е-2λ
t
. Поэтому и энергия системы в среднем убывает по закону
(4.5)
где Е0
— начальное значение энергии.
Пусть теперь λ > ω0 . Тогда оба значения r
вещественны, причем оба отрицательны. Общий вид решения
(4.6)
Мы видим, что в этом случае, возникающем при достаточно большом трении, движение состоит в убывании |x|, т. е. в асимптотическом (при t → ∞) приближении к положению равновесия. Этот тип движения называют апериодическим затуханием.
Наконец, в особом случае, когда λ = ω0 , характеристическое уравнение имеет всего один (двойной) корень r
= ― λ
. Как известно, общее решение дифференциального уравнения имеет в этом случае вид
(4.7)
Это — особый случай апериодического затухания, Оно тоже не имеет колебательного характера.
Для системы со многими степенями свободы обобщенные силы трения, соответствующие координатам xi
,
являются линейными функциями скоростей вида
(4.8)
Из чисто механических соображений нельзя сделать никаких заключений о свойствах симметрии коэффициентов а
ik
по индексам i
и k
.
Методами же статистической физики можно показать, что всегда
aik
=
aki
. (4.9)
Поэтому выражения (4.8) могут быть написаны в виде производных
(4.10)
от квадратичной формы
(4.11)
называемой диссипативной функцией.
Силы (4.10) должны быть добавлены к правой стороне уравнений Лагранжа
(4.12)
Диссипативная функция имеет сама по себе важный физический смысл — ею определяется интенсивность диссипации энергии в системе. В этом легко убедиться, вычислив производную по времени от механической энергии системы. Имеем:

Поскольку F
— квадратичная функция скоростей, то в силу теоремы Эйлера об однородных функциях сумма в правой стороне равенства равна 2
F
.
Таким образом,
(4.13)
т е. скорость изменения энергии системы дается удвоенной диссипативной функцией. Так как диссипативные процессы приводят к уменьшению энергии, то должно быть всегда F
> 0, т. е. квадратичная форма (4.11) существенно положительна.
Уравнения малых колебаний при наличии трения получаются добавлением сил (4.8) в правую сторону уравнений (3.5):
(4.14)
Положив в этих уравнениях
xk
=
Ak
ert
,
получим по сокращении на ert
систему линейных алгебраических уравнений для постоянных Ak
(4.15)
Приравняв нулю определитель этой системы, найдем характеристическое уравнение, определяющее значения r
:
(4.16)
Это — уравнение степени 2s относительно r
. Поскольку все его коэффициенты вещественны, то его корни либо вещественны, либо попарно комплексно сопряжены. При этом вещественные корни непременно отрицательны, а комплексные имеют отрицательную вещественную часть. В противном случае координаты и скорости, а с ними и энергия системы экспоненциально возрастали бы со временем, между тем как наличие диссипативных сил должно приводить к уменьшению энергии.
Вынужденные колебания при наличии трения
Исследование вынужденных колебаний при наличии трения вполне аналогично произведенному в п. 1.2 вынужденные колебания. Мы остановимся здесь подробно на представляющем самостоятельный интерес случае периодической вынуждающей силы.
Прибавив в правой стороне уравнения (4.1) внешнюю силу f
cos
yt
и разделив на т,
получим уравнение движения в виде
(5.1)
Решение этого уравнения удобно находить в комплексной форме, для чего пишем в правой части eiγt
вместо cos yt
:

Частный интеграл ищем в виде x
=
B
eiγt
и находим для В:
(5.2)
Представив В
в виде beiδ
, имеем для b
и δ
:
(5.3)
Наконец, отделив вещественную часть от выражения Beiγt
= bei
(γ
t
+δ)
, получим частный интеграл уравнения (5.1), а прибавив к нему общее решение уравнения без правой части (которое мы напишем для определенности для случая ω0>λ), получим окончательно:
х
=
ае
-λt
cos (
ω
t+ a
) + b
cos (
γ
t
+
δ
).
(5.4)
Первое слагаемое экспоненциально убывает со временем, так что через достаточно большой промежуток времени остается только второй член:
x
=
b
cos
(γ
t
+ δ).
(5.5)
Выражение (5.3) для амплитуды b
вынужденного колебания хотя и возрастает при приближении частоты γ
к ω0
, но не обращается в бесконечность, как это было при резонансе в отсутствие трения. При заданной амплитуде силы f
амплитуда колебания максимальна при частоте

при λ<<<ω0
это значение отличается от ω0
лишь на величину второго порядка малости.
Рассмотрим область вблизи резонанса. Положим γ = ω0
+ ε, где ε — малая величина; будем также считать, что λ<<ω
0
. Тогда в (5.2) можно приближенно заменить:

так что
(5.6)
или
(5.7)
Отметим характерную особенность хода изменения разности фаз δ между колебанием и вынуждающей силой при изменении частоты последней. Эта разность всегда отрицательна, т. е. колебание «запаздывает» относительно внешней силы. Вдали от резонанса, со стороны γ < ω0
, δ стремится к нулю, а со стороны γ > ω0 — к значению — π. Изменение δ от нуля до — π происходит в узкой (ширины ~ λ) области частот, близких к ω0; через значение -π/2 разность фаз проходит при γ =
ω0. Отметим в этой связи, что в отсутствие трения изменение фазы вынужденного колебания на величину π происходит скачком при γ = ω0 (второй член в (2.4) меняет знак); учет трения «размазывает» этот скачок.
При установившемся движении, когда система совершает вынужденные колебания (5.5), ее энергия остается неизменной. В то же время система непрерывно поглощает (от источника внешней силы) энергию, которая диссипируется благодаря наличию трения. Обозначим посредством I
(γ) количество энергии, поглощаемой в среднем в единицу времени, как функцию частоты внешней силы. Согласно (4.13) имеем: I
(
γ
) = 2F
,
где F
— среднее (по периоду колебания) значение диссипативной функции. Для одномерного движения выражение (4.11) диссипативной функции сводится к

Подставив сюда (5.5), получим:

Среднее по времени значение квадрата синуса равно ½ , поэтому
I
(γ) = λ
mb
²γ²
.
(5.8)
Вблизи резонанса, подставляя амплитуду колебания из (5.7), имеем:
(5.9)
Такой вид зависимости поглощения от частоты называется дисперсионным.
Полушириной резонансной кривой (рис. 1)

называют значение |ε|, при котором величина I
(ε) уменьшается вдвое по сравнению с ее максимальным значением при ε = 0.Из формулы (5.9) видно, что в данном случае эта полуширина совпадает с показателем затухания λ. Высота же максимума
I
(0) =
f
² / 4
mλ
обратно пропорциональна λ. Таким образом, при уменьшении показателя затухания резонансная кривая становится уже и выше, т. е. ее максимум становится более острым. Площадь же под резонансной кривой остается при этом неизменной. Последняя дается интегралом

Поскольку I
(ε) быстро убывает при увеличении |ε|, так что область больших |ε| все равно не существенна, можно при интегрировании писать I
(ε) в виде (5.9), а нижний предел заменить на — ∞. Тогда
(5.10)
Заключение
Колебание — более или менее регулярно повторяющийся процесс. Таково очень нестрогое, «качественное» определение понятия «колебание». Можно привести множество примеров колебательных процессов, относящихся к различным областям физики (и не только физики). Колеблется маятник часов; колеблется груз, подвешенный на пружине. Колеблется взволнованная поверхность воды и гитарная струна. Колеблется заряд на пластинах конденсатора и магнитное поле в катушке индуктивности колебательного контура; периодически изменяется температура воздуха (зимой холоднее — летом теплее) и количество автомобилей на улицах города (больше в часы пик — меньше поздней ночью). Периодически меняется экономическая ситуация в жизни общества: кризисные явления сменяются подъемом экономики. Колеблется давление (или плотность воздуха), вызывая колебания ушной мембраны — и мы слышим голос певца на оперной сцене. Таких примеров можно привести как угодно много. Ознакомились с колебаниями в той или иной физической системе. Здесь же познакомились с наиболее часто встречающимися простейшими видами колебательных движений, основными характеристиками колебательных процессов, с математическим способом описания колебаний.
В результате проделанной работы было рассмотрено следующее:
― свободные одномерные колебания;
― вынужденные колебания;
― колебания систем со многими степенями свободы;
― затухающие колебания;
― вынужденные колебания при наличии трения.
Список использованной литературы:
1. Ландау Л.Д., Лифшнц Е.М. Теоретическая физика: Учеб. пособие. — Т.I. Механика. — 4-е изд., испр. — М.: Наука. 1988.— 216 с.
2. Кингсеп А.С, Локшин Г.Р., Ольхов О.А. Основы физики. Курс общей физики: Учебн. В 2 т. Т. 1. Механика, электричество и магнетизм, колебания и волны, волновая оптика — М.: ФИЗИАТЛИТ, 2001. ― 560 с.
3. Матвеев А.Н., Механика и теория относительности: Учеб. для студентов вузов / А.Н. Матвеев. — 3-е изд. — М.: ООО «Издательский дом «ОНИКС 21 век»: 000 «Издательство «Мир и Образование», 2003. — 432 с.
4. И.В.Савельев, Курс общей физики, том I. Механика, колебания и волны, молекулярная физика. М.: Издательство «Наука», 1970г.― 517с.
5. Зоммерфельд А., Механика. ― Ижевск: НИЦ «Регулярная и хаотическая динамика», 2001. ― 368 с.
|