СОДЕРЖАНИЕ
1. ПРИНЦИПЫ ПОСТРОЕНИЯ И ОСНОВНЫЕ ТЕХНИЧЕСКИЕ ХАРАКТЕРИСТИКИ ЦИФРОВЫХ ИЗМЕРИТЕЛЬНЫХ
ПРИБОРОВ……………………………………………………………….2
2. СРАВНИТЕЛЬНАЯ ХАРАКТЕРИСТИКА АНАЛОГОВЫХ И ЦИФРОВЫХ ПРИБОРОВ……………………………………………….8
3. ПОСТРОЕНИЕ ЦИВРОВЫХ ЭЛЕКТРОННЫХ ВОЛЬТМЕТРОВ, ЧАСТОТОМЕРОВ И ФАЗОМЕТРОВ. ПРИМЕНЕНИЕ МЕТОДА ДИСКРЕТНОГО СЧЕТА………………………………………………..10
4. ПРИМЕР СОВРЕМЕННОГО ЦИФРОВОГО ИЗМЕРИТЕЛЬНОГО ПРИБОРА. ЦИФРОВОЙ ИЗМЕРИТЕЛЬ НЕЛИНЕЙНЫХ ИСКАЖЕНИЙ СК6-13………………………………………………….25
5. СПИСОК ЛИТЕРАТУРЫ………………………………………………30
1.ПРИНЦИПЫ ПОСТРОЕНИЯ И ОСНОВНЫЕ ТЕХНИЧЕСКИЕ ХАРАКТЕРИСТИКИ ЦИФРОВЫХ ИЗМЕРИТЕЛЬНЫХ ПРИБОРОВ
Цифровой измерительный прибор (ЦИП) — средство измерений, автоматически вырабатывающее сигналы измерительной информации в цифровой форме. Цифровой измерительный прибор имеет ряд преимуществ перед аналоговыми приборами: удобство отсчитывания значений измеряемой величины, возможность полной автоматизации процесса измерений, регистрация результатов измерения с помощью циф- ропечатающих устройств и перфораторов. Поскольку результат измерения в ЦИП выражен в цифровом коде, измерительную информацию можно вводить в цифровую ЭВМ.
В ЦИП происходит преобразование непрерывной измеряемой величины в цифровой код. Осуществляется этот процесс с помощью аналого-цифрового преобразователя (АЦП), в котором сигнал измерительной информации подвергается дискретизации, квантованию и кодированию.
Дискретизация, т. е. процесс преобразования непрерывного сигнала измерительной информации в дискретный, может осуществляться как по времени, так и по уровню. Дискретизация по времени выполняется путем взятия отсчетов сигнала X(t) в определенные детерминированные моменты времени. Таким образом, от сигнала измерительной информации сохраняется только совокупность отдельных значений. Промежуток времени между двумя моментами дискретизации называют шагом дискретизации. Обычно моменты отсчетов на оси времени выбираются равномерно, т. е. шаг дискретизации постоянен.
Дискретизация значений измерительного сигнала по уровню носит название квантования. Операция квантования сводится к тому, что непрерывная по времени и амплитуде величина заменяется ближайшим фиксированным значением по установленной шкале дискретных уровней. Эти дискретные (разрешенные) уровни образованы по определенному закону с помощью мер. Разность между двумя разрешенными уровнями называют интервалом (шагом или ступенью) квантования. Интервал квантования может быть как постоянным, так и переменным. Временная дискретизация измерительного сигнала имеет смысл, когда его величина изменяется во времени. Если измерительный сигнал постоянен, достаточно осуществить квантование. Особым случаем является измерение времени (временного интервала).Процесс дискретизации здесь теряет смысл, и осуществляется квантование самого времени.
Следующим преобразованием измерительного сигнала, является кодирование. Цифровым кодом называется последовательность цифр или сигналов, подчиняющаяся определенному закону, с помощью которой осуществляется условное представление численного значения величины. Графически описанные преобразования поясняются на рис. 1.1. Исходный измерительный сигнал X(t) (рис. 4.1, а) представляет собой непрерывную функцию времени. Дискретизация выполняется с интервалом . Моменты дискретизации отмечены на рис. 1.1,а цифрами 1…9. Практически такую дискретизацию можно осуществить путем амплитудной модуляции исходным сигналом X(t) последовательности коротких импульсов с периодом . Как видно из рис. 1.1,б, значения сигнала полученные после дискретизации, точно соответствуют мгновенным значениям функции X(t). Если на том же рисунке отметить уровни квантования, расположенные друг от друга на расстоянии , то часть дискретных значений сигнала окажется в промежутках между ними. Процесс квантования по уровню сводится к округлению дискретных значений сигнала до значений, соответствующих ближайшим разрешенным уровням. Так, в момент 1 мгновенное значение сигнала превышает уровень Х3
на величину, несколько меньшую (рис. 1.1, б). Округление производится в сторону уменьшения, и квантованное значение выбирается равным Х3
. В момент 2 значение сигнала превышает уровень Х4
на величину, большую чем . Квантованное значение принимается равным Х5
(рис. 1.1, в). Последний этап заключается в преобразовании квантованного сигнала в цифровой код. На рис. 1.1, г представлен для примера цифровойунитарный код , соответствующий значениям квантованного сигнала. При таком способе кодирования число импульсов в кодовой группе прямо пропорционально уровню квантованного сигнала. Например, отсчету 7 соответствует уровень квантования Х6
, и в кодовой группе n7
содержится шесть импульсов.

Рис. 1.1.
Из рис. 1.1 ясно, что при дискретизации и квантовании сигнала возникает погрешность преобразования. Непрерывная функция X(t) анализируется только в моменты дискретизации. На интервале между двумя отсчетными точками сигнал предполагается неизменным. Уменьшением интервала , т. е. сближением отсчетных точек можно добиться снижения погрешности до допустимой величины. При измерении постоянных величин погрешность преобразования, связанная с дискретизацией, равна нулю. Погрешность, возникающая при квантовании непрерывной измеряемой величины, обусловлена конечным числом уровней квантования. Эта погрешность характерна для всех ЦИП, она носит название погрешности дискретности . При равномерном квантовании погрешность находится в пределах .
Следующий этап преобразований в ЦИП заключается в превращении цифрового кода в показания цифрового отсчетного устройства. Для этого необходим дешифратор, который превращает кодовые группы в соответствующие напряжения, управляющие работой цифрового индикатора.
Рассмотренная последовательность преобразований, осуществляемая в аналого-цифровом преобразователе (АЦП), дешифраторе и цифровом индикаторе, конечно дает упрощенное представление о работе ЦИП. Примером может служить случай измерения постоянной величины. Для этого достаточно одного цикла преобразований, в результате которого получится кодовая группа. Но кодовая группа это «пакет» импульсов, передаваемый в течение короткого интервала времени. Результат измерений должен сохраняться на экране достаточно долго, например до следующего цикла. Поэтому в состав ЦИП должно входить запоминающее устройство (ЗУ).
Перечислим возможные режимы работы ЦИП и их характеристики.
Режим однократного измерения.
Этот режим удобен, когда измеряемый параметр постоянен. Команда на проведение измерения подается оператором, результат измерения хранится в запоминающем устройстве и воспроизводится на цифровом индикаторе. В ЦИП осуществляется квантование измерительного сигнала и его кодирование.
Режим периодического измерения.
Процесс измерения повторяется периодически через интервал , установленный оператором. В ЦИП осуществляются операции дискретизации, квантования и кодирования. После каждого цикла измерения результат на экране цифрового индикатора обновляется.
Следящий режим измерения.
Цикл измерения повторяется, после того как изменение измеряемой величины превысит ступень квантования.
Помимо погрешности измерения, к числу важных характеристик ЦИП относится его быстродействие, время измерения и помехоустойчивость. Под быстродействием ЦИП понимается максимальное число измерений, выполняемых в единицу времени с нормированной погрешностью. Время измерения — интервал от начала цикла преобразования измеряемой величины до получения результата. Под помехоустойчивостью понимают способность ЦИП с нормированной погрешностью производить измерения при наличии помех.
Быстродействие ЦИП очень высокое. Современная элементная база позволяет строить ЦИП, обеспечивающие до 107
преобразований в секунду. Это, однако, оказывается излишним, поскольку регистрирующие устройства обеспечивают фиксацию не более 100 результатов измерений в секунду. При визуальном наблюдении требования к быстродействию резко снижаются, поскольку оператор способен оценить не более 2—3 результатов измерений в секунду.
Основные технические характеристики ЦИП:
1) номинальная статическая характеристика преобразования;
2) диапазон измерений;
3) вид кода, применяемого в АЦП, количество разрядов, вес единицы младшего разряда кода;
4) разрешающая способность, характеризующаяся количеством уровней квантования;
5) входное сопротивление;
6) быстродействие;
7) помехоустойчивость – способность ЦИП выполнять свои функции в условиях воздействия помех, численно характеризуется коэффициентом подавления помех на входе ИП;
8) время измерения – интервал времени от момента начала цикла преобразования измеряемой физической величины до момента высвечивания показания на табло;
9) погрешности. Нормируются 4 основных составляющих погрешности:
- погрешность дискретизации;
- погрешность реализации уровней квантования;
- погрешность сравнения;
- погрешность от воздействия помех.
Первая относится к методическим погрешностям, остальные – к инструментальным и обусловлены технической реализацией ИП;
10) класс точности. Обычно в ЦИП для установления класса точности нормируется относительная погрешность, рассчитываемая по так называемой «двухчленной формуле»:
,
где - относительная погрешность;
- числа, выбираемые из того же ряда, что и класс точности;
- конечное значение установленного предела излучения;
- измеряемое значение ФВ.
Класс точности обозначается .
2. СРАВНИТЕЛЬНАЯ ХАРАКТЕРИСТИКА АНАЛОГОВЫХ И ЦИФРОВЫХ ПРИБОРОВ
Не следует считать, что ЦИП в будущем полностью вытесняет аналоговые приборы. Аналоговые приборы просты и надежны. В тех случаях, когда оператору необходимо следить за уровнями изменяющихся во времени сигналов, стрелочные указатели более удобны из-за наглядности представления об изменениях величины, о ее минимальном значении, приближении к порогу и т. п.
По результатам, полученным на основе опыта производства и эксплуатации аналоговых и цифровых приборов, можно обобщенно сравнить аналоговые и цифровые приборы в координатах «точность» и «быстродействие», «стоимость» и «сложность».
Каждый аналоговый и цифровой прибор можно изобразить одной точкой на плоскости в координатах «точность» и «быстродействие», а затем полосы, заполненные точками, сжать в обобщенные кривые, представленные на рис. 2.1.

Рис. 2.1. Сравнение аналоговых и цифровых измерительных устройств
На основе полученных зависимостей можно сделать следующие выводы. В области средней и высокой точности цифровые приборы имеют значительно более высокое быстродействие, чем аналоговые, а в области наиболее высокого быстродействия более высокую точность имеют аналоговые приборы (рис. 2.1, а). Большая часть цифровых приборов имеет высокое быстродействие, но их возможная точность в этой области резко уменьшается, так как дальнейшее увеличение быстродействия после использования самых быстродействующих ключей возможно путем уменьшения числа ступеней квантования по значению, т.е. снижением точности. Точность аналоговых приборов с повышением быстродействия также уменьшается, но с определенного значения более медленно, чем у цифровых. Это объясняется использованием в аналоговых приборах с наиболее высоким быстродействием в качестве выходной величины перемещения почти безынерционного луча.
Если аналогичное изображение совокупности всех цифровых и аналоговых измерительных приборов представить в координатах стоимости прибора и сложности решаемой измерительной задачи, то получим кривые, представленные на рис. 2.1, б. Анализируя их можно прийти к следующим выводам:
1) менее сложные измерительные задачи с меньшими затратами решаются аналоговыми приборами;
2) более сложные измерительные задачи, например задачи измерительно-информационных систем, обрабатывающих результаты измерения по сложной программе, с меньшими затратами решаются автоматически цифровыми измерительными устройствами;
3) при повышении быстродействия элементов цифровых приборов точка пересечения кривых в координатах «точность» и «быстродействие» сдвигается вправо, расширяя зону, в которой более совершенны цифровые приборы;
4) применение микропроцессоров, позволяющее уменьшить число корпусов микросхем в ЦИП, снижает их стоимость. Это приводит к сдвигу точки пересечения кривых в координатах «стоимость» и «сложность» влево, что еще в большей степени расширяет зону, в которой более экономичны цифровые измерительные приборы.
3. ПОСТРОЕНИЕ ЦИВРОВЫХ ЭЛЕКТРОННЫХ ВОЛЬТМЕТРОВ, ЧАСТОТОМЕРОВ И ФАЗОМЕТРОВ. ПРИМЕНЕНИЕ МЕТОДА ДИСКРЕТНОГО СЧЕТА
Преобразовать значение измеряемой величины во временной интервал можно с помощью вспомогательного пилообразного напряжения. На рис. 3.1,а показана постоянная измеряемая величина и вспомогательное линейно нарастающее напряжение . В момент значение пилообразного напряжения оказывается равным нулю, что служит командой для формирователя стробирующих импульсов, который начинает вырабатывать импульс прямоугольной формы (рис. 3.1,б). В момент линейно нарастающее напряжение достигает значения . В этотмомент вырабатывается команда на окончание импульса, и напряжение на выходе генератора уменьшается до нуля. Сигналы команд вырабатываются в сравнивающем устройстве, которое имеет два входа( и ). Когда на выходе сравнивающего устройствапоявляетсяимпульс.

Рис. 3.1.
Таким образом, измеряемая величина их
преобразуется во временной интервал ТХ1
при этом сохраняется линейная зависимость между Тх
и их
. Нетрудно убедиться из рис. 4.2, а, что если изменить значение их
, например, в сторону уменьшения, становится меньше и длительность сформированного импульса.
Следующий этап преобразования заключается в превращении временного интервала в код. Для этого служат счетные импульсы исч
(рис. 3.1, б), следующие с периодом Тсч
. Этими импульсами заполняется временной интервал Тх
. Выполнить эту операцию можно с помощью стробирующего устройства, пропускающего счетные импульсы на свой вход, когда на один из его входов поступает разрешающий сигнал. В качестве разрешающего (стробирующего) сигнала используется прямоугольный импульс длительностью Тх
. На выходе стробирующего устройства получаем группу из N счетных импульсов. Число импульсов N=Тх
/Тсч
, т.е. имеется линейная связь между числом импульсов и временным интервалом Тх
. Сигнал икод
(рис. 3.1,г) является унитарным кодом измеряемой величины.
Действительно, как следует из рис. 3.1, а, . Значение есть скорость нарастания напряжения, В/с. Следовательно . Так как , имеем:

Из последней формулы видно, что при постоянных значениях Тсч
иv число импульсов N пропорционально измеряемой величине их
и, следовательно, сигнал, показанный на рис. 3.1, г, является ее унитарным кодом. Так как унитарный код имеет недостатки, следующим этапом преобразований является перекодирование, т. е. превращение унитарного кода в другой код, например двоично-десятичный. Перекодирование можно осуществить достаточно просто с помощью счетчика импульсов.
Структурная схема АЦП с времяимпульсным преобразованием изображена на рис. 3.2. Генератор счетных импульсов является мерой. Стабильность частоты обеспечивается кварцевым генератором. Счетные импульсы поступают на сравнивающее устройство. Сравнивающее устройство вырабатывает команды в моменты и , на основе которых в формирователе стробирующих импульсов вырабатывается сигнал, управляющий стробирующей схемой. С выхода стробирующей схемы импульсы поступают на счетчик. Устройство управления вырабатывает сигналы, управляющие генератором пилообразного напряжения и счетчиком.

Рис. 3.2. Структурная схема АЦП с времяимпульсным преобразованием
Построение цифровых электронных вольтметров
По рассмотренному методу строятся вольтметры с времяимпульсным преобразованием. Принцип действия таких вольтметров основан на том, что измеряемое напряжение преобразуется в интервал времени, длительность которого измеряется методом дискретного счёта.

Рис. 3.3. Структурная схема вольтметра с времяимпульсным преобразованием
УС – устройство сравнения; ФИ – формирователь импульсов; ВС – временной селектор; СИ – счётчик импульсов; ЦОУ – цифровое отсчётное устройство; ГПН – генератор пилообразного напряжения.
Измерения происходят циклами, задаваемыми узлом управления.
Источники основных погрешностей:
1) нелинейность пилообразного напряжения и нестабильность скорости его нарастания;
2) нестабильность частоты следования счётных импульсов;
3) нестабильность порогов срабатывания компаратора;
4) конечное быстродействие формирователя импульсов;
5) наличие методической погрешности дискретности.
Основным достоинством таких вольтметров является простота реализации, а недостатками то, что вольтметры реагируют на мгновенное значение напряжения, поэтому у них низкая помехоустойчивость. На входе ставят пассивные помехоподавляющие фильтры. Однако из-за этого снижается быстродействие.
От указанных недостатков свободны интегрирующие ЦЭВ. Еще их называют вольтметрами с интегрированием «вверх-вниз», вольтметры с двойным времяимпульсным преобразованием.

Рис. 3.4. Структурная схема вольтметра с двойным времяимпульсным преобразованием
ИОН – источник опорного напряжения; И – интегратор.

Рис. 3.5. Принцип действия вольтметра с двойным времяимпульсным преобразованием
Устройство управления вырабатывает тактовые импульсы с неизменной и обеспечивает нужное состояние компаратора, коммутатора и счётчика импульсов. При этом в течение длительности тактового импульса на первый вход коммутатора поступает постоянное измеряемое напряжение. Через коммутатор напряжение поступает на интегратор, напряжение на выходе которого определяется как .

Рис. 3.6.
На выходе интегратора напряжение нарастает. Этот участок называется интегрирование «вверх». В момент окончания тактового импульса состояние коммутатора изменяется на противоположное, а на вход интегратора поступает опорное напряжение, имеющее противоположную полярность. Этот участок называется интегрирование «вниз».
Простейший способ реализации источника опорного напряжения:

Рис. 3.7.
1) в конце интервала времени :
;
2) в конце интервала времени :
;
3) в момент времени :
;
;
.
Измеряемое напряжение, с точностью до константы, равно количеству счётных импульсов.
Основные погрешности:
1) погрешность дискретности;
2) погрешность преобразования, которая обусловлена нестабильностью тактовых импульсов и напряжения источника опорного напряжения;
3) погрешность сравнения, обусловленная нестабильностью порога срабатывания компаратора;
Основными достоинствами таких вольтметров являются высокая помехоустойчивость и высокая чувствительность (0.1 мкВ).
Основные недостатки – сложность схемной реализации и обеспечения заданной стабильности заданного напряжения, длительности импульса.
Для уменьшения погрешности дискретности тактовые импульсы формируют из счётных путём деления частоты.
Построение цифровых частотомеров
В измерительной технике наиболее точно измеряется частота. На сегодняшний день наиболее распространённым методом измерения частоты является метод дискретного счёта. При этом измеряемая частота сигнала сравнивается с дискретным значением образцовой частоты , которая воспроизводится мерой.

Рис. 3.8.
Результат сравнения – число или кратность сравниваемых частот:
;
.
Необходимые узлы для аппаратурной реализации:
1) формирователь импульсов;
2) устройство, вырабатывающее сигнал образцовой частоты (задающий генератор);
3) устройство, формирующее импульсы длительностью (строб-импульсы или «временные ворота»);
4) устройство, сравнивающее строб-импульсы с периодом следования сигнала измеряемой частоты.

Рис. 3.9.
ВхУ – входное устройство, ФИ – формирователь импульсов, ВС – временной селектор, СИ – счётчик импульсов, ЦОУ – цифровое отсчётное устройство, ЗГ – задающий генератор, ДЧ – делитель частоты, ГМВ – генератор меток времени, УУ – устройство управления.
ВхУ преобразует сигнал по уровню, обеспечивая нормальное функционирование ФИ, который преобразует входной сигнал произвольной формы в последовательность коротких однополярных импульсов одинаковой амплитуды, следующих с частотой . С выхода ФИ сигнал поступает на один из входов ВС, на другой вход которого подаётся строб-импульс образцовой частоты длительностью . Строб-импульс формируется из сигнала, вырабатываемого ЗГ, который представляет собой кварцевый генератор опорной частоты, с помощью делителя частоты. ДЧ представляет собой набор делителей частоты, на выходе которых обычно формируются сигналы с частотами 100 кГц, 10 кГц, 1 кГц и т.д., которые определяют соответствующие длительности строб-импульсов («временных ворот»). ЗГ вместе с ДЧ принято называть генератором меток времени (ГМВ), а длительность «временных ворот» – временем измерения.

Рис. 3.10.
СИ подсчитывает количество импульсов с частотой, равной измеряемой, которые прошли через ВС за интервал времени .
Основными источниками погрешности при измерении частоты электронно-счётным частотомером являются:
- погрешность меры, где функцию меры выполняет ЗГ. Под погрешностью меры понимают нестабильность частоты ЗГ. С целью уменьшения этой погрешности, ЗГ выполняется в виде кварцевых генераторов импульсов, кроме того, ЗГ размещают в термостате. Такие меры позволяют иметь суточную погрешность (нестабильность частоты) до .
- погрешность дискретности, которая обусловлена несинхронностью двух сигналов: измеряемого и вырабатываемого ЗГ. Наличие этой несинхронности приводит к тому, что в отрезке длительностью укладывается нецелое число периодов измеряемой частоты .
В соответствии с принципом действия:
;
.
Из этих соотношений следует, что:
,
где - количество импульсов на выходе ВС или кратность частот.
Обычно метки времени формируют из сигнала, вырабатываемого ЗГ, путём деления частоты. Тогда с учётом коэффициента деления частоты имеем:
,
где - частота сигнала, вырабатываемого ЗГ.
Таким образом, с точностью до константы измеряемая частота равна частоте ЗГ.
Из вышесказанного следует, что максимальная абсолютная погрешность дискретности:
,
а наибольшая относительная погрешность дискретности:
.
Из этих формул следует:
- чем меньше , тем больше относительная погрешность дискретности;
- чем больше частота ЗГ, тем больше относительная погрешность дискретности.
Существует несколько путей уменьшения погрешности дискретности:
1) увеличение кратности частот , т.е. уменьшение с помощью умножителя частоты измеряемого сигнала. Это приводит к аппаратурному усложнению частотомера, т.к. необходимо увеличение количества разрядов СИ;
2) увеличение длительности , что тоже неудобно, т.к. определяет время измерения частотомера.
Поэтому на НЧ измеряют не частоту, а период колебаний сигнала.
Электронно-счётный частотомер представляет собой многофункциональный прибор, позволяющий измерять частоту, период, длительность импульса, кратность частот.
Построение цифровых фазометров
Приборы для измерения фазового сдвига называются фазометрами.
Фазовый сдвиг – модуль разности начальных фаз гармонических сигналов одинаковой частоты.
Широкое распространение получили фазометры, построенные на основе метода дискретного счёта, в связи с чем, рассмотрим метод преобразования фазового сдвига в интервал времени.
Исследуемые сигналы преобразуются в последовательность коротких импульсов, например, эти импульсы формируются в моменты перехода напряжения сигнала через «нуль» (когда производные имеют одинаковый знак). Интервалы времени между двумя ближайшими короткими импульсами пропорциональны фазовому сдвигу:
;
.

Рис. 3.11.
Для уменьшения влияния помех на результат измерения, измеряют не мгновенное, а среднее значение фазового сдвига, для чего необходим формирователь длительности времени измерения , т.е. «временных ворот».

Рис. 3.12.

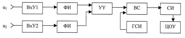
Рис. 3.13. Аппаратурная реализация электронно-счётного фазометра
ВхУ – входное устройство, ФИ – формирователь импульсов, УУ – устройство управления, ВС – временной селектор, ГСИ – генератор счётных импульсов, СИ – счётчик импульсов, ЦОУ – цифровое отсчётное устройство.
Исследуемые сигналы в виде напряжений и (одинаковой частоты) через входные устройства ВхУ1 и ВхУ2 поступают на формирователи импульсов ФИ, назначение которых – преобразовать входные сигналы в последовательности коротких импульсов в определённые моменты времени. Сформированные импульсы поступают на вход УУ, на выходе которого формируются импульсы длительностью , по форме близкие к прямоугольным; эти импульсы поступают на один вход временного селектора ВС, на другой вход поступает сигнал с выхода генератора счётных импульсов ГСИ; счётчик СИ подсчитывает количество импульсов, прошедших через ВС за время .
Такая аппаратурная реализация используется для измерения мгновенных значений сдвига фаз.
Основным недостатком таких устройств является подверженность влиянию помех, в результате чего фазовые сдвиги изменяются случайным образом, поэтому чаще используются фазометры, измеряющие средние значения фазовых сдвигов за определённый интервал времени.

Рис. 3.13. Структурная схема фазометров, измеряющих средние значения фазовых сдвигов за определённый интервал времени.
ВхУ – входное устройство, ФИ – формирователь импульсов, УУ – устройство управления, ВС – временной селектор, ГСИ – генератор счётных импульсов, ДЧ – делитель частоты, СИ – счётчик импульсов, ЦОУ – цифровое отсчётное устройство.
Для построения таких фазометров добавляют ВС2, на один вход которого подаётся строб-импульс. Длительность интервала времени измерений задают так, чтобы , где - период исследуемого сигнала, - количество пачек счётных импульсов. СИ подсчитывает количество импульсов , поступивших на его вход за интервал времени .
;
;
,
где , . Тогда с точностью до константы .
Основные источники погрешностей:
1) несинхронность во времени исследуемых сигналов и счётных импульсов, что приводит к появлению погрешности дискретности, для уменьшения которой в электронно-счётных фазометрах счётные импульсы формируют из одного из исследуемых сигналов или путём умножения частоты;
2) погрешность, обусловленная неточным определением момента перехода сигналов через нуль. В связи с этим, большое значение имеет отсутствие искажений формы исследуемых сигналов.
4. ПРИМЕР СОВРЕМЕННОГО ЦИФРОВОГО ИЗМЕРИТЕЛЬНОГО ПРИБОРА. ЦИФРОВОЙ ИЗМЕРИТЕЛЬ НЕЛИНЕЙНЫХ ИСКАЖЕНИЙ СК6-13

Рис. 4.1. Внешний вид цифрового измерителя нелинейных искажений СК6-13
Автоматизированный цифровой прибор СК6-13 предназначен для измерения коэффициента гармоник при работе со встроенным генератором и среднеквадратического значения напряжения. Измеритель СК6-13 состоит из измерителянелинейных искажений и перестраиваемого синхронно с ним генератора, чтопозволяет повысить производительность измерений при сокращении необходимых измерительных средств. Прибор СК6-13 обеспечивает автоматическое иручное переключение пределов измерения, возможность запоминания значенийчастоты и напряжения генератора, вывод результата измерения на печать.
Основные технические характеристики прибора СК6-13
1. Диапазон рабочих частот: при измерений коэффициента гармоник –10 Гц – 120 кГц; при измерении напряжения – 10 Гц – 600 кГц;
2. Диапазон измерения коэффициента гармоник (для входных напряжений0.1... 100 В) 0,003-100% на пределах 0.01, 0.1, 1, 10, 100%;
3. Диапазон измерения среднеквадратического значения напряжения синусоидальной и искаженной формы (с КГ
не более 30%) — 100 мкВ ...100 В на пределах 1, 10, 100 мВ;
1, 10, 100 В в частотном диапазоне10 Гц . . . 600 кГц;
4. Входное сопротивление прибора 15 кОм в режиме измерения КГ
и неменее 500 кОм в режиме измерения напряжения;
5. Диапазон установки напряжения встроенного генератора – 1 мВ…9.99В, выходное сопротивление Rвых=600 Ом. Для напряжений 1…99.9 мВ (со встроенным делителем) Rвых не более 10 Ом.
Метрологические параметры прибора
1. Основная относительная погрешность измерения коэффициентагармоник [%];
2. Основная погрешность измерения напряжения [В];
3. Погрешность установки частоты встроенного генератора ±0.01f, напряжения [В];
4. Коэффициент гармоник встроенного генератора составляет 0.002…0.004% в диапазоне частот 100 Гц…20 кГц и не хуже 0.02% в диапазоне 20…120 кГц.
Прибор позволяет вывести результат измерения в двоично-десятичном коде 8-4-2-1 на разъем принтера.Прибор состоит из трех блоков – измерителя, генератора и микропроцессорной системы (рис. 4.2).

Рис. 4.2. Структурная схема измерителя нелинейных искаженийСК6-13
В режиме измерения коэффициента гармоник «
»сигнал со входа измерителя поступает на масштабный усилитель-компрессор. Он ограничивает динамический диапазон сигнала с 60 до 6 дБ – то есть при изменении уровня входного сигнала от 0,1 до 100 В уровень выходного сигнала усилителя поддерживается в пределах 0,85...2,25 В. Это упрощает работу блоков фильтрации и цифрового вольтметра и снижает искажения, вносимые самим прибором.
Далее сигнал поступает на вход режекторного фильтра, построенного на основе трех RC-звеньев с коммутацией резистивных и емкостных матриц.
Этот фильтр удаляет (вычитает) из сигнала первую гармонику, оставляя высшие гармоники без изменения. Настройка режекторного фильтра производится микропроцессором тем же кодом, что и перестройка генератора. Тем самым обеспечивается точная настройка фильтра на частоту входного сигнала.
С выхода фильтра сигнал, представляющий собой сумму высших гармоник, подается на цифровой вольтметр. В его составе находится переключатель диапазонов измерения, преобразователь (детектор) среднеквадратического значения и аналого-цифровой преобразователь (АЦП). В приборе использован квадратичный детектор на сборке полевых транзисторов. Постоянное напряжение после детектора преобразуется АЦП двойного интегрирования в цифровой код.
Для вычисления коэффициента гармоник, согласно формуле:

требуется сигнал суммы высших гармоник нормировать к уровню первой гармоники. Для этого в приборе предусмотрен блок выделения сигнала первой гармоники. Это полосовой фильтр и линейный детектор- выпрямитель. Постоянное напряжение, пропорциональное уровню первой гармоники, подается в качестве опорного на АЦП цифрового вольтметра. При этом АЦП вырабатывает код, равный отношению среднеквадратической суммы высших гармоник к уровню первой гармоники, как и полагается по формуле.
В режиме измерения напряжения «V»
входной сигнал подается непосредственно на вольтметр. В качестве опорного в АЦП используется его собственный образцовый источник постоянного напряжения.
Генератор прибора представляет собой функциональный генератор с цифровым управлением. Он содержит два интегратора и суммирующий усилитель. Частота генератора регулируется переключением матрицы конденсаторов и резистивной матрицы делителя напряжения. Уровень выходного напряжения стабилизирован по амплитуде. К выходу функционального генератора подключен дискретный аттенюатор с цифровым управлением. Для получения малых значений выходного напряжения (до 100 мВ) предусмотрен дополнительный делитель напряжения 1:100, включаемый вручную тумблером на передней панели.
Управляющая часть прибора представляет собой цифровой блок, реализующий:
· прием и обработку команд с клавиш управления прибором;
· управление работой цифрового вольтметра;
· перестройку частоты генератора и режектроного фильтра;
· запоминание 9 значений частоты и уровня сигнала генератора (режим ПАМЯТЬ);
· переключение пределов измерения в ручном или автоматическом режимах;
· индикацию результатов измерения на цифровом табло.
5. СПИСОК ЛИТЕРАТУРЫ
1. Атамалян Э. Г. Приборы и методы измерения электрических величин. М.: Высш. шк., 1986.
2. Б.П. Хромой, Ю.Г. Моисеев. Электрорадиоизмерения: Учебник для техникумов. – М.: Радио и связь, 1985 – 288 с.
3. Измерения на звуковых и ультразвуковых частотах. Курс лекций для студентов специальностей 7.091201 ”Акустические средства и системы”, 7.091202 ”Медицинские акустические и биоакустические приборы и аппараты”/ Сост. А. И. Бахин, И. С. Бачинская. – К.: НТУУ “КПИ”, 2008 – 124с.
|