| Экономический анализ базируется на материалистической диалектике и экономической теории рынка. Всеобщий диалектический метод познания реальной действительности предполагает изучение явлений в их взаимосвязи и взаимообусловленности, в изменении и развитии.Под методом экономического анализа следует понимать диалектический способ подхода к изучению хозяйственных процессов в их становлении и развитии. Особенностью метода экономического анализа является то, что он использует систему показателей, которые на том или ином уровне управления наиболее широко характеризуют субъект рыночных отношений, выявляет и измеряет тесноту взаимосвязи этих показателей. Необходимость такого подхода связана с тем, что изучение каждого показателя в отрыве от других порождает ошибочные выводы, не позволяет проникнуть в глубину происходящих процессов, осознать необходимость проведения тех или иных мероприятий.
Исходя из этого метод экономического анализа представляет собой совокупность способов изучения хозяйственной деятельности предприятий путем выявления и определения взаимосвязей изучаемых показателей, расчленения их на составляющие и сравнения с другими, измерения величины влияния на изучаемые показатели как отдельных составляющих, так и совокупности их в единстве и взаимной связи. В этом определении обнаруживается пять наиболее общих элементов метода:
выявление и представление взаимосвязи изучаемого явления;
расчленение или детализания;
сравнение;
определение величины влияния факторов или элиминирование;
обобщение.
Без применения при анализе всех названных элементов метода невозможно глубокое и всестороннее изучение экономических показателей и процессов, происходящих в экономике.
На начальной стадии анализа того или иного показателя изучение проводится от общего к частному, что представляет собой дедуктивный прием исследования. На стадии обобщения изученные составляющие анализируемого показателя рассматриваются с учетом влияния их на общие анализируемые показатели, что представляет собой индуктивный прием исследования. Дедуктивный и индуктивный приемы исследования — это две стороны процесса изучения явлений. В этом проявляется единство и неразрывная связь анализа и синтеза. Применение каждого элемента метода достигается совокупностью технических приемов и способов экономического анализа, взаимосвязь которых видна из механизма функционирования экономического анализа (рис. 6), составленного на основе обобщения материалов книги М. И. Бакланова и А. Д. Шеремета "Теория экономического анализа".
В экономических исследованиях наиболее распространенным и целесообразным (а в условиях применения современных средств обработки информации и управления производством также необходимым) является изображение экономических взаимосвязей в виде математических формул или математических моделей производственных процессов. Использование при анализе аналитических моделей позволяет абстрактно изобразить основные взаимосвязи, существующие в реальной хозяйственной системе, а также изучить хозяйственные процессы.
Первоначальное представление взаимосвязи анализируемого показателя в виде аналитической модели может сформироваться на основе:
определения конкретных факторов изучаемого показателя;
установления последовательности влияния отдельных факторов и подразделения их на количественные и качественные;
выяснения характера зависимости изучаемого показателя от отдельных факторов;
представления конкретной взаимосвязи изучаемого показателя с влияющими на него факторами.
При анализе экономических показателей придерживаются такой последовательности изучения отдельных факторов, которая складывается в производственных условиях. Многие экономические показатели можно анализировать и как складывающиеся под влиянием многочисленных факторов, что обусловливает сложность определения последовательности их влияния.
Важный вопрос анализа — выяснение характера зависимости изучаемого показателя от отдельных факторов и определение конкретной их взаимосвязи.
Простейшая функциональная связь — пропорциональная зависимость между двумя показателями или их большим числом, когда соответствующему значению фактора отвечает вполне определенное значение анализируемого показателя.
Иным видом связи является сложнейшая зависимость между экономическими показателями, когда одному и тому же значению фактора могут отвечать несколько величин результативного показателя.
Иными словами, соответствующая степень влияния проявляется в определенном соотношении одного фактора с другими. Такую взаимосвязь явлений и показателей называют корреляционной. Если пропорциональную связь можно выявить в каждом отдельном случае, то корреляционную — только с помощью изучения совокупности наблюдений. Следует отметить, что корреляционная связь может быть результатом изучения совокупности наблюдений пропорциональных связей между факторами. Например, себестоимость единицы продукции в единичном случае находится в пропорциональной зависимости от величины затрат на 1 ед. продукции и производительности. При изучении совокупности этих взаимосвязей может быть выявлена корреляционная зависимость той же себестоимости единицы продукции от уровня производительности или же от величины затрат на единицу продукции.
Детализация. Изучение любой взаимосвязи включает расчленение, разложение или детализацию экономических показателей на составляющие или отдельные факторы. Кстати, само слово "анализ" в переводе с греческого характеризует именно такое его содержание. Каждый экономический показатель находится под влиянием многих факторов. Такую взаимосвязь в общем виде принято отражать одним уравнением производственной функции, в котором результат производства у представляет собой функцию/независимых величин факторов х:
у — j (Xj, Xj, Ху ..., хп).[ р)
Экономические показатели детализируют по признакам пространства, времени, специальным признакам, составляющим. Для углубленного изучения анализируемые показатели раскладываются на отдельные составляющие, факторы, которые оказывают влияние как по времени, так и в пространстве.
Следует учитывать, что чем больше и шире детализация изучаемых показателей, тем глубже и качественнее анализ причин, тем точнее аналитические результаты изучения экономики производства.
Сравнение. Сущность экономического анализа не исчерпывается характеристикой взаимосвязей и детализацией изучаемых показателей. Важное средство анализа — сравнение этих показателей, а также их составляющих с другими аналогичными данными, принятыми в качестве базовых. Без сравнения вообще не может быть анализа.
В зависимости от цели изучения экономических показателей способы сравнений различают прежде всего с учетом того, какие показатели принимаются в качестве базисных для сравнения с ними анализируемых показателей. В качестве базисных показателей могут быть:
плановые по предприятию в целом и по внутрихозяйственным подразделениям;
показатели за прошлые годы и средние за ряд лет;
показатели других отдельных производств и средние данные по объединению, району или группе однотипных по специализации производств;
нормативные или расчетные возможные показатели, которые определены с учетом достижений передового опыта, науки и техники и др.
Анализируемыми показателями обычно бывают фактически достигнутые , учетные или отчетные. В отдельных случаях в качестве анализируемых могут приниматься плановые, которые сопоставляются с базисными, фактически достигнутыми показателями за прошлый год или ряд лет.
Способы сравнения различают по технике сопоставления показателей: использования абсолютных или относительных сравнений.
Особое место в процессе анализа отводится методам корреляции.
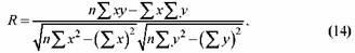
Анализ корреляционной зависимости экономических показателей от отдельных факторов более сложен. Степень влияния таких факторов при анализе определяется с помощью методов корреляции. Связь между корреляционным фактором и результативным показателем характеризуется прежде всего коэффициентом корреляции, который может изменяться от нуля до единицы. Чем ближе он к единице, тем теснее связь между анализируемыми показателями. Коэффициент корреляции с плюсом указывает на прямую связь, а с минусом — на обратную. Коэффициент корреляции вычисляют по формуле

где п — количество наблюдений; у — результативный показатель; х — факториальный показатель.
Способ относительных чисел применяется тогда, когда изучаемый показатель является результатом произведения нескольких факторов. Он отличается от предыдущих тем, что расчеты влияния факторов на изучаемый показатель проводятся исходя из относительных показателей их изменения, выраженных в процентах или коэффициентах. При определении влияния первого фактора процентное выражение изменения его величины, деленное на 100, умножают на базисную величину изучаемого показателя.
Для определения влияния второго и каждого последующего фактора сначала устанавливают процентное выражение изменения изучаемого показателя за счет соответствующего фактора с учетом влияния предшествующих факторов и затем умножают его на базисное значение изучаемого показателя. Влияние последнего фактора определяется так: из показателя выполнения плана вычитают совокупный процент влияния всех предшествующих факторов; полученный результат умножают на базисную величину изучаемого показателя и делят на 100.
Методы изучения экономической теорииЕсли предмет науки характеризуется тем, что она изучает, то метод — как это исследуется. Одно вытекает из другого. Экономика как наука использует широкий спектр методов научного познания. Метод — это совокупность приемов, способов, принципов, с помощью которых определяются пути достижения цели.
Одним из таких методов при изучении хозяйственных явлений является метод научной абстракции. Исследователь отвлекается от второстепенных сторон явлений, чтобы выявить то, что в них существенно и постоянно повторяется. Так возникают общие понятия: производство вообще, потребности, распределение, обмен и др. Метод научной абстракции — хотя и важнейший, но не единственный метод научного познания, используемый в экономической теории. Здесь активно применяются анализ и синтез, индукция и дедукция, исторический и логический методы, экономико-математическое моделирование, экономический эксперимент.
Широко распространены индукция и дедукция. Посредством индукции (наведения) обеспечивается переход от изучения единичных фактов к общим положениям и выводам. Дедукция (выведение) делает возможным переход от общих выводов к относительно частным. Анализ и синтез, индукция и дедукция применяются экономической теорией в единстве. Их сочетание обеспечивает системный (комплексный) подход к сложным (многоэлементным) явлениям хозяйственной жизни.
Важное место в исследовании экономических явлений и процессов занимают исторический и логический методы. Они не противостоят друг другу, а применяются в единстве, поскольку исходный пункт исторического исследования совпадает в общем и целом с исходным пунктом логического исследования. Однако логическое (теоретическое) исследование экономических явлений и процессов не является зеркальным отражением исторического процесса. В конкретных условиях той или иной страны могут возникнуть экономические явления, которые не обязательны для господствующей системы хозяйствования. Если фактически (исторически) они имеют место, то в теоретическом анализе их можно игнорировать. Мы можем от них отвлечься. Историк же не может игнорировать такого рода явления. Он должен их описать.
Используя исторический метод, экономика исследует хозяйственные процессы и явления в той последовательности, в которой они в самой жизни возникали, развивались и сменялись одни другими. Такой подход позволяет конкретно и наглядно представить особенности различных экономических систем.
Исторический метод показывает, что в природе и обществе развитие идет от простого к сложному. Применительно к предмету экономики это означает, что во всей совокупности экономических явлений и процессов необходимо выделить в первую очередь наиболее простые, возникающие раньше других и составляющие основу возникновения более сложных. Например, в анализе рынка такое экономическое явление — обмен товаров.
Экономическим процессам и явлениям присуща качественная и количественная определенность. Поэтому экономическая теория (политическая экономия) широко использует математические и статистические приемы и средства исследования, которые позволяют выявить количественную сторону процессов и явлений хозяйственной жизни, их переход в новое качество. При этом широко применяется вычислительная техника. Особую роль здесь играет метод экономико-математического моделирования. Данный метод, являясь одним из системных методов исследования, позволяет в формализованной форме определять причины изменений экономических явлений, закономерности этих изменений, их последствия, возможности и издержки влияния, а также делает реальным прогнозирование экономических процессов. С помощью этого метода создаются экономические модели.
Экономическая модель — это формализованное описание экономического процесса или явления, структура которого обусловлена его объективными свойствами и субъективным целевым характером исследования.
Экономико-математическое моделирование как метод экономической теории получил широкое распространение в
XX в. Однако элемент субъективности в построении экономических моделей иногда ведёт к ошибкам.
При анализе экономических проблем часто используют позитивный и нормативный анализ. Позитивный анализ дает нам возможность увидеть экономические явления и процессы такими, какие они есть на самом деле: что было или что может быть. Позитивные утверждения не обязательно должны быть верными, но любой спор относительно позитивного утверждения можно решить проверкой фактов. Нормативный анализ основан на исследовании того, что и как должно быть. Нормативное утверждение чаще всего выводится из позитивного, но объективные факты не могут доказать его истинность или ложность. При нормативном анализе выносятся оценки — справедливо или несправедливо, плохо или хорошо, допустимо или недопустимо.
Экономические теории формулируются в виде позитивных утверждений, большинство расхождений между экономистами возникает при рассмотрении вопросов нормативного анализа.
При изучении экономической жизни людей, их групп и всего общества возможны, разумны и необходимы экономические эксперименты, хотя далеко не всегда можно предвидеть все вероятные результаты этих экспериментов.
Экономический эксперимент — это искусственное воспроизведение экономического явления или процесса с целью его изучения в наиболее благоприятных условиях и дальнейшего практического применения.
Общая характеристика экономической мысли античного мира
Основой экономического строя рабовладельческого общества была частная собственность рабовладельцев на средства производства и неограниченная их собственность на работника производства — раба. Рабовладельческое общество — первое классовое общество. Основными классами этого общества были рабовладельцы и рабы. Кроме рабов и рабовладельцев, в нем существовали и классы мелких производителей (крестьян и ремесленников) и купцов.
Для античного мира характерно уже наличие мастерских с зачатками разделения труда и довольно развитое товарное обращение. Но товарное производство еще находилось в начальной стадии своего развития. В обращение поступали главным образом излишки, возникавшие в хозяйстве рабовладельца. На основе развитого товарного обращения уже возник торговый капитал. Характерным для античного мира явлением было ростовщичество. Эти экономические явления и процессы нашли свое отражение в сочинениях мыслителей этой эпохи.
Первые зачатки экономической теории проявляются в экономической мысли античного мира. Не следует, конечно, искать в ней стройной и цельной системы взглядов, ибо экономическая мысль еще не выделилась в особую область идеологии.
Отдельные экономические высказывания античных авторов были вызваны стремлением осмыслить некоторые явления и процессы, характерные для их эпохи. Так, мы встречаемся у них с попытками первого научного обобщения и оценки общественного разделения труда, обмена, денег. Но все эти проблемы ставились и рассматривались с точки зрения класса рабовладельцев, защиты рабовладения и натуральных форм хозяйства. Эта классовая позиция обусловила непонимание исторической закономерности возникновения товарно-денежных отношений и отрицательное отношение к первым формам капитала — торговому и ростовщическому, отрицательное отношение к прибыли и проценту. Стремление оправдать рабовладение лежит в основе презрительного отношения античных мыслителей к физическому труду, как унизительному для свободного человека занятию.
Таким образом, классовый характер экономической мысли этой эпохи выражен очень наглядно. Отсюда историческая ограниченность и противоречивость взглядов античных авторов по экономическим вопросам. Так, высказав некоторые научные положения относительно разделения труда, обмена и денег, они вместе с тем выступали в защиту натуральных форм хозяйства, считали рабовладельческий строй вечным, абсолютным.
Экономическая мысль начала средневековья носит ярко выраженный богословский характер.
Экономика наполнена религиозно-этническими нормами которыми оправдывался сословный характер организации общества и сосредоточение политической и экономической власти у феодалов. Яркий представитель этого времени Фома Аквинский. В это время категорически осуждалась торговая прибыль, ростовщический процент, который характеризуется как результат неправильного обмена и присвоение чужого труда. В этот период изменилось отношение к физическому труду сделав его уважаемым. Ссудные операции вообще запрещались.
Середина 14 века; происходит увеличение количества городов, развитие ремесленничества и торговли. В результате возник принцип двойственности оценок, призванный изменить смысл анализируемого явления на противоположный. Пример:
изначально богатством считалась совокупность материальных благ созданное приложением труда, и осуждалось если было создано другими способами, «эквивалентный обмен»;
В поздний период был доказаны плюсы не эквивалентного обмена.
Фома Аквинский (Аквинат) (1226-1274).
Этот итальянский монах доминиканского происхождения считается наиболее
авторитетной фигурой упоминавшейся выше школы канонистов на позднем этапе
ее развития. Ее воззрения в области социально-экономического устройства
общества существенно разнятся с положениями основателя канонизма, или, как
еще говорят, ранней школы канонистов, Августина Блаженного (353-430). При
этом на первый взгляд Аквинат, подобно Августину, опирается на те же
принципы религиозно-этического свойства, на основе которых школа на
протяжении ряда столетий трактовала «правила» хозяйственной жизни,
установления «справедливых цен» и достижения эквивалентного и
пропорционального обмена.
На самом же деле Ф. Аквинский, учитывая реалии своего времени,
изыскивает сравнительно новые «объяснения» социального неравенства в
условиях более дифференцированного, чем прежде, сословного деления
общества. В частности, в работе «Сумма теологии» он оперирует уже не
единичными, а массовыми проявлениями признаков утверждающих себя изо дня в
день масштабных товарно-денежных отношений в возросших числом и своим
могуществом городах. Иными словами, в отличие от ранних канонистов
прогрессирующий рост городского ремесленного производства, первых торговых
и ростовщических операций Ф. Аквинский не характеризует отныне как
исключительно греховные явления и не требует их запрещения.
1.1
Зарождение и развитие экономической теории
Данная тема занимает особое место в структуре общей экономической теории, так как она является своеобразным методологическим введением в изучаемый курс. Необходимо выяснить, что исследует общая экономическая теория, какие приемы она для этого использует, какую роль играет в развитии общества.
Сегодня человек не может считать себя приобщенным к образованию и культуре, если он не изучил и не понял законов общественного развития, не овладел знаниями экономической теории. При изучении этой темы студенты получают представление о целом ряде новых категорий, иных постановок проблем, оперировать которыми, расширяя их и обогащая, придется на протяжении изучения всего дальнейшего курса.
Любая наука возникает в результате попыток людей решить определенные вопросы, касающиеся природы, общества и их взаимодействия. Все это в полной мере относится и к комплексу наук, изучающих экономику. С давних времен люди пытались выяснить, от чего зависит развитие человеческого общества, по каким законам развивается экономика.
Жизнь людей чрезвычайно разнообразна, сложна и противоречива. Она охватывает экономику, политику, культуру и т. д. Различные стороны общественной жизни изучаются различными науками. Одной из таких наук является экономическая наука.
Зачатки экономической науки появились еще в древнем мире. Уже ученые-философы Древней Греции, Рима, Востока, Египта, Китая и Индии пытались решить отдельные вопросы экономики: что лежит в основе цены товара, как наживать состояние.
Экономическая мысль Древней Греции и ученые той поры, например Платон (427-347 гг. до н. э.) и Аристотель (384-322 гг. до н. э.), сформулировали исходные положения экономической теории о полезности как исходной ценности материальных благ, равновеликом обмене эквивалентов.
Мыслители Древнего Рима — Сенека (4-65 гг. до н. э.), Лукреций Кар (39-55 гг. до н. э.) и др. исследовали экономические причины разложения и гибели рабства, главной из которых, по их мнению, было отсутствие материального интереса. Взгляды Сенеки оказали влияние на формирование экономических концепций христианства, которое в последующем историческом процессе развития человечества совершило коренной переворот во взглядах на хозяйственную жизнь. Христианские мыслители и проповедники объявили простой хозяйственный труд необходимым и святым делом, считая, что «Если кто не хочет трудиться, тот пусть и не ест». Христианское учение обосновывало принципы справедливого ценообразования, социальной, а не индивидуальной оценки благ с учетом затрат труда.
Однако мыслители древности еще не выделяли экономические явления из всей суммы общественных процессов, не создали систематизированного учения об экономике.
Итак, как прикладная наука о ведении хозяйства экономическая теория возникла в период рабовладельческого строя. Но только в XVI - XVIII вв. появилось ее название — политическая экономия (от греческих слов: «политейя» — общество, «ойкос» — дом, хозяйство, «номос» - закон). Таким образом, политическая экономия — наука о законах функционирования общественного хозяйства в рамках государства. В самостоятельную науку политическая экономия превращается в начале XVII в.
Итак, как прикладная наука о ведении хозяйства экономическая теория возникла в период рабовладельческого строя. Но только в XVI - XVIII вв. появилось ее название — политическая экономия (от греческих слов: «политейя» — общество, «ойкос» — дом, хозяйство, «номос» - закон). Таким образом, политическая экономия — наука о законах функционирования общественного хозяйства в рамках государства. В самостоятельную науку политическая экономия превращается в начале XVII в.
Первой теоретической школой был меркантилизм (от итальянского «меркантилизм» —
купец, торговец). Представители этой школы считали, что богатство общества возникает только в торговле (деньги, золото). Главный предмет своей науки они видели в процессах товарного и денежного обращения. Такие представления не были случайными. Они соответствовали начальному виду капиталистической деятельности — международной торговле, когда товары покупались в одной стране по более низким ценам, а продавались в другой по более высоким. Поэтому меркантилисты советовали государству расширять торговлю, накапливать золото в стране. Представитель этой школы — Томас Ман (1571-1641 гг.). Идеи меркантилизма — государственное вмешательство в хозяйственную жизнь, протекционизм в торговле — используются и в современной экономике.
Между тем критики меркантилизма справедливо отмечали, что во время торговой сделки не возникает вообще никакого богатства, а происходит лишь обмен денег на товар и наоборот. При нарушении равенства в обмене богатство лишь перераспределяется в пользу одной из сторон. Когда же обмен равноценен, то никто не может обогатиться.
Позже появляется теоретическое учение физиократов («физиократин» в переводе с греческого — власть природы). Вслед за основателем учения Франсуа Кенэ (1694-1774 гг.) физиократы считали, что источником богатства является производство, хотя и существует только одна его отрасль - сельское хозяйство, где богатство возникает естественным путем и представляется даром природы. Отсюда рост богатства они связали только с естественным плодородием земли, а промышленность не считали отраслью, где создается прирост доходов. Однако сама по себе природа без приложения капитала и труда не может постоянно умножать богатство общества.
Поворот к исследованию производства открыл путь для возникновения научной политической экономии.
Наиболее обоснованные ответы на рассматриваемые вопросы дала классическая школа. Ее представители Давид. Риккардо (1772-1823 гг.), Адам Смит (1723-1790) установили, что богатство нации возникает в материальном производстве, причем во всех его отраслях. Его всеобщей универсальной формой выступает стоимость товаров. А. Смит заложил основы трудовой теории стоимости, подчеркнув роль производительного труда, создал учение о доходах.
Рост богатства происходит тогда, когда первоначально затраченная сумма прирастает на дополнительную величину (прибавочную стоимость, или прибыль). Это Принципиально важное открытие, которое и позволило экономической теории, в которое и позволило экономической теории конечном счете стать подлинной наукой. В это же время формируются взгляды утопического социализма, основные положения которого изложены в трудах Томаса Мора «Утопия», Кампанеллы «Город Солнца». Позднее в это учение внесли вклад II. Фурье, К. Сен-Симон, Р. Оуэн.
На основе классической политической экономии и утопического социализма складывается марксистское направление.
До сих пор экономическая наука нашей страны развивалась в основном в рамках марксистской школы. В любом серьезном исследовании истории экономической мысли этой школе уделяется большое внимание. Так, П. Самуэльсон и В. Нордхаус ставят «Капитал» К. Маркса в один ряд с «Богатством народов» А. Смита и «Общей теорией занятости, процента и денег» Д. М. Кейнса, рассматривая все эти произведения как узловые пункты развития мировой экономической теории.
К числу современных направлений экономической мысли относится неоклассическая школа, представители которой формулируют субъективную теорию стоимости и теорию равновесия. Экономическое хозяйство рассматривается ими как совокупность микроэкономических агентов, желающих получить максимальную полезность при минимальных издержках. Исходным пунктом в этом анализе выступает спрос и предложение, потребность и потребление.
В XIX в. экономическая наука все больше изучает законы ценообразования и рационального использования ресурсов, оптимального использования факторов производства и достижения предельных результатов (основные представители этой школы — А. Маршалл, К. Кобб, П. Дуглас).
Развивается и теория общего динамичного равновесия (Л. Вальрас), с помощью, которой можно установить то, как спрос на товары и услуги влияет на спрос на факторы производства (труд, землю, капитал).
В современной экономической теории следует выделить несколько крупных направлений: неоклассическое, кейнсианское, монетаристское, институционально-социологическое. Эти направления производят анализ динамических процессов в экономике (циклов, инфляции, занятости, изменения экономических структур, в денежных измерителях и др.).
Особо следовало бы подчеркнуть роль и течение экономической мысли России. Развитие ее начинается с образования всероссийского рынка в XVII в. и трактовок известного экономиста и государственного деятеля Ордын-Нащокина (
1605-1680 гг.) Его взгляды - проявление русского меркантилизма в централизованном государстве. В последующем экономические воззрения представлены такими учеными, как И. Т. Посошков (16524 726 гг.), М.В. Ломоносов (1711-1765 гг.), М. М. Сперанский (1772-1839 гг.),'а также трудами А. Н. Радищева, А. И. Герцена, С. Ю. Витте, П. А. Столыпина, Г. В. Плеханова и др. Они обосновывали необходимость рыночных связей между сферами и регионами России на основе проведения финансовых, аграрных и промышленных реформ.
Особое место в истории российской экономической мысли занимает марксистское направление, которое господствовало с 20-х до 90-х годов двадцатого столетия. Монопольное господство марксистских воззрений, как сорняк среди ценных растений, душило прогрессивные экономические трактовки, хотя они и развивались. Особую ценность представляют идеи Н. Д. Кондратьева (1891-1938 гг.), разработавшего теорию экономических циклов («длинных волн»), А. В. Чаянова (1888-1938 гг.), обосновавшего организационно-производственные направления в экономике и семейно-крестьянском хозяйстве. К сожалению, под влиянием диктатора Сталина многие направления экономических трактовок объявлялись «политически вредными для социализма».
В современной период перестройки экономики в России, демократии и гласности ученые интегрируют взгляды и достижения отдельных экономических школ применительно к экономике переходного периода и становление предпринимательства в рамках специфической российской экономики. Некоторые видные представители этой школы - Е.Гайдар, С.Шаталин, Г.Явлинский и др., обосновывают необходимость взаимосвязанного развития микропроцессов и макропроцессов в экономике на основе использования монетаризма и разумного государственного регулирования.
|