|
ЛИНЕЙНЫЕ СИСТЕМЫ ДИФФЕРЕНЦИАЛЬНЫХ
УРАВНЕНИЙ С ПОСТОЯННЫМИ КОЭФФИЦИЕНТАМИ
§
I
. МЕТОД ЭЙЛЕРА
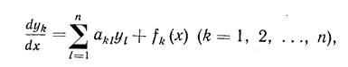
211. Предварительные замечания. В этой главе мы будем изучать линейные системы уравнений:


Или (1′)
Где коэффициенты akl
=(k, l=1,2,…,n) – постоянные вещественные числа, а fk
(x) (k=1,2,…,n) – функции от х, непрерывные в интервале (a,b).
Применяя общую теорию линейных систем уравнений, изложенную в предыдущей главе, мы покажем, что система
(1) всегда может быть проинтегрирована в конечном виде, т. е.
либо в элементар- ных функциях, либо в квадратурах.
Так как интегрирование неоднородной линейной системы приводится к интегрированию соответствующей однородной системы, то рассмотрим сначала вопрос о построении общего решения однородной системы:

В силу теоремы о построении общего решения, для построения общего решения системы (2) достаточно построить хоть одну фундаментальную систему решений.
Применяя теорему о существовании фундаментальной системы решений, мы видим, что существует фундаментальная система решений, определенных и непрерывных в промежутке
Более того, согласно замечанию теоремы о существовании фундаментальной системы решений, существует фундаментальная система решений, голоморфных в интервале .
Мы покажем, что фундаментальная система решений может
быть построена из
элементарных
функций, голоморфных
в интервале
.
212. Построение фундаментальной системы решений и общего решения однородной линейной системы в случае различ
ных корней характеристического уравнения.
По аналогии с однородным линейным уравнением с постоянными коэффициентами будем искать частное решение системы (2) в виде
(3)
g1
, g2
, ..,gn
и l - некоторые постоянные числа, причем числа g1
, g2
, ..,gn
не равны нулю одновременно, ибо в противном случае мы получили бы очевидное нулевое решение, которое не может входить в состав фунда- ментальной системы и, следовательно, не может быть использовано для построения общего решения.
Обратим особое внимание на то, что число l мы берем одно и то же для всех функций, составляющих решение.
Подставляя функции (3) в систему (2), сокращая на е
l
x
и пере- нося все члены направо, получим для определения чисел gk
следующую систему:
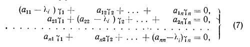
(4)
Нас интересует ненулевое решение этой системы. Такое решение существует лишь при условии, что определитель системы равен нулю, т. е. при условии
(5)
Уравнение (5) называется характеристическим уравнением
системы
(2), его корни— характеристическими числами,
а определитель D(l) -характеристическим определителем.
Рассмотрим сначала случай, когда все характеристические числа
l1
,l2
,...,ln
различны. В этом случае имеем: D(li
)=0, но Вследствие этого ранг матрицы

Составленной из коэффициентов системы

которая получается из системы (4) после замены в ней l на li
- равен n-1.
Действительно, вычисляя D’(l), имеем:

где Dll
(l) - алгебраическое дополнение элемента all
- l определителя D(l). Так как то из (8) видим, что хоть один из определи- телей (п
—1)-го порядка, именно один из Dll
(li
), отличен от нуля, так что ранг рассматриваемой матрицы равен п
— 1.
Поэтому одно из уравнений системы (7) есть следствие осталь-ных и эта система имеет ненулевое решение, определенное с точ-ностью до произвольного множителя пропорциональности Ai
:
gi1
= Ai
mi1
, gi2
= Ai
mi2
,…, gin
= Ai
min
(i
=1.2,…, n).
(9)
Например, в качестве gik
можно взять алгебраические дополнения элементов любой строки определителя Dl
(li
), если не все они равны нулю. В самом деле, так как сумма произведений элементов какой-либо строки определителя Dl
(li
) на алгебраические дополнения эле-ментов другой строки равна нулю, а сумма произведений элементов строки на их алгебраические дополнения равна самому определителю D(li
) т. е. снова равна нулю, то ясно, что, заменив в системе (7) неизвестные gk
взятыми алгебраическими дополнениями, мы получим тождества.
Фиксируя в формулах (9) множитель Ai
, мы получим определен-ное решение системы (7).
Подставляя теперь в (3) вместо l последовательно характеристи-ческие числа li
,а вместо g1
, g2
,..., gn
— соответствующие им решения системы (7), определяемые формулами (9) при фиксированных множителях Ai
, получим п
решений:

Эти решения линейно независимы в интервале .
Если при этом все корни l1
, l2
,..., ln
вещественны, то все решения (10) тоже будут вещественными.
Таким образом, в случае различных вещественных корней
характеристического уравнения система
(2) имеет п веществен
ных линейно независимых частных решений вида
(10), так что последние образуют
фундаментальную
систему решений.
Поэтому, в силу теоремы о построении общего решения,
формулы

Дают общее решение системы (2) в области

Если характеристические числа различные, но среди них есть комплексные,
то последние входят сопряженными парами. Пусть a
+
ib
и а
– ib
— простые корни характеристического уравнения. Корню a
+
ib
соответствует согласно формуле (3) решение
y1
=g1
e
(
a
+
ib
)
x
,
y2
=g2
e
(
a
+
ib
)
, … ,
yn
=gn
e
(
a
+
ib
)
.
(13)
здесь g1,g2, ...,gn
– комплексные числа. Полагая
g1
=g11
+i
g21
, g2
=g12
+i
g22
, … ,gn
=g1
n
+i
g2
n
,
Получаем решение
y1
=( g11
+i
g21
) e
(
a
+
ib
)
x
,
y2
=( g12
+i
g22
) e
(
a
+
ib
)
x
, … ,
yn
=( g1
n
+i
g2
n
) e
(
a
+
ib
)
x
.
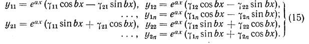
Это решение комплексное. Отделяя в нем вещественные и мнимые части, мы получим, согласно свойствам решений однородной системы,
два вещественных решения:

Эти решения, очевидно, линейно независимы в интервале . Нетрудно убедиться, что сопряженный корень а
—ib
не порождает новых вещественных линейно независимых частных решений.
Таким образом, если все характеристические числа
— раз
личные и вещественные, то мы получаем соответствующие им
вещественные линейно независимые частные решения в виде
(10). Если же все характеристические числа
— различные, но
среди них есть комплексные, то последние обязательно входят сопряженными парами и каждой паре таких характеристических чисел соответствуют два линейно независимых частных решения вида
(15). Всего мы получим п вещественных частных
решений. Все эти решения линейно независимы в интервале
.
В самом деле, предположим обратное. Тогда, написав соответствующую систему соотношений между этими решениями и перейдя в ней от тригонометрических функций к 'показательным, мы получили бы, что системы функций вида (10), где l1
,
l2
, … ,
ln
—различные числа, оказались бы линейно зависимыми.
Общее решение системы
(2) в области
(12) представляет собою линейные комбинации построенных п вещественных ли
нейно независимых частных решений с произвольными посто
янными коэффициентами.
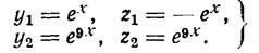
Пример 1
. Найти общее решение системы:

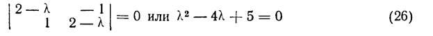
Решая характеристическое уравнение
или l2
-10l+9=0;
находим: l1
=1, l2
=9, так что характеристические числа различные и вещественные.
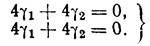
Составляем систему для определения чисел g1
и g2
соответствующих характеристическому числу l1
= 1. Матрица коэффициентов этой системы получается из матрицы
 5-l 4
4 5-l заменой l на l1
=1, так что искомая система будет иметь вид

Здесь, как и следовало ожидать, второе уравнение является следствием первого (оно даже совпадает с первым уравнением) и его можно было и не выписывать. Полагая , находим g1
=1, находим g2
= −1
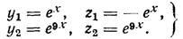
Таким образом, характеристическому числу Х1
=1 соответствует решение:
y
1
= ех
,
z
1
= −
ex
.
(20)
Аналогично, решая систему, соответствующую характеристическому числу l2
=9:
(21)
находим: g1
=1, g2
=1 так что этому характеристическому числу соот-ветствует решение:
y2
=e
9
x
, z
2
=
e
9
x
(22)
Мы получили фундаментальную систему решений:
(23)
Беря линейную комбинацию, получаем общее решение:

Пример 2
. Рассмотрим систему:

Характеристическое уравнение

Имеет комплексные сопряженные корни λ1
= 2 + i, λ2
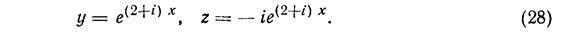
= 2 – i. Найдем решение, соответствующее λ1.
Это решение имеет вид y = γ1
e(2+
i
)
x
,
z = γ2
e(2+
i
)
x
. Числа γ1
и γ2
ищем из системы

Полагая γ1
=1, находим γ2
= - i, так что искомым решением будет

Это решение комплексное. Отделяя в нем вещественные и мнимые части, получим два вещественных решения

Эти решения составляют фундаментальную систему решений, так что общим решением будет

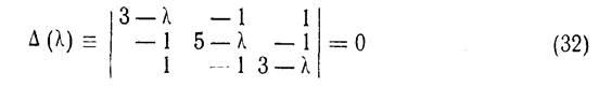
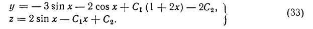
Пример 3
. Найти общее решение системы:

Характеристическое уравнение

Имеет различные и притом вещественные корни λ1
= 2, λ2
= 3, λ3
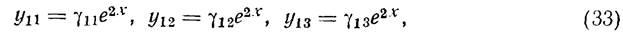
=6, так что фундаментальная система решений имеет вид (10). Найдем сначала частное решение вида

Соответствующее характеристическому числу λ1
= 2. В качестве чисел γ11,
γ22,
… , γ1
n
можно взять алгебраические дополнения элементов первой строки определителя

который получается из характеристического определителя Δ (λ) заменой λ на λ1
=2. Получаем

или (деля на 2)
Подставляя эти значения γ1
k
в (33), получим

Аналогично найдем, что в качестве чисел γ2
k
, γ3
k
, соответствующих характеристическим числам λ2
= 3, λ3
=6, можно взять γ21
= 1, γ22
= 1, γ23
= 1, γ31
= 1, γ32
= -2, γ33
= 1. Фундаментальной системой решений будет

Так что общее решение имеет следующий вид

Случай наличия кратных корней характеристического
уравнения.
Если среди корней характеристического уравнения имеются кратные корни, то изложенный выше способ построения фундаментальной системы решений, очевидно, не применим.
Однако и в этом случае удается построить фундаментальную систему решений в элементарных функциях.
Заметим, прежде всего, что если l1
есть простое характеристическое число, то независимо от того, будут среди остальных характеристических чисел встречаться кратные или нет, ему всегда соответствует одно частное решение вида:
y
1
=
g
1
e
l
1
x
, y
2
=
g
2
e
l
1
x
, … , yn
=
g
n
e
l
1
x
(38)
где g1
, g2
, … ,gn
— некоторые постоянные числа, определяемые с точностью до постоянного множителя.
Таким образом, задача сводится к тому, чтобы найти частные решения, соответствующие кратному корню.
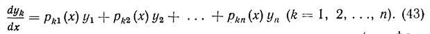
При этом, так же как и для линейного однородного уравнения n-го порядка, оказывается, что одному характеристическому числу кратности k
соответствует k
линейно независимых частных решений.
Теорема
. Если
l
1
есть характеристическое число крат
ности
k
, то ему соответствует решение вида
y1
=P1
(x) e
l
1
x
, y2
=P2
(x) e
l
1
x
, … , yn
=Pn
(x) e
l
1
x
(39)
где
P
1
(
x
),
P
2
(
x
), … ,
Pn
(
x
)
суть полиномы от х степени не вы
ше чем
k
−1
, имеющие в совокупности
k
произвольных коэффициентов, так что среди всех коэффициентов всех этих поли
номов
k
коэффициентов являются произвольными, а все осталь
ные выражаются через них.
В частности может случиться, что все эти полиномы вырождаются в постоянные числа. В таком случае k-кратному характеристическому числу l1
будет соответствовать решение вида
y
1
=
g
1
e
l
1
x
, y
2
=
g
2
e
l
1
x
, … , yn
=
g
n
e
l
1
x
(40)
Однако здесь k из коэффициентов g
1
,
g
2
, … ,
g
n
являются произвольными, в то время как для простого характеристического числа произвольным является только один из них.
Практически при нахождении решения, соответствующего характеристическому числу l
1
нужно искать решение в виде (39), считая P
1
(х), Р2
(х),
..., Рп
(х)
полиномами (k−1)-й степени с неопределенными коэффициентами и, подставляя (39) в (2), выразить все коэффициенты через k из них, которые остаются произвольными.
Полагая поочередно один из этих произвольных коэффициентов равным единице, а остальные равными нулю, мы построим k линейно независимых решений, соответствующих характеристическому числу l
1
.
Все эти частные решения будут составлены из произведений показательной функции e
l
1
x
на полиномы от х,
степени которых не превышают k
−1.
Если же полиномы в формулах (39) вырождаются в постоянные числа, то мы получим k
линейно независимых частных решений такого же вида, как и в случае простого корня характеристического уравнения.
Если l
1
— вещественное характеристическое число, то построенные выше k
линейно независимых решений будут вещественными.
Если же система (2) имеет комплексное характеристическое число a
+
ib
кратности k
,
то оно имеет сопряженное характеристическое число а
—ib
той же кратности.
Построив k
линейно .независимых комплексных решений, соответствующих характеристическому числу a
+
ib
,
и отделив в них вещественные и мнимые части, мы получим 2k, вещественных линейно независимых частных решений.
В общем случае каждому простому вещественному характе
ристическому числу соответствует одночастное решение, каждой
паре простых сопряженных комплексных характеристических
чисел соответствует два вещественных линейно независимых решения, вещественному характеристическому числу кратности
k
соответствует
k
вещественных линейно независимых частных
решений, а каждой паре сопряженных комплексных характе
ристических чисел кратности
k
соответствует 2
k
вещественных
линейно независимых частных решений. Всего получается п
вещественных решений. Все эти решения линейно независимы
в интервале(-∞,+∞
), так что они образуют фундаменталь
ную систему решений. Взяв линейные комбинации решений этой
фундаментальной системы по столбцам с одними и теми же
произвольными постоянными
С1
, С2
,
..., Сп
, мы получим общее решение системы
(2) в области
(12).
Заметим, однако, что мы не можем ,на основании указанной теоремы выяснить до конца структуру фундаментальной системы решений до тех пор, тюка не построим ее фактически.
Мы выясним эту структуру в следующей главе, где будет дан другой способ построения фундаментальной системы, причем в отличие от настоящего пункта там строится сразу вся фундаментальная система.
Указанный выше вид фундаментальной системы решений дает возможность сделать некоторые заключения об устойчивости нулевого решения однородной системы (2)* .
Теорема об асимптотической устойчивости (в смысле
Ляпунова) нулевого решения однородной линейной системы с
постоянными коэффициентами.
Рассмотрим систему:

где akl
— постоянные . вещественные числа, а х1
,
x
2
,
..., xn
— неизвестные функции от времени t
.
Теорема. Если все характеристические числа системы
(41) отрицательные или имеют отрицательную вещественную часть, то нулевое решение
x
1
≡ 0, х2
≡ 0,
...,
хп
5≡ 0 (42)
асимптотически устойчиво в смысле Ляпунова при
t→+∞ причем начальные возмущения можно брать любыми.
Это утверждение непосредственно следует из вида фундаментальной системы решений и соответствующего ей общего решения системы(41), установленного для общего случая характеристических чисел этой системы ранее.
Теорема о неустойчивости нулевого решения однородной линейной системы с постоянными коэффициентами.
Если
хоть одно из характеристических чисел системы
(41) положительно или имеет положительную вещественную часть, то нулевое решение
(42) неустойчиво в смысле Ляпунова при
t
→+∞.
Приведение однородной линейной системы к системе
с постоянными коэффициентами при помощи замены незави
симой переменной
. Рассмотрим систему:
Введем вместо х
новую независимую переменную t
по формуле
t
=
y(
x
).
(44)
Тогда получим систему:

(k=1, 2, … , n
). (45)
Предположим, что коэффициенты этой системы постоянны, т. е.

 Тогда pkl
(х)
имеют вид
pkl
(x)=akl
ψ΄(x), (47)
т. е. рк1
(х)
представляют собой произведения постоянных чисел на одну и ту же функцию от х.
Обратно, если коэффициенты pkl
(
x
)
обладают этим свойством, т. е. если
pkl
(x)=akl
φ(x), (48)
то, положив
t=ψ(x)=∫φ(x)d
x, (49)
мы получим систему с постоянными коэффициентами akl
.
Пример 1
. Пусть дана система:

Здесь условие (48) выполнено, причем φ(x)=1/x
Поэтому подстановка
t=∫φ(x
)dx
=∫1/
xdx
=
ln
x
(
x
>0)
(51)
или
x
= e
t
(52)
приводит данную систему к системе с постоянными коэффициентами:

Интегрируя эту систему, получаем:
(54)
Поэтому общим решением системы (50) будет:
(55)
Отсюда видно, что решения системы (50) могут иметь особенность только в точке х=0,
которая является единственной особой точкой этой системы. (В точке х=0
не выполнены условия теоремы существования). Наряду с такими решениями существует целое семейство решений y
1
=
Cx
2
,
y
2
=
Cx
2
,
y
3
=
Cx
2
голоморфных в окрестности особой точки х = 0.
Заметим, однако, что среди них (и вообще) нет решений, в которых функции у1
,
y
2
и
y
3
стремились бы к пределам, не равным одновременно нулю, когда х
стремится к особой точке х = 0.
Интегрирование неоднородной линейной системы с по
стоянными коэффициентами методом вариации произвольных
постоянных.
Рассмотрим теперь неоднородную линейную систему с постоянными коэффициентами

Так как соответствующая однородная система всегда интегрируется в элементарных функциях, то, применяя метод вариации произвольных постоянных, мы всегда можем получить
общее решение неоднородной системы
(56), по крайней мере, в квадратурах, а иногда и в элементарных функциях.
Замечание. Если в системе (56) функции fk
(
x
)
представляют собою произведения показательной функции (с вещественным или комплексным показателем) на полином от х,
то для построения общего решения этой системы можно вместо применения метода вариации произвольных постоянных найти частное решение методом неопределенных коэффициентов и прибавить его к общему решению соответствующей однородной системы. Тогда мы получим общее решение системы (56).
Интегрирование линейной системы
с постоянными коэффициентами при помощи приведения
ее к уравнению п-го
порядка
(метод
исключения).
Применим к системе

общий способ приведения нормальной системы n уравнении к одному уравнению n-го порядка.
Тогда мы получим либо одно линейное уравнение м-го порядка с постоянными коэффициентами, либо несколько таких уравнений более низких порядков, причем сумма порядков всегда равна п.
Найдя общее решение каждого из этих уравнений, мы получим общее решение системы (1) уже без дальнейших квадратур.
Пример
. Найти общее решение системы:
y
΄1
=
y
2
+
y
3
,
y΄
2
=
y
1
+
y
3
,
(2)
y΄
3
=
y
1
+
y
2
.
Дифференцируя первое уравнение и, пользуясь вторым и третьим, получаем:
y
˝1
=2
y
1
+
y
2
+
y
3
.
(3)
Но y
2
+ у3
= у΄1
.
Поэтому
y
˝1
−
y΄
1
−2
y
1
=0;
(4)
Исключим у3
.
Из первого уравнения системы (2) имеем:
y
3
=
y΄
1
−
y
2
.
(5)
Подставляя во второе уравнение, получаем
y΄
2
=
y΄
1
−
y
2
+
y
1
(6)
или
y΄
2
+
y
2
=
y΄
1
+
y
1
(7)
Таким образом система (2) приводится к двум линейным уравнениям (4) и (7) с неизвестными функциями у1
и у2
второго и первого порядка. Интегрируя уравнение (4), находим:
y
1
=
C
1
e
−
x
+
C
2
e
2
x
(8)
Подставляя это значение у1
в (7), получаем:
y΄
2
+
y
2
=−
C
1
e
−
x
+2
C
2
e
2
x
+
C
1
e
−
x
+
C
2
e
2
x
,
(9)
или
y΄
2
+
y
2
=3
C
2
e
2
x
(10)
откуда
y
2
=
C
3
e
−
x
+
c
2
e
2
x
(11)
Теперь находим у3
:
y
3
=
y΄
1
−
y
2
=−
C
1
e
−
x
+3
C
2
e
2
x
−
C
3
e
−
x
−
C
2
e
2
x
.
(12)
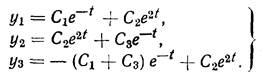
Общее решение системы (2) имеет вид:

Метод Даламбера.
Знание k
(
k
<
n
)
независимых первых интегралов нормальной системы п-го
порядка дает возможность понизить порядок этой системы на k
единиц. Если же мы знаем п
независимых первых интегралов, то мы имеем общий интеграл.
Для линейной системы с постоянными коэффициентами Даламбер указал общий метод .нахождения первых интегралов.
Рассмотрим этот метод в случае линейной системы двух уравнений:

Умножим второе уравнение на некоторое число k
и сложим почленно с первым. Получим:

Или

Выберем k
так, чтобы
(17)
Или
a
12
+
ka
22
=
k
(
a
11
+
ka
21
).
(18)
тогда уравнение (16) можно переписать в виде

Это линейное уравнение первого порядка с искомой функцией y
+
kz
.
Интегрируя его, найдем:
y
+
kz
=
e
(
a11
+
ka
21
)
x
{
C
+∫[
f
1
(
x
)+
kf
2
(
x
)]
e
−(
a
11
+
ka
21
)
x
dx
}.
(20)
если корни уравнения (18)различные и вещественные, то, обозначив их через k
1
,
k
2
,
будем иметь два первых интеграла в неявной форме:

Разрешая систему (21) относительно С1
и С2
, найдем общий интеграл системы (14), а разрешая относительно y
и z
,
найдем общее решение этой системы.
Если корни уравнения (18) кратные: k
1
=
k
2
,
то формула (20) дает только один первый интеграл:
y+k1
z=e(a
11
+k
1
a
21
)x
{C+∫[f1
(x)+k1
f2
(x)]e−(a
11
+k
1
a
21
)x
dx}.
(22)
Подставляя значение г/, найденное отсюда, во второе уравнение системы (14), получим одно линейное уравнение первого порядка с неизвестной функцией z
.
Пример
1. Найти общее решение системы:
Составляем уравнение для k
:
4+5
k
=
k
(5+4
k
).
(24)
Отсюда k
1,2
=±1.
поэтому первыми интегралами будут:

Решая систему (25) относительно y
и z
,
получим общее решение системы (23).
Пример
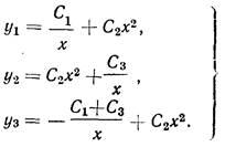
2. Найти общее решение системы:

Здесь мы имеем:
4 — 2
k
=
k
{2
—
k
),
k
2
— \
k
+ 4 = 0. (27)
Это уравнение имеет двукратный корень k
1,2
=2. Поэтому метод Даламбера дает возможность найти только один первый интеграл.
Умножая второе из уравнений (26) на 2 и складывая почленно с первым, получаем

Отсюда находим первый интеграл системы (26)
Используя этот первый интеграл, мы можем переписать второе из уравнений (26) в виде

Отсюда

Поэтому

Общее решение системы (26) имеет следующий вид

ЛИНЕЙНЫЕ СИСТЕМЫ С ПОСТОЯННЫМИ КОЭФФИЦИЕНТАМИ.
СОДЕРЖАЩИЕ ПРОИЗВОДНЫЕ ВЫШЕ ПЕРВОГО ПОРЯДКА
Метод исключения.
Используя общий метод сведения любой кано-нической системы к уравнению более высокого порядка, мы, вообще говоря, всегда можем свести линейную систему, содержащую произ-водные выше первого порядка, к одному линейному уравнению более высокого порядка. Найдя решение этого уравнения, мы получим решение заданной системы уже без дальнейших квадратур.
Пример.
Проинтегрировать систему :
Эта система приводится к одному уравнению четвертого порядка:
y
(4)
−
k
4
y
=0
(2)
Отсюда:
y
=
C
1
ekx
+
C
2
e
−
kx
+
C
3
coskx
+
C
4
sinkx
(3)
Поэтому: ввв
Метод Даламбера.
Метод Даламбера, изложенный ранее,
распространяется и на линейные системы уравнений, содержащие производные выше первого порядка.
Рассмотрим систему двух уравнений:
Умножая второе уравнение на k
,
складывая почленно с первым уравнением и выбирая k
из условия:
a12
+ka22
=k(a11
+ka21
)
(6)
получаем:

Это линейное неоднородное уравнение с постоянными коэффициентами относительно y
+
kz
.
Интегрируя его, найдем:
y
+
kz
=
φ
(
x
,
C
1
,
C
2
, … ,
Cn
).
(8)
если корни уравнения (6) различные относительно y
и z
, получим общее решение системы (5).
Укажем, в заключение, что линейная система с постоянными коэффициентами так же, как и линейное уравнение с постоянными коэффициентами, может быть проинтегрирована операторным методом.
|