Банк рефератов содержит более 364 тысяч рефератов, курсовых и дипломных работ, шпаргалок и докладов по различным дисциплинам: истории, психологии, экономике, менеджменту, философии, праву, экологии. А также изложения, сочинения по литературе, отчеты по практике, топики по английскому.
Полнотекстовый поиск
Всего работ:
364139
Теги названий
Разделы
Авиация и космонавтика (304)
Административное право (123)
Арбитражный процесс (23)
Архитектура (113)
Астрология (4)
Астрономия (4814)
Банковское дело (5227)
Безопасность жизнедеятельности (2616)
Биографии (3423)
Биология (4214)
Биология и химия (1518)
Биржевое дело (68)
Ботаника и сельское хоз-во (2836)
Бухгалтерский учет и аудит (8269)
Валютные отношения (50)
Ветеринария (50)
Военная кафедра (762)
ГДЗ (2)
География (5275)
Геодезия (30)
Геология (1222)
Геополитика (43)
Государство и право (20403)
Гражданское право и процесс (465)
Делопроизводство (19)
Деньги и кредит (108)
ЕГЭ (173)
Естествознание (96)
Журналистика (899)
ЗНО (54)
Зоология (34)
Издательское дело и полиграфия (476)
Инвестиции (106)
Иностранный язык (62791)
Информатика (3562)
Информатика, программирование (6444)
Исторические личности (2165)
История (21319)
История техники (766)
Кибернетика (64)
Коммуникации и связь (3145)
Компьютерные науки (60)
Косметология (17)
Краеведение и этнография (588)
Краткое содержание произведений (1000)
Криминалистика (106)
Криминология (48)
Криптология (3)
Кулинария (1167)
Культура и искусство (8485)
Культурология (537)
Литература : зарубежная (2044)
Литература и русский язык (11657)
Логика (532)
Логистика (21)
Маркетинг (7985)
Математика (3721)
Медицина, здоровье (10549)
Медицинские науки (88)
Международное публичное право (58)
Международное частное право (36)
Международные отношения (2257)
Менеджмент (12491)
Металлургия (91)
Москвоведение (797)
Музыка (1338)
Муниципальное право (24)
Налоги, налогообложение (214)
Наука и техника (1141)
Начертательная геометрия (3)
Оккультизм и уфология (8)
Остальные рефераты (21692)
Педагогика (7850)
Политология (3801)
Право (682)
Право, юриспруденция (2881)
Предпринимательство (475)
Прикладные науки (1)
Промышленность, производство (7100)
Психология (8692)
психология, педагогика (4121)
Радиоэлектроника (443)
Реклама (952)
Религия и мифология (2967)
Риторика (23)
Сексология (748)
Социология (4876)
Статистика (95)
Страхование (107)
Строительные науки (7)
Строительство (2004)
Схемотехника (15)
Таможенная система (663)
Теория государства и права (240)
Теория организации (39)
Теплотехника (25)
Технология (624)
Товароведение (16)
Транспорт (2652)
Трудовое право (136)
Туризм (90)
Уголовное право и процесс (406)
Управление (95)
Управленческие науки (24)
Физика (3462)
Физкультура и спорт (4482)
Философия (7216)
Финансовые науки (4592)
Финансы (5386)
Фотография (3)
Химия (2244)
Хозяйственное право (23)
Цифровые устройства (29)
Экологическое право (35)
Экология (4517)
Экономика (20644)
Экономико-математическое моделирование (666)
Экономическая география (119)
Экономическая теория (2573)
Этика (889)
Юриспруденция (288)
Языковедение (148)
Языкознание, филология (1140)

Реферат: Виды рисков и способы их оценки

Название: Виды рисков и способы их оценки
Раздел: Рефераты по менеджменту
Тип: реферат Добавлен 21:13:16 23 июля 2011 Похожие работы
Просмотров: 3719 Комментариев: 6 Оценило: 3 человек Средний балл: 5 Оценка: неизвестно     Скачать

Содержание

Введение . 3

1 Виды рисков и способы оценки риска . 5

1.1 Понятие риска как формы проявления неопределенности . 5

1.2 Виды рисков . 10

1.3 Способы оценки риска . 19

2. Практическая часть . 34

2.1 Задача . 34

2.2 Задача . 35

2.3 Задача . 36

Заключение . 38

Список использованных источников . 42

В ведение

В условиях рыночных отношений проблема анализа, оценки и управ­ления рисками в предпринимательской деятельности приобретает самос­тоятельное теоретическое и прикладное значение. Однако решение этой проблемы применительно к российским реалиям требует дополнительного системно-целевого осмысления не только мирового, но и российского опыта.

Это связано с тем, что в нашей стране проблема управления рисками находится в несколько иной плоскости, чем в странах Запада. Основой оценки рисков в западных руководствах являются представления об относительно стабильной финансовой среде и развитом финансовом рынке. Национальные особенности России до конца 80-х годов заключались в том, что долгое время предпринимательские риски в условиях плановости экономики находились в «латентном» состоянии. И только переход субъектов хозяйствования на рыночные взаимоотношения стал переломным моментом в отношении предпринимательского сообщества к риск-менеджменту как науке управления риском и экономическими (прежде всего финансовыми) отношениями, возникающими в процессе этого управления.

Главным препятствием научно обоснованного управления предпри­нимательскими рисками в России является отсутствие методических стандартов, а также культуры риск-менеджмента.

Актуальность темы работы и необходимость овладения специальным видом менеджерской деятельности — управлением риском - связаны с тем, что в результате расширения ры­ночных процессов в экономике государство правомерно отказалось от единоличной ответственности за последствия риска, переложив большую их часть на предпринимательские структуры. Поэтому риск-менеджмент стал одним из наиболее динамично развивающихся направлений финансового менеджмента.

В терминах риск-менеджмента «предпринимательство» есть созна­тельное принятие риска за адекватное вознаграждение в виде определенной выгоды. Менеджерам компании приходится принимать решения в условиях неопределенности, т. е. при невозможности со стопроцентной уверенностью предсказать будущий результат. Вследствие этого всякому решению присущи разнообразные риски. Принимая решение, необходимо учитывать не только ожидаемую эффективность от реализации тех или иных проектов, но и оценивать степень их риска. Любой замысел требует определенных затрат, которые в случае принятия положительного решения о его осуществлении будут произведены предприятием. Однако ожидаемый эффект от меро­приятия может быть и не получен, ибо всегда имеется риск недостижения положительного результата.

Объект исследования - общественные отношения, определяющие существование и разновидности рисков в экономической деятельности.

Предмет исследования - методология оценки рисков в экономической деятельности.

Цель работы: проанализировать сущность и виды рисков, а также методы их оценки.

Исходя из цели работы, определены ее задачи:

- рассмотреть понятие риска как формы проявления неопределенности;

- изучить виды рисков;

- исследовать способы оценки риска.

Ме т о ды исследования: теоретический анализ и интерпретация литературы по теме исследования; сравнение и синтез полученной информации.

1 Виды рисков и способы оценки риска

1.1 Понятие риска как формы проявления неопределенности

Ввиду возможных нежелательных результатов или ситуаций инвестиционной деятельности необходимо отличать риски от неопределенностей, так как риск представляет вероятностно ожидаемую опасность. Неопределенность — это сущностная характеристика, а риск — форма проявления неопределенности. Не всякая неопределенность выражается в форме риска. Полная неопределенность не является риском. Только частичная неопре­деленность является риском. Только после идентификации нео­пределенностей возможной опасности, реально осознаваемой, вероятностно оцениваемой, для минимизации последствий которой имеются ресурсы и возможности, появляется риск как экономическая категория. Таким образом, неопределенность как сложная экономическая категория, связанная с осуществлением хозяйственной и инвестиционной деятельности, проявляется в форме риска.

Риск естественным образом сопряжен с менеджментом в инвестиционной и финансовой деятельности, со всеми его функциями (планированием, организацией, оперативным управлением, использованием персонала, экономическим контролем) [1] .

Каждая из них связана с той или иной мерой риска, требует создания адаптированной к нему системы управления. Это означает, что необходим и особый менеджмент риска, т.е. специфическая система (подсистема) управления, основывающаяся на познании экономической сущности риска, раз­работке и реализации стратегии отношения к нему в инвестиционной деятельности.

В мировой экономической науке сложились классическая и неоклассическая теории риска. При исследовании предпринимательской прибыли такие представители классической теории, как Дж. Милль и И.У. Сениор, различали в структуре предпринимательского дохода процент (как долю на вложенный капитал), заработную плату предпринимателя и плату за риск (как возмещение возможного риска, связанного с предпринимательской деятельностью).

На современном этапе, Т.В. Севрук [2] определяет риск как ситуативную характеристику деятельности любого юридического лица, в том числе и субъекта финансового сектора, состоящую из неопределенности ее исхода и возможных неблагоприятных последствий в случае неуспеха. Данная точка зрения, приближена к субъективной концепция риска. Наибольший вклад в ее развитие внес В.А. Ойгензихит, который исходит из того, что риск всегда субъективный, поскольку выступает как оценка человеком поступка, действий, как сознательный выбор с учетом возможных альтернатив. Субъективная концепция отражает действия субъекта, учитывает возможные последствия, выбор вариантов поведения, что обусловливает наложение определенных обязательств или освобождение от них. Поскольку данная концепция связывает риск с волей и сознанием человека, «то риск — это выбор варианта поведения с учетом опасности, угрозы возможных последствий». В этом про­является субъективная сторона риска. Риск — это возможность наступления события, нежелательного определенному субъекту, из множества вариаций исходов, которые могут произойти в течение определенного периода времени, начиная с определенной исходной ситуации» [3] .

Если бы риск инвестиционной деятельности был связан только с отрицательными результатами, оказалась бы совершенно необъяснимой готовность к нему субъектов инвестиционной деятельности. Она может быть оправдана и на самом деле оправдывается тем, что, невзирая на возможные потери, здесь существует мощный стимул. Это повышенная прибыль, особый — специфический — доход. Неслучайно родоначальники теории предпринимательства Р. Кантильон, И. Тюнен и Ф. Найт источником предпринимательского дохода считали реализацию в процессе воспроизводства способности предпринимателя к обоснованному риску. В знаменитом словаре В. Даля риск определяется, с одной стороны, как опасность чего-либо, с другой — как действие наудачу, требующее смелости, решительности, предпри­имчивости в надежде на счастливый исход. Ближе к современному употреблению и пониманию риск трактуется у СИ. Ожегова, который пишет, что риск — это возможность опасности, неудачи или действие наудачу в надежде на счастливый исход.

Риск — сложное явление, имеющее множество несовпадающих, а иногда и противоположных основ. Это обусловливает существование целого ряда различных определений понятия «риск», в разной мере соответствующих сфере их применения. До сих пор в науке отсутствует универсальная трактовка этого понятия.

Для того чтобы существовал риск, необходима опасность или по крайней мере нежелательность возможного результата или развития ситуации. Этой точки зрения придерживается Б.Н. Порфирьев, считающий, что риск есть возможная опасность, количественное выражение последствий опасности. Такой подход в понимании риска «позволяет выстроить цепь причинно-следственных связей в процессе возникновения чрезвычайных ситуаций» [4] . Это определение только немного расширяет характеристики риска, указывая еще на вероятностное распределение неблагоприятных ре­зультатов, вызывающих отклонение фактических результатов от плановых ожиданий.

Но в опасности заложена и неопределенность, связанная с недостатком нашего знания, имеющейся информации или предполагающая также другие, в том числе благоприятные исходы, что отмечает Р.Т. Юлдашев: «На результат могут влиять многочисленные случайные факторы, которые приводят к случайности реализации возможных исходов. Наш подход: хотя риск и опасность — понятия однопорядковые, но тождественными их признать нельзя. Риск — это опасность, но опасность известная, определенная, так сказать, «очерченная и просчитанная» [5] . Однако есть и другие опасности, не вошедшие в понятие «риск», по тем или иным причинам (в силу нехватки времени, специалистов, денежных или иных средств для анализа) не ставшие элементами риска. Поэтому сочетание слов «риск» и «опасность» — это тавтология, правильно же будет: «риск и другие опасности». Похожие суждения высказывают Н.В. Хохлов: «Риск — событие или группа родственных случайных событий, наносящих ущерб объекту, обладающему данным риском» [6] и Л.Н. Тэпман: «Риск — понятие более узкое. Он является одним из видов опасности, связанной с политической, социальной и экономической деятельностью людей, реально осознаваемой, вероятностно оцениваемой, для минимизации последствий которой имеются ресурсы и возможности» [7] . Эти последние определения, подводят к пониманию того, что в ожидаемых опасностях содержатся и неопределенности, и риски как идентифицированные неопределенности. Тогда опасности, неопределенности и риски не являются синонимич­ными понятиями. Итак, в основе категориальной структуры теории рисков лежит понятие «опасность». Из современных дефиниций риска, приводимых в зарубежных научных трудах, можно выделить определение, данное в монографии В.Т. Ковелло и М.В. Меркфаофера: «Риск — характеристики ситуации или действия, когда возможны многие исходы, существует неопределенность в отношении конкретного исхода и по крайней мере одна из возможностей нежелательна» [8] . Последняя формулировка представляется наиболее правильной, так как в ней синтезированы все главные черты, присущие риску: нежелательность, идентифицированная неопределенность, случайность одной из возможностей, с одной стороны, и благоприятная или нейтральная возможность — с другой. Хотя последствия риска чаще всего проявляются в виде финансовых потерь или невозможности получения ожидаемой прибыли, однако риск — это не только нежелательные результаты принятых решений. При определенных ва­риантах существует как опасность не достичь намеченного результата, так и вероятность превысить ожидаемую прибыль. В этом и заключается риск, который характеризуется сочетанием возможности достижения как нежелательных, так и особо благоприятных отклонений от запланированных ре­зультатов. Несмотря на быстрое распространение практики управления рисками в субъектах инвестиционной деятельности и других финансовых учреждениях, до сих пор доминируют определения рисков как ожидаемых нежелательных результатов, что затрудняет разработку единых норм и правил управления рисками.

Риск как экономическая категория представляет собой событие, которое может произойти или не произойти. В случае совершения такого события возможны 3 экономических результата: отрицательный (проигрыш, ущерб, убыток), нулевой, положительный (выигрыш, выгода, прибыль).

Сущность риска заключает в себе глубинное противоречие: с одной стороны, опасность потерь вследствие как объективной основы — проявления стихийных сил природы, так и субъективной основы, а именно — проявления осознанной деятельности людей; с другой — ожидаемый доход (прибыль) от данной рискованной деятельности. В итоге предпринимательский риск характеризуется как опасность потенциально возможной, вероятной потери ресурсов или недополучения доходов по сравнению с вариантом, рас­считанным на рациональное использование ресурсов в данном виде предпринимательской деятельности. Иначе говоря, риск есть угроза того, что предприниматель понесет потери в виде дополнительных расходов сверх предусмотренных прогнозом, программой его действий» [9] .

Таким образом, выше было проанализировано понятие риска как формы проявления неопределенности. Неопределенность — это сущностная характеристика, а риск — форма проявления неопределенности. Не вся­кая неопределенность выражается в форме риска. Полная неопределенность не является риском. Только частичная неопре­деленность является риском.

1.2 Виды риск ов

Система факторов риска предназначена для определения потенциаль­ной совокупности видов рисков, возникающих в процессе реализации предпринимательской деятельности, которые могут быть сгруппированы в: классы, подклассы, группы, подгруппы, виды, подвиды и разновидности рисков (рисунок. 1) [10] .

Рисунок-1. Признаки классификации рисков

При построении системы факторов риска целесообразно учитывать следующие признаки:

- масштаб проявления факторов риска;

- уровень агрегирования (объединения) видов предпринимательской деятельности;

- однозначность последствий от наступления рискового события;

- сферу (причины) возникновения факторов риска.

В зависимости от масштаба проявления факторов различают риски на макроуровне, мезоуровне и микроуровне (рисунок 1).

Рисунок - 2. Масштаб проявления риска

В частности, на макроуровне характерны риски: страновой, экономи­ческий, фискально-монетарный, социально-политический [11] .

Страновой риск непосредственно связан с интернационализацией предпринимательской деятельности. Он актуален для всех участников внешнеэкономической деятельности.

Содержанием странового риска является возможность изменения текущих и будущих экономических, социально-политических и фискально-монетарных условий, которые влияют на способность государства, отдельных отраслей и корпораций отвечать по взятым на себя обязательствам перед иностранными кредиторами или могут прямо или косвенно ущемить права собственности зарубежных инвесторов.

Причинами странового риска могут быть нестабильность государ­ственной власти, особенности государственного устройства и законода­тельства, этнические и религиозные проблемы и др., т.е. элементы мета­системы и внешней среды риск-менеджмента.

Экономический риск на макроуровне подразделяется на внешне- и внутриэкономический, предсказуемый и непредсказуемый. Его причинами являются: результаты общеэкономического равновесия; темпы роста ВВП; возможности выпуска конкурентоспособной на мировом рынке продукции; сочетания форм и видов собственности, организационных структур предпринимательства и т.д.

Фискально-монетарный риск представляет собой риски, связанные с государственным регулированием экономики, и включает изменения в проводимой налоговой и денежно-кредитной политике государства, а также факторы стимулирования деловой активности отраслей и фирм и т.д.

Социально-политические риски включают изменения в политической ситуации, в действующем законодательстве, социальную напряженность в обществе и т.д.

На мезоуровне проявляются риски, имеющие отраслевую природу: промышленный, аграрный, риск сферы обслуживания. К факторам отрасле­вого риска относятся стадия жизненного цикла отрасли, количество и ка­чество ресурсов, степень конкуренции и концентрации производства, на­логовый режим и др. [12]

На микроуровне в зависимости от характера хозяйственной деятель­ности различают предпринимательский и инвестиционный риски.

По уровню агрегирования видов предпринимательской деятельности выделяют финансовый, коммерческий и предпринимательский риски, при­чем каждый вышестоящий уровень деятельности включает совокупность видов рисков нижестоящего уровня деятельности.

По признаку однозначности последствий рискового события различают чистый (статический) и спекулятивный (динамический) риски.

Чистые риски подразумевают возможность отрицательного (негатив­ного) или нулевого отклонения результата операции от ожидаемого (или среднего) значения.

Напротив, спекулятивные риски предполагают возможность как поло­жительного, так и отрицательного отклонения результата операции от ожидаемого.

В зависимости от сферы возникновения факторов различают системати­ческие (системные) и несистематические (несистемные) риски.

Систематические (рыночный, неснижаемый, недиверсифицируемый) риски практически не управляемы и связаны с воздействием внешних факторов риска, независимых от субъекта предпринимательства.

Несистематические (снижаемый, специфический, диверсифицируемый) риски напротив, зависят от субъекта предпринимательства и дают ему возможность широкого использования антирисковых мероприятий.

Таким образом, система факторов риска дает возможность предвидеть их, установить необходимые взаимосвязи и на этой основе разработать классификационные виды риска с учетом предназначения предпринимательских структур и специфики их деятельности.

Классификация рисков дает возможность распределить их по опреде­ленным признакам на однородные кластеры, что позволяет применять конкретные методы анализа, оценки и управления рисками. Необходимость классификации связана с тем, что идти на риск предпринимателя заставляет неопределенность [13] .

Классификация детализирует свод возможных видов риска примени­тельно к конкретным видам предпринимательской деятельности. К настоящему времени в экономической теории не разработано общепринятого и исчерпывающего подхода к классификации рисков. Классифицировать риски можно по разным признакам. При этом не­обходимо стремиться не столько перечислить все виды рисков, сколько создать определенную схему (базу), которая позволила бы не упустить какие-либо из них при анализе и оценке совокупного риска.

Для данных видов деятельности наиболее распространенной и часто используемой является следующая классификационная схема рисков. Ее основой является разделение всех рисков по однозначности последствий от наступления рискового события на две группы: чистые и спекулятивные риски (рисунок 2).

Чистые риски включают следующие виды: природно-естественные; экологические; политические; транспортные; часть коммерческих рисков (имущественные, производственные, торговые).

Природно-естественные риски — риски, связанные с проявлением сти­хийных сил природы: землетрясение, наводнение, буря, пожар, эпидемия и т.п.

Экологические риски — риски, вызванные загрязнением окружающей среды.

Рисунок - 3. Классификация рисков для коммерческой и финансовой деятельности предпринимательских структур

Политические риски связаны с политической ситуацией в стране и с деятельностью государства. Политические риски возникают при нарушении условий производственно-торгового процесса по причинам, непосредственно не зависящим от хозяйствующего субъекта.

В современных условиях налоговый риск является довольно распрост­раненным и оказывает существенное отрицательное воздействие на ре­зультаты финансовой деятельности организации. Этот вид риска имеет ряд аспектов:

- риск введения новых видов налоговых платежей;

- риск увеличения ставок действующих налоговых платежей;

- риск изменения условий и сроков уплаты налоговых платежей;

- риск отмены налоговых льгот.

Транспортные риски — риски, связанные с перевозками грузов автомобильным, морским, речным, железнодорожным, авиатранспортом и т.д.

Коммерческие риски представляют собой опасность потерь в процессе финансово-хозяйственной деятельности. Они свидетельствуют о неопре­деленности результатов данной коммерческой сделки. Структурно ком­мерческие риски могут быть: имущественные, производственные, торговые.

Имущественные риски — это опасность потерь имущества предприни­мателя по причине кражи, диверсии, халатности, сбоя технической и тех­нологической систем и т.п.

Производственные риски — возможные убытки от остановки производ­ства вследствие воздействия различных факторов и прежде всего гибель или повреждение основных и оборотных фондов (оборудование, сырье, транспорт и т.п.), а также риски, связанные с внедрением в производство новой техники и технологии.

Торговые риски — это убытки по причине задержки платежей, отказа от платежа в период транспортировки и(или) недопоставки товара и т.п.

Как видно из приведенного анализа, чистые риски вызваны в основном действием внешних факторов риска и в большинстве неуправляемы или ограниченно управляемы.

Спекулятивные (финансовые) риски — это, прежде всего, риски, кото­рые характеризуют потери (снижение прибыли, доходов, потери капитала и т.п.) в ситуации неопределенности условий финансовой деятельности организации. Финансовые риски подразделяются на три вида. Это риски, связанные:

- с покупательной способностью денег;

- с вложением капитала (инвестиционные риски).

К рискам, связанным с покупательной способностью денег, относятся: инфляционные, дефляционные, валютные риски, риски ликвидности.

Инфляционный риск обусловливается возможностью обесценения ре­альной стоимости капитала (в форме денежных активов), а также ожидаемых доходов и прибыли организации в связи с ростом инфляции.

Валютные риски — опасность валютных потерь в результате изменения курса валютной цены по отношению к валюте платежа в период между подписанием внешнеторгового, внешнеэкономического или кредитного соглашения и осуществлением платежа по нему.

Риски ликвидности — это риски, связанные с возможностью потерь при реализации ценных бумаг или других товаров из-за изменения оцен­ки их качества и потребительской стоимости.

Инвестиционные риски (риски, связанные с вложением капитала) вы­ражают возможность возникновения непредвиденных финансовых потерь в процессе инвестиционной деятельности предприятия. В соответствии с видами этой деятельности выделяют и виды инвестиционного риска: риск реального инвестирования; риск финансового инвестирова-ния (портфельный риск); риск инновационного инвестирования. Так как эти виды инвестиционных рисков связаны с возможной потерей капитала предприятия, они представляют группу наиболее опасных рисков.

Риск упущенной выгоды — это риск наступления косвенного (побочно­го) финансового ущерба (неполученная прибыль) в результате неосущес­твления какого-либо мероприятия (например, страхования, хеджирования, инвестирования и т.п.).

Риск снижения доходности может возникнуть в результате уменьшения размера процентов и дивидендов по портфельным инвестициям, по вкладам и кредитам.

Портфельные инвестиции связаны с формированием инвестиционного портфеля и представляют собой приобретение ценных бумаг других активов. Термин «портфельный» происходит от итальянского « portofolio » и означает совокупность ценных бумаг, которые имеются у инвестора. Риск снижения доходности включает: процентные риски; кредитные риски.

К процентным рискам относится опасность потерь коммерческими банками, кредитными учреждениями, инвестиционными институтами, своих средств в результате превышения процентных ставок, выплачиваемых ими по привлеченным средствам относительно ставок по предоставленным кредитам. К процентным рискам относятся также риски потерь, которые могут понести инвесторы в связи с изменением дивидендов по акциям, риски процентных ставок на рынке по облигациям, сертификатам и другим ценным бумагам.

Рост рыночной ставки процента ведет к понижению курсовой стои­мости ценных бумаг, особенно облигаций с фиксированным процентом. При повышении процента может начаться также массовый сброс ценных бумаг, эмитированных под более низкие фиксированные проценты и по условиям выпуска досрочно принимаемых обратно эмитентом.

Процентный риск несет инвестор, вложивший средства в среднесроч­ные и долгосрочные ценные бумаги с фиксированным процентом, при текущем повышении среднерыночного процента в сравнении с фиксированным уровнем (так как он не может высвободить свои средства, вложенные на указанных условиях).

Процентный риск несет эмитент, выпускающий в обращение средне­срочные и долгосрочные ценные бумаги с фиксированным процентом, при текущем понижении среднерыночного процента в сравнении с фик­сированным уровнем. Этот вид риска при быстром росте процентных ставок в условиях инфляции имеет значение и для краткосрочных ценных бумаг.

Кредитный риск — опасность неуплаты заемщиком основного долга и процентов, причитающихся кредитору. К кредитному риску относится также риск такого события, при котором эмитент, выпустивший долговые ценные бумаги, окажется не в состоянии выплачивать проценты по ним или основную сумму долга. Кредитный риск может быть также разновидностью рисков прямых финансовых потерь.

Риски прямых финансовых потерь включают следующие разновиднос­ти: биржевой риск, селективный риск, риск банкротства, кредитный риск.

Биржевые риски представляют собой опасность потерь от биржевых сделок. К этим рискам относятся риск неплатежа по коммерческим сделкам, риск неплатежа комиссионного вознаграждения брокерской фирмы и т.п.

Селективные риски (лат. selektio — выбор, отбор) — это риск непра­вильного выбора видов вложения капитала, вида ценных бумаг для инвес­тирования в сравнении с другими видами ценных бумаг при формировании инвестиционного портфеля [14] .

Риск банкротства представляет собой опасность в результате непра­вильного выбора вида вложения капитала, полной потери предпринимателем собственных средств и его неспособность рассчитываться по взятым на себя обязательствам.

Дополнительно к группе финансовых рисков относят и риски, связан­ные с формой организации хозяйственной деятельности: авансовые риски; оборотные риски.

Группа прочих видов рисков обширна, но по своим финансовым по­следствиям не столь значима, как рассмотренные. Это депозитный риск (возможность невозврата депозитных вкладов, непогашения депозитных сертификатов); риск несвоевременного осуществления расчетно-кассовых операций (связанный с неудачным выбором обслуживающего коммерческого банка); риск подделки финансовой отчетности; риск хище­ния отдельных видов активов; эмиссионный риск и др.

Приведенная группировка включает систематические (рыночные) риски, не зависящие от финансовой деятельности предпринимателя, и несистематические (специфические), зависящие от этой деятельности.

Несистемный риск не зависит от состояния рынка и отражает специ­фику конкретного предприятия, банка. Он может быть отраслевым и фи­нансовым. Основными факторами, оказывающими влияние на уровень несистемного портфельного риска, являются наличие альтернативных сфер приложения финансовых ресурсов.

Таким образом, выше были проанализированы виды рисков. Риски бывают чистые и спекулятивные (финансовые) риски. Чистые риски включают следующие виды: природно-естественные; экологические; политические; транспортные; часть коммерческих рисков (имущественные, производственные, торговые).

1.3 Способы оценки риска

Оценка риска — это этап анализа риска, имеющий целью определить его количественные характеристики: вероятность наступления неблагоприятных событий и возможный размер ущерба. Можно выделить 3 основных группы методов оценки риска для конкретных процессов:

1) анализ статистических данных по неблагоприятным событиям, имевшим место в прошлом;

2) теоретический анализ структуры причинно-следственных связей процессов;

3) экспертный подход.

Чаще всего используются экспертный, статистический, расчетно-аналитический и аналоговый методы.

Экспертные методы оценки применяются в том случае, если у предпринимательской организации отсутствуют необходимые информативные данные для осуществления расчетов или сравнений. Указанные методы основываются на опросе квалифицированных специалистов в различных областях с последующей математической обработкой результатов проведенного опроса. Экспертные методы оценки широко используются при определении уровня вероятности возникновения инфляционного, инвестиционного, валютного и некоторых других рисков.

Статистические методы оценки позволяют получить ко­личественное представление об уровне риска. К неудобствам данного метода можно отнести необходимость наличия достаточно обширной статистической информации. При оценке вероятности данным методом рассчитывают среднее ожидаемое значение результата; среднеквадратическое отклонение; коэффициент вариации. На основе статистических методов вероятность возникновения рисков оценивается по каждой инвестиционной операции, рассматриваемому инвестиционному проекту и т.п. [15]

Расчетно-аналитические методы оценки позволяют количественно оценить вероятность возникновения рисков инвестиционной деятельности на основе использования внутренней информационной базы. В этом случае вероятность возникновения отдельных рисков устанавливается в зависимости от значений плановых показателей финансовой деятельности фирмы. Наибольшее распространение расчетно-аналитические методы получили при оценке вероятности возникновения риска неплатежеспособности фирмы и риска потери ее финансовой устойчивости.

Аналоговые методы оценки позволяют определить уровень вероятности возникновения рисков по отдельным наиболее часто повторяющимся операциям фирмы. Эти методы используются при оценке валютного, инвестиционного и кредитного рисков.

Таким образом, проведение комплексного анализа является трудоемкой процедурой, включающей огромный спектр специфических вопросов. Поэтому традиционно различные направления анализа исследуются специализированными структурными подразделениями.

Проблемами большинства организаций остаются разрозненность отдельных видов анализа, отсутствие комплексного исследования и общего заключения, что приводит к внесению только отдельных корректив в политику, исключает возможность своевременного принятия решений при возникновении серьезных проблем.

Используя имеющиеся статистические данные, можно оценить вероятность возникновения неблагоприятных событий и размер ущерба. Этот метод подходит для частых и однородных событий.

К методам, обеспечивающим отдельную оценку уровня риска, относится дисперсия, которая представляет собой средневзвешенное из квадратов отклонений действительных результатов рискованных инвестиционных вложений от средних ожидаемых.

Дисперсия рассчитывается:

(1)

где

q — дисперсия;

X . — ожидаемое значение для каждого случая вложения инвестиционных ресурсов;

X — среднее ожидаемое значение риска инвестиционной деятельности;

п — число вложений инвестиционных ресурсов (частота).

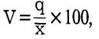
Дисперсия характеризует абсолютную колеблемость частоты инвестиционного риска, а относительную степень колеблемости показывает коэффициент вариации, который рассчитывается по формуле:

(2)

где

V — коэффициент вариации;

q — среднее квадратическое отклонение;

X — среднее ожидаемое значение риска инвестиционной деятельности.

Коэффициент вариации может изменяться от 1 до 100%. Чем выше коэффициент вариации, тем сильнее колеблемость. Установлена следующая качественная оценка различных значений коэффициента вариации:

до 10% — слабая колеблемость риска инвестиционной деятельности;

10-25% — средняя, умеренная колеблемость риска инвестиционной деятельности;

более 25% — высокая колеблемость риска инвестиционной деятельности.

При использовании дисперсии и вариации учитывают, что риск имеет математически определенную вероятность получения результата от реализации инвестиционного проекта. Эта вероятность в свою очередь может быть определена субъективно экспертным путем или объективно на основании математических вычислений частот степени риска [16] .

Дисперсия и среднеквадратическое отклонение служат мерами абсолютного рассеяния и измеряются в тех же физических единицах, в каких измеряется варьирующий признак.

Коэффициент вариации — относительная величина. Поэтому с его помощью можно сравнивать колеблемость признаков, выраженных в различных единицах измерений.

Поскольку на формирование ожидаемого результата (например, величины прибыли) воздействует множество случайных факторов, то он, естественно, является случайной величиной.

Одной из характеристик случайной величины X является закон распределения ее вероятностей.

Характер, тип распределения отражают общие условия, вытекающие из сущности и природы явления, и особенности, оказывающие влияние на вариацию исследуемого показателя (ожидаемого результата).

Ситуации, когда убытки редки, но их величина существенна, возникают в результате таких катастрофических обстоятельств, как взрыв на заводе или землетрясение. Напротив, ситуации, когда убытки происходят часто, но их размер относительно невелик, имеют обычный характер. Примером является физический ущерб автомобилю (например, в результате аварии) из боль­шого автопарка.

Значительная часть организаций несет большое число убытков относительно небольшого размера по рискам опасности. Например, в больших производственных компаниях ежегодно с работниками происходит большое число незначительных случаев травматизма. Другие организации страдают от таких катастрофических потерь, как большой пожар или взрыв на заводе, что, хотелось бы верить, происходит не часто. Между этими двумя крайними ситуациями располагаются убытки средней величины, которые могут на­ступить или не наступить с некоторой периодичностью.

Таблица 1

Эмпирическая шкала уровня риска

Вероятность нежелательного исхода (величина риска) Наименование градаций риска
1 0,0-0,1 Минимальный
2 0,1-0,3 Малый
3 0,3-0,4 Средний
4 0,4-0,6 высокий
5 0,6-0,8 максимальный
6 0,8-1,0 критический

Принятие решений с большим уровнем риска зависит от склонности к риску лиц, принимающих решение. Однако принятие таких решений возможно только в случае, если наступление нежелательного исхода не приведет предпринимателя (фирму) к банкротству.

Для оценки приемлемости отклонения используется коэффициент вариации V . При этом приводятся следующие шкалы колеблемости (риска) коэффициента вариации: до 0,1 — слабая; от 0,1 до 0,25 — умеренная; свыше 0,25 — высокая.

При оценке приемлемости коэффициента, определяющего риск банкротства, существует несколько не противоречащих друг другу точек зрения. Одни авторы считают, что оптимальным является коэффициент риска, составляющий 0,3, а коэффициент риска, ведущий к банкротству, — 0,7 и выше. В других источниках приводится шкала риска со следующими градациями указанного выше коэффициента: приемлемый риск — до 0,25, допустимый риск — 0,25-0,50, критический риск — 0,50-0,75, катастрофический риск — свыше 0,75 [17] .

По мнению практически всех авторов, в границах коэффициента, определяющего риск банкротства от 0,3 до 0,7, находится зона повышенного риска. Принятие решения о реализации рискового мероприятия в границах этой зоны определяется величиной возможного выигрыша в случае, если нежелательный исход (рисковое событие) не произойдет, и склонностью к риску лиц, принимающих решение.

Как показывает практика, для характеристики распределения социально-экономических явлений наиболее часто используется так называемое нормальное распределение.

Допущение о том, что большинство результатов хозяйственной деятельности (доходы, прибыль и т.п.) как случайные величины подчиняются закону, близкому к нормальному, широко используется в литературе по проблеме количественной оценки экономического риска. Известно, что закон нор­мального распределения характерен для распределения событий в случае, когда их исход представляет собой результат совместного воздействия большого количества независимых факторов и ни один из этих факторов не оказывает преобладающего влияния.

В действительности нормальное распределение экономических явлений в чистом виде встречается редко, однако, если однородность совокупности соблюдена, часто фактические распределения близки к нормальному.

На практике для проверки обоснованности принятого распределения используются различные критерии согласия (между эмпирическим и теоретическим распределением), которые позволяют принять или отвергнуть принятую гипотезу о законе распределения.

Из курса теории вероятностей и математической статистики известно, что нормально распределенная случайная величина является непрерывной и ее дифференциальная фун­кция распределения имеет вид:

(3)

где

у - f ( x ) определяет плотность распределения вероятно­сти для каждой точки х.

Потери организации характеризуются частотой (числом) убытков и тяжестью (размером) убытков. Эти понятия относятся ко всем типам рисков, как к операционным, так и к финансовым/рыночным рискам организации.

Частота ( frequency of losses ) убытков — число страховых случаев, по которым возникли убытки за определенный период времени, например за год. Тяжесть { severity of losses ) убытков — размер убытков в денежном эквиваленте, который должен быть выплачен, чтобы компенсировать ущерб. Последняя характеристика может использоваться для определения размера как индивидуального убытка, так и для группы убытков.

Однако, как следует из рассмотренного определения риска, существенные факторы понятия риска в приведенных здесь формулах даже не затрагиваются.

Для подтверждения и иллюстрации дальнейших рассуждений приведем следующий простой пример.

Представим себе человека, который должен перепрыгнуть через канаву определенной ширины. Если канава небольшая, а человек — хороший спортсмен, то мысли о риске и не возникают.

Но если канава такой ширины, что успешный прыжок вероятен всего на 80%, то положение сразу же меняется. Однако как изменится проблема с точки зрения риска, если потребуется прыжок не через канаву в полметра глубиной, а через пропасть глубиной 100 м! И, конечно, с точки зрения определения риска необходимо учесть, какое поощрение стимулирует достижение успеха.

Наши повседневные оценки риска всегда базируются на сравнении возможных выигрышных исходов и обстоятельств, способствующих им, с возможными потерями в случае неудачи.

Поэтому рассмотренный коэффициент риска используется при планировании и оценке крупных проектов и программ.

Указанные выше недостатки приводят к тому, что на практике используются различные критерии оценки и показатели уровня риска в зависимости от сложности решаемых задач сферы предпринимательской деятельности. При этом наряду с количественным определением уровня риска его оценка дополняется с помощью различных шкал, являющихся в некоторой степени рекомендациями по приемлемости риска и учитывающих некоторые субъективные факторы.

С целью учета данных субъективных факторов применяются экспертные оценки рисков [18] .

Общая схема экспертных опросов включает следующие основные этапы: подбор экспертов и формирование экспертных групп; формирование вопросов и составление анкет; работу с экспертами; формирование правил определения суммарных оценок на основе оценок отдельных экспертов; анализ и обработку экспертных оценок [19] .

На первом этапе исходя из целей экспертного опроса решаются вопросы относительно структуры экспертной группы, количества экспертов и их индивидуальных качеств, т.е. определяются требования к специализации и квалификации экспертов, необходимое число экспертов каждой специали­зации и общее их количество в группе.

Оценки численности группы экспертов производятся на основе следующих соображений.

Численность группы не должна быть малой, так как в этом случае будет потерян смысл формирования экспертных оценок, определяемых группой специалистов. Кроме того, на групповые экспертные оценки в значительной степени влияла бы оценка каждого эксперта.

При увеличении группы экспертов, хотя и устраняются эти недостатки, но зато появляется опасность возникновения новых. Так, при очень большом количестве экспертов оценка каждого из них в отдельности почти не влияет на групповую оценку. Причем рост численности экспертной группы далеко не всегда приносит повышение достоверности оценок. Часто расширение группы экспертов возможно лишь за счет малоквалифицированных специалистов, что в свою очередь может привести к уменьшению достоверности групповых оценок. Одновременно с ростом числа экспертов увеличиваются трудности, связанные с координацией работы группы и обработкой результатов опроса.

Следует отметить, что при нахождении оценок экспертным путем, помимо погрешности, вносимой недостатком информации об исследуемом объекте и недостаточной компетентностью экспертов, возможна и погрешность совсем другого рода, обусловленная заинтересованностью экспертов в ре­зультатах экспертизы, что обязательно скажется на их достоверности. Наличие такого рода погрешностей может значительно искажать оценки [20] .

Устранение указанных недостатков достигается использованием соответствующих методов и в первую очередь посредством правильной организации экспертной процедуры, начиная от подбора экспертов до обработки их мнений.

Характерными особенностями методов экспертных оценок и моделей их реализации как инструмента научного решения сложных неформализуемых проблем являются, во-первых, научно обоснованная организация всех этапов экспертизы, обеспечивающая эффективность работы на каждом из этапов и, во-вторых, применение количественных методов как при организации экспертизы, так и при оценке суждений экспертов на основе формальной групповой обработки результатов их мнений. Эти особенности отличают методы экспертных оценок от обычной, давно известной экспертизы, применяемой в различных сферах человеческой деятельности.

Основными методами экспертных оценок являются следующие:

1) методы коллективной работы экспертной группы;

2) методы получения индивидуального мнения членов экс­пертной группы [21] .

Методы коллективной работы экспертной группы предполагают формирование общего мнения в ходе совместного обсуждения последствий предпринимательской деятельности. Иногда эти методы называют методами прямого получения коллективного мнения. Они включают методы «мозговой атаки», сценариев, деловых игр, совещаний и «суда».

Методы получения индивидуального мнения членов экспертной группы основаны на предварительном сборе информации от экспертов, опрашиваемых независимо друг от друга, с последующей отработкой полученных данных. К этим методам можно отнести методы анкетного опроса, интервью, Дельфи.

Средством сбора информации от экспертов является опросный лист — анкета, которая должна удовлетворять ряду таких требований, как простота и однозначность понимания текста, краткость изложения, полнота изложения, иллюстративность, однотипность.

Опрос экспертов осуществляется в соответствии с выбранным методом экспертных оценок. Среди методов экспертных оценок как научного инструмента трудноформализуемых задач анализа предпринимательского риска наиболее приемлем метод Дельфи, или метод дельфийского оракула. Этот метод представляет итеративную процедуру анкетного опроса. При этом соблюдается требование отсутствия личных контактов между экспертами и обеспечения их полной информацией по всем результатам оценок после каждого тура опроса с сохранением анонимности оценок, аргументации и критики.

Достоинством метода Дельфи является использование обратной связи в ходе опроса, что значительно повышает объективность и надежность экспертных оценок степени риска. Однако данный метод требует значительного времени на реализацию всей многоэтапной процедуры.

Обработка результатов полученной экспертной информации определяется методом ее получения и типом представления (качественная, количественная). При обработке экспертной информации ставятся задачи оценки: коллективного мнения экспертной группы; согласованности мнений экспертов; компетентности экспертов. При решении первой задачи, если есть не­обходимый информационный потенциал, используются методы математической статистики, основанные на осреднении данных. Если информационный потенциал недостаточен, обработка результатов базируется на методах качественного анализа [22] .

При наличии информационного потенциала коллективное мнение экспертной группы может быть выражено в формах:

1) количественных оценок в физических единицах измерения или в виде отношения;

2) балльных оценок;

3) попарных сравнений;

4) группировок (сортировки);

5) ранжирования.

В зависимости от характера исследуемого объекта, от степени его формализации и возможности привлечения необходимых экспертов порядок работы с ними может быть различным, но в основном он состоит из 3 следующих стадий.

На первой стадии эксперты привлекаются в индивидуальном порядке для того, чтобы уточнить модель объекта, ее параметры и показатели, подлежащие экспертной оценке; уточнить формулировки вопросов и терминологию в анкетах; согласовать целесообразность той или иной формы представления таблиц экспертных оценок; уточнить группы экспертов.

На второй стадии экспертам направляются анкеты с пояснительным письмом, в котором описываются цель работы, структура и порядок построения таблиц с примерами.

Третья стадия работы с экспертами осуществляется после получения результатов опроса в процессе обработки и анализа полученных результатов.

На этой стадии от экспертов в форме консультации обычно получают всю необходимую информацию, которая требуется для уточнения данных и их окончательного анализа.

Рациональное использование информации, получаемой от экспертов, возможно при условии преобразования ее в форму, удобную для дальнейшего анализа, направленного на подготовку и принятие решений.

Существует несколько способов использования группы экспертов. Один из них (метод согласования оценок) заключается в том, что каждый эксперт дает оценку независимо от других, а затем с помощью определенных приемов эти оценки объединяются в одну обобщенную (согласованную).

Например, если речь идет о вероятности наступления рискового события (р) и i -й эксперт указывает для этой вероятности число р Р то простейший способ получения обобщенной оценки состоит в вычислении средней вероятности:

(4)

где

m — число экспертов, участвующих в экспертизе.

В методе Дельфи в качестве обобщенного мнения прини­мается медиана оценок последнего тура опроса экспертов.

Можно рассчитать и средневзвешенное значение вероятности, если попытаться учесть вес (компетентность) самого эксперта, который определяется на основе предыдущей деятельности (количество верных ответов к общему количеству), либо на основе других методов — самооценка экспертом своих знаний в области заданных вопросов, квалификация, должность, ученое звание и т.д. [23] :

(5)

где

hj — вес, приписываемый i -му эксперту.

Существуют различные приемы оценки компетентности эксперта, выбор которых определяется как характером решаемой задачи, так и возможностями проведения конкретного экспертного опроса. В общем случае значения веса, приписываемого i -му эксперту, интерпретируются как вероятность задания им достоверной оценки. В этом случае 0 < h < 1.

Важным моментом экспертных процедур является оцен­ка согласованности действий экспертов и достоверности экспертных оценок.

Как отмечалось, существующие способы определения достоверности экспертных оценок основаны на предположении, что в случае согласованности действий экспертов достоверность оценок гарантируется.

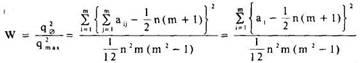
Наиболее часто для этих целей используют коэффициент конкордации (согласия), величина которого позволяет судить о степени согласованности мнений экспертов и, как следствие, достоверности их оценок. Коэффициент конкорда­ции ( W ) определяется из выражения:

(6)

где:

q , — фактическая дисперсия суммарных (упорядоченных) оценок, данных экспертами;

q 2 — дисперсия суммарных (упорядоченных) оценок в случае, когда мнения экспертов полностью совпадают. Величина коэффициента конкордации может изменяться в пределах от 0 до 1. При W = 0 согласованности нет, т.е. связь между оценками различных экспертов отсутствует. При W = 1 согласованность мнений экспертов полная [24] .

Для принятия решения об использовании полученных от экспертов оценок необходимо, чтобы коэффициент конкордации был больше заданного (нормативного) значения. Можно принять W = 0,5. Считается, что при W большем, чем 0,5, действия экспертов в большей степени согласованны, чем несогласованны. Определение коэффициента конкордации можно рас­смотреть на следующем упрощенном примере. Пусть в процессе качественного анализа выявлены 5 видов риска, кото­рым может подвергаться проект в процессе его реализации. Перед экспертами стоит задача проранжировать эти риски (представить в порядке их важности) по степени возможного их влияния на уровень потерь.

В общем случае коэффициент конкордации определяется из выражения:

(7)

где

а — оценка, присваиваемая i -му объекту j -м экспертом;

m — количество оцениваемых объектов;

п — количество экспертов.

Используются также критерии, которые позволяют оценить вероятность того, что согласованность экспертов не явилась результатом случайных вариаций их мнений.

Если в соответствии с принятыми критериями мнения экспертов можно считать согласованными, то данные ими оценки принимаются и используются в процессе подготовки и реализации управленческих решений.

Если полученные оценки нельзя считать достоверными, следует повторить опрос заново. Если и это не дает желаемых результатов, следует уточнить исходные данные и (или) изменить состав группы экспертов.

Известно, что среднее значение суммарной оценки для m объектов, назначаемых экспертами, составляет l /2 n ( m + 1).

Таким образом, риск - это всепроникающий феномен, то, что присуще всем рыночным субъектам. Само по себе наличие риска, которое сопровождает деятельность предприятия, работающего в рыночных условиях, не является недостатком рыночной экономики. Более того, отсутствие риска, т.е. опасности возникновения непредсказуемых и нежелательных для предприятия последствий его собственных действий, как правило, вредит экономике, поскольку подрывает ее динамичность и эффективность.

Проведение комплексного анализа оценки риска является трудоемкой процедурой, включающей огромный спектр специфических вопросов. Поэтому традиционно различные направления в области оценки риска исследуются специализированными структурными подразделениями.

Проблемами большинства организаций остаются разрозненность отдельных видов анализа риска, отсутствие комплексного исследования и общего заключения, что приводит к внесению только отдельных корректив в политику, исключает возможность своевременного принятия решений при возникновении серьезных проблем.

Таким образом, выше были проанализированы способы оценки рисков. Оценка риска — это этап анализа риска, имеющий целью определить его количественные характеристики: вероятность наступления неблагоприятных событий и возможный размер ущерба. Можно выделить 3 основных группы методов оценки риска для конкретных процессов: анализ статистических данных по неблагоприятным событиям, имевшим место в прошлом; теоретический анализ структуры причинно-следственных связей процессов; экспертный подход.

2. П рактическая часть

2.1 Задача

Предпринимателю необходимо выбрать лучший из двух альтерна­тивных финансовых активов, если имеются следующие их характеристики:

Показатель Вариант А Вариант В
Цена ценной бумаги, руб. 12 18
Доходность (экспертная оценка), %:
пессимистическая 14 13
наиболее вероятная 16 17
оптимистическая 18 21
Размах вариации доходности, % 4 8

Решение:

Из представленных расчетов видно, что оба финансовых актива имеют примерно одинаковую наиболее вероятную доходность, однако второй из них может считаться в два раза более рисковым. Отметим, что, если бы был выбран какой-то другой критерий оценки риска, его степень могла бы быть другой.

В условиях предыдущей задачи оценить риск каждого из альтер­нативных финансовых инструментов, если в обоих случаях вероятность наиболее вероятной доходности составляет 60%, а вероятности пессимистической и оптимистической оценок равны и составляют 20%.

Вариант А:

k ml = 14 * 0.2 + 16 * 0.6 + 18 * 0.2 = 16%

σ =

CV = 1,26 : 16 = 0,079, или 7,9%

Вариант В:

k ml = 13 * 0.2 + 17 * 0.6 + 21 * 0.2 = 17%

σ =

CV = 2,53 : 17 = 0,149, или 14,9%

Таким образом, вариант В является более рискованным по сравнению с вариантом А. Вместе с тем уже нельзя сказать, что он более рискован в два раза.

2.2 Задача

Предприятие готовится к переходу на новые виды продукции, при этом возможны четыре решения А, Б, В и Г, каждому из которых соответствует определенный вид выпуска или их сочетание. Результаты принятых решений существенно зависят от хозяйственной ситуации. Варианты хозяйственной ситуации характеризуют структуру спроса на новую продукцию, которая может быть пяти типов: С1, С2, С3, С4, С5.

Эффективность выпуска новых видов продукции

Варианты решений Варианты хозяйственной ситуации
С1 С2 С3 С4 С5
А 0,15 0,24 0,50 0,47 0,65
Б 0,55 0,70 0,18 0,10 0,80
В 0,35 0,43 0,85 0,40 0,63
Г 0,70 0,55 0,30 0,28 0,12

Вероятность наступления хозяйственных ситуаций: С1 = 0,3; С2 = 0,15; С3 = 0,2; С4 = 0,25; С5 = 0,1. Определить, какой из вариантов решений является наименее рискованным.

Решение.

Средневзвешенный риск:

Вариант А:

0,15 ∙ 0,3 + 0,24 ∙ 0,15 + 0,50 ∙ 0,2 + 0,47 ∙ 0,25 + 0,65 ∙ 0,1 = 0,3635, или 36,35%.

Вариант Б:

0,55 ∙ 0,3 + 0,70 ∙ 0,15 + 0,18 ∙ 0,2 + 0,10 ∙ 0,25 + 0,80 ∙ 0,1 = 0,411, или 41,1%.

Вариант В:

0,35 ∙ 0,3 + 0,43 ∙ 0,15 + 0,85 ∙ 0,2 + 0,4 ∙ 0,25 + 0,63 ∙ 0,1 = 0,5025, или 50,25%.

Вариант Г:

0,7 ∙ 0,3 + 0,55 ∙ 0,15 + 0,3 ∙ 0,2 + 0,28 ∙ 0,25 + 0,12 ∙ 0,1 = 0,4345, или 43,45%.

Наименее рискованным по расчетам является вариант решения А.

2.3 Задача

Частный инвестор решил вложить свои сбережения в ценные бумаги. Исходя из критерия риска необходимо сделать выбор между обыкновенными акциями компаний А и Б, имеющими одинаковую номинальную стоимость, если за предыдущие 10 лет деятельности компаний дивиденды на акцию составили:

Компания Дивиденды на акцию за прошлые периоды, тыс. руб.
1 2 3 4 5 6 7 8 9 10
А 30 30 30 30 35 35 40 40 40 45
Б 30 30 30 32 32 35 35 40 40 45

Решение:

Критерием степени риска выберем среднее значение за 10 лет:

Компания А: тыс. руб.,

компания Б: тыс. руб.

Колеблемость (изменчивость) возможного результата:

тыс. руб.

тыс. руб.

Более высокие средние годовые дивиденды получены в компании А, но колеблемость значений вокруг своей средней по этой компании выше чем по компании Б.

З аключение

В заключении работы отметим, что для России на современном этапе развития экономики характерен высокий уровень неопределенности при осу­ществлении коммерческой и инвестиционной деятельности по сравнению с развитыми странами, который вызван следующими причинами:

1) высокими процентными ставками по инвестиционным кредитам, устойчивыми инфляционными ожиданиями, постоянными колебаниями ставки рефинансирования, дефицитом рублевых средств, слабой ресурсной базой и низкой капитализацией организаций, малочисленностью первоклассных заемщиков, плохим качеством предлагаемых инвестиционных проектов;

2) слабым развитием инфраструктуры, обеспечивающей плодотворный симбиоз венчурного капитала с малым и средним инновационным бизнесом;

3) отсутствием российских источников венчурного капитала;

4) низкой ликвидностью рисковых капиталовложений, отсутствием необходимого для этого рыночного механизма (специального фондового рынка);

5) слабыми экономическими стимулами для привлечения венчурного капитала к реализации наукоемких проектов;

6) низким престижем предпринимательской деятельности в сфере малого наукоемкого бизнеса;

7) слабой информационной поддержкой венчурного бизнеса в России;

8) недостатком квалифицированных менеджеров инновационных проектов, в том числе осуществляемых с привлечением венчурного капитала;

9) проблемами с регистрацией венчурных фондов. Необходимо помнить, что проявление сущности риска инвестиционной деятельности связано не только с ожидаемыми отрицательными результатами (убытками, издержками, дополнительными затратами), но и с повышенными положительными результатами, особенно с высокой прибылью как мощным стимулом осуществления рискованной инвестиционной деятельности, формирующей готовность предпринимателя к обоснованному риску.

Рискам коммерческой и инвестиционной деятельности присущи не только такие главные черты, как случайность одной из возможностей; вероятность распределения отрицательных, нейтральных и положительных результатов; нежелательность ожидаемых убытков; объективность из-за действия сил природы и общества по закону больших чисел, но и субъективность выбора человеком оцененных возможных альтернатив; недостаток определенной информации, приводящий к погрешностям в оценке степени вероятности в количестве альтернативных исходов; невозможность длительного избегания ожидаемых опасностей; необратимость последствий действий; возрастающий масштаб по мере социально-экономического прогресса из-за накопления регрессного потенциала; многовариантность и альтернативность ожидаемых убытков или доходов; противоречивость негативных и позитивных последствий действия.

Система управления инвестиционной деятельностью в условиях неопределенности на современном этапе воспринимается как необходимое условие стабильности работы в инвестиционной сфере, так как она оказывает управленческое воздействие не только на сами риски, но и формирует критерии модификации потенциала организации для целей повышения эффектив­ности инвестиционной деятельности в целом и отдельных операций на основе предварительного анализа рисков. При этом потенциал субъекта инвестиционной деятельности должен восприниматься не как статическая данность, а как модифицируемый в соответствии с внешними изменениями. Происходит интеграция управления инвестиционной деятельностью в условиях неопределенности в таких сферах, как стратегический менеджмент, оперативный менеджмент, финансовый менеджмент, логистика.

Создание службы риск-менеджмента желательно проводить в таком составе: информационно-аналитический отдел, включающий в себя подотдел оценки риска, подотдел перспективного развития; отдел планирования и управления рисками с подотделами превентивных мероприятий, самострахования, страхования; отдел контроля и мониторинга с подотделами контроля и мониторинга интегрального и остаточного рисков организации.

Среди основных изменений, которые необходимо прово­дить в организации, можно отметить следующие:

1) создание механизмов внутреннего управления риском;

2) разработка сложных систем управления риском, включаю­щих информационные потоки и линии отчетности, начиная от правления и заканчивая подразделениями предприятия;

3) слияние внутреннего аудита и риск-менеджмента;

4) попытка повысить осознание риска через корпоративную культуру;

5) попытка переориентировать отделы риск-менеджмента в направлении внутренних служб консалтинга;

6) возросшая представленность лиц, ответственных за управление риском, непосредственно в правлении: в некоторых компаниях появилась должность риск-директора;

7) попытка интегрировать процедуры оценки и контроля риска в корпоративные финансы, коммерческие стратегии и операции.

Увеличивается как давление, направленное на предотвращение потерь, так и давление, имеющее целью исправить существующую ситуацию — улучшить корпоративные показатели и повысить стоимость компании. Можно утверждать, что понятие «неопределенность» стало неотъемлемой частью мировоззрения старших руководителей во всем мире. Если эти утверждения кажутся абстрактными, возьмем в качестве примера управление риском репутации. Утрата репутации стала страхом, преследующим членов правления компаний.

Риск-менеджмент на современном этапе развития организаций представляет собой деятельность в рамках организации в целом. Осознание этого является очень важным фактором для построения корректной системы риск-менеджмента: риск-менеджмент должен восприниматься не только как дея­тельность, по управлению рисками, но и как активное управление операциями и организацией, его продуцирующими. Задача генерации параметров, внутрифирменной архитектуры субъекта инвестиционной деятельности также является задачей риск-менеджмента.

С этой точки зрения решение риск-менеджмента может быть только гарантированным результатом, т.е. будет не одно конкретное решение, а целая совокупность альтернатив, сжатая до некоего подмножества по принципу Паретто. Иначе говоря, результатом принятого решения будет генерирование некоего подмножества эффективных стратегий, так как невозможно получить окончательный критерий отбора одного оптимального решения, но можно выбрать группу наиболее перспективных решений, отделив тем самым неконкурентоспособные решения. А вот задача конкретного выбора пути развития из предложенных решений — это уже задача стратегического менеджмента, т.е. риск-менеджмент представляет стратегическому менеджменту на рассмотрение некое множество конкурентоспособных программ действия, представленное совокупностью решений с наибольшей областью пересечений нечеткой цели, выраженной нечетким множеством, и предложенного решения.

Список использованных источников

1. Балабанов И.Т. Риск-менеджмент [Текст] / И.Т. Балабанов. — М., 2009. – 528 с.

2. Балдин К.В. Управление рисками [Текст]: учеб. пособие / К.В. Балдин, С.Н. Воробьев. – М.: ЮНИТИ-ДАНА, 2007. – 511 с.

3. Валдайцев С. Предпринимательство [Текст]: учебник. / С. Валдайцев. – М., 2007. – 485 с.

4. Вяткин В.Н., Вяткин И.В., Гамза В.А., Екатеринославский Ю.Ю. Риск-менеджмент: Учебник [Текст] / В.Н. Вяткин, И.В. Вяткин, В.А. Гамза, Ю.Ю. Екатеринославский.: Дашков и К, 2008. – 586 с.

5. Глущенко Е.В. и др. Основы предпринимательства [Текст]: учебное пособие / Е.В. Глущенко. – М.: Вестник, 2009. – 673 с.

6. Гранатуров В.М. Экономический риск [Текст] / В.М. Гранатуров. — М.: Дело и сервис, 2006. – 641 с.

7. Гробовой П.Г., Петрова С.Н., Полтавцев С.И. Риски в современном бизнесе [Текст] / П.Г. Гробовой, С.Н. Петрова, С.И. Полтавцев. М., 2007. – 348 с.

8. Ермасова Н.Б. Риск-менеджмент организации [Текст]: учебно-практическое пособие / Н.Б. Ермасова. – М.: Издательско-торговая корпорация «Дашков и К о », 2008. – 380 с.

9. Зозулюк А.В. Хозяйственный риск в предпринимательской деятельности. [Текст] / А.В. Зозулюк – М., 2010. – 468 с.

10. Качалов Р.М. Управление хозяйственным риском. Введение [Текст] / Р.М. Качалов – М.: Наука, 2009. – 536 с.

11. Лапуста М. Риски в предпринимательской деятельности [Текст] / М. Лапуста. – М.: ИНФРА-М, 2008. – 553 с.

12. Лапуста М.Г., Скамай Л.Г. Основы предпринимательства [Текст]: учебное пособие / М.Г. Лапуста, Л.Г. Скамай – М.: Финстатинформ, 2006. – 723 с.

13. Лобанов А., Филин С, Чугунов А. Риск-менеджмент [Текст] / А. Лобанов, С. Филин, А. Чугунов //Ресурсы. Информация. Снабжение. Конкуренция. — 2001 . — № 4 – C .12-19

14. Москвин В.А. Управление рисками [Текст] / В.А. Москвин. - М: ИНФРА-М, 2006. – 266 с.

15. Никитина Т.В. Страхование коммерческих и финансовых рисков [Текст] / Т.В. Никитина. СПб.: Питер, 2008. – 551 c .

16. Пикфорд Дж. Управление рисками [Текст] / Дж. Пикфорд. – М.: Вершина, 2007. – 348 с.

17. Поляк Г.Б. Финансовый менеджмент. [Текст] / Г.Б. Поляк - М., 2007. – 299 с.

18. Порфирьев Б.Н. Управление в чрезвычайных ситуациях: проб­лемы теории и практики // ИНТ «Проблемы безопасности: чрезвы­чайные ситуации» [Текст] / Б.Н. Порфирьев. М.: Наука, 2006. – 246 с.

19. Райсберг Б.А. Предпринимательство и риск. [Текст] / Б.А. Райсберг. - М., 2009. – 624 с.

20. Риск-менеджмент: учебное пособие [Текст] / Под ред. д-ра тех. наук, проф., засл. Деятеля науки РФ Е.А. Олейникова; Л.П. Гончаренко, С.А. Филин. –М.: КНОРУС, 2007. – 545 c .

21. Рэдхэд К. Управление фи­нансовыми рисками [Текст] / Пер. с англ. — М.: ИНФРА-М, 2009. – 462 с.

22. Севрук В. Т. Риски финансового сектора РФ [Текст] / В.Т. Севрук. — М.: Финстатинформ, 2007. – 447 с.

23. Станиславчик Е.Н. Риск-менеджмент на предприятии [Текст] / Е.Н. Станиславчик. — М.: Ось-89, 2007. – 464 с.

24. Ступаков В.С., Токаренко Г.С. Риск-менеджмент [Текст]: учеб. пособие / В.С. Ступаков, Г.С. Токаренко. – М.: Финансы и статистика, 2007. – 288 с.

25. Сумцова Н.В. Экономическая теория [Текст] / Н.В. Сумцова. – М., 2008. – 468 с.

26. Тронин Ю.Н., Юлдашев Р.Т. Системный анализ базовых понятий предметной области «российский страховой менеджмент» [Текст] / Ю.Н. Тронин, Р.Т. Юлдашев // Страхо­вое дело. 1999. № 12. С. 30-37.

27. Тэпман Л.Н. Риски в экономике: Учебное пособие [Текст] / Под ред. В.А. Швадара. М.: ЮНИТИ-ДАНА, 2007. – 442 c .

28. Управление рисками: Учеб. пособие для студентов вузов, обучающихся по специальности экономики и управления (060000) [Текст] / К.В. Балдин, С.Н. Воробьев. – М.: ЮНИТИ-ДАНА, 2008. – 422 с.

29. Устенко О.Л. Теория экономического риска [Текст] / О.Л. Устенко. - Киев. 2007. – 366 с.

30. Хохлов Н.В. Управление риском [Текст] : учеб. пособ. / Н.В. Хохлов. – 2008. – 447 с.

31. Цветкова Е.В., Арлюкова И.О. Риски в экономической деятельности. [Текст] / Е.В. Цветкова - СПб., 2009. – 477 с.

32. Экономический риск: сущность, методы измерения, пути снижения [Текст] / В.М. Гранатуров - М.: Издательство "Дело и Сервис", 2008. – 463 с.

33. Юлдашев Р.Т., Троими Ю.Н. Российское страхование: системный анализ понятий и методология финансового менеджмента [Текст] / Р.Т. Юлдашев, Ю.Н. Троими. М.: Анкил, 200 8 . – 523 с.


[1] Балдин К.В. Управление рисками [Текст]: учеб. пособие / К.В. Балдин, С.Н. Воробьев. – М.: ЮНИТИ-ДАНА, 2007. С.112

[2] Севрук В. Т. Риски финансового сектора РФ [Текст] / В.Т. Севрук. — М.: Финстатинформ, 2007. С. 7

[3] Вяткин В.Н., Вяткин И.В., Гамза В.А., Екатеринославский Ю.Ю. Риск-менеджмент: Учебник. М.: Дашков и К, 2008. С. 3-4.

[4] Порфирьев Б.Н. Управление в чрезвычайных ситуациях: проб­лемы теории и практики // ИНТ «Проблемы безопасности: чрезвы­чайные ситуации». М.: Наука, 2006. С. 8

[5] Юлдашев Р.Т., Троими Ю.Н. Российское страхование: системный анализ понятий и методология финансового менеджмента. М.: Анкил, 2008. С. 7-8.

[6] Хохлов Н.В. Управление риском. М.: ЮНИТИ, 2008. С. 11.

[7] Тэпман Л.Н. Риски в экономике: Учебное пособие / Под ред. В.А. Швадара. М.: ЮНИТИ-ДАНА, 2007. С. 9-10.

[8] Тронин Ю.Н., Юлдашев Р.Т. Системный анализ базовых понятий предметной области «российский страховой менеджмент» // Страхо­вое дело. 1999. № 12. С. 32.

[9] Никитина Т.В. Страхование коммерческих и финансовых рисков. СПб.: Питер, 2008. С. 84

[10] Зозулюк А.В. Хозяйственный риск в предпринимательской деятельности. [Текст] / А.В. Зозулюк – М., 2010. С.163

[11] Лобанов А., Филин С, Чугунов А. Риск-менеджмент//Ресурсы. Информация. Снабжение. Конкуренция. — 2001 . — № 4

[12] Валдайцев С. Предпринимательство [Текст]: учебник. / С. Валдайцев. – М., 2007. С.219

[13] Зозулюк А.В. Хозяйственный риск в предпринимательской деятельности. [Текст] / А.В. Зозулюк – М., 2010. С.166

[14] Зозулюк А.В. Хозяйственный риск в предпринимательской деятельности. [Текст] / А.В. Зозулюк – М., 2010. С.169

[15] Балдин К.В. Управление рисками [Текст]: учеб. пособие / К.В. Балдин, С.Н. Воробьев. – М.: ЮНИТИ-ДАНА, 2007. С.117

[16] Ступаков В.С., Токаренко Г.С. Риск-менеджмент: Учеб. пособие.- М.: Финансы и статистика, 2007. С. 99

[17] Ступаков В.С., Токаренко Г.С. Риск-менеджмент: Учеб. пособие.- М.: Финансы и статистика, 2007. С. 100

[18] Ступаков В.С., Токаренко Г.С. Риск-менеджмент: Учеб. пособие.- М.: Финансы и статистика, 2007. С. 102

[19] Риск-менеджмент: учебное пособие / Под ред. д-ра тех. наук, проф., засл. Деятеля науки РФ Е.А. Олейникова; Л.П. Гончаренко, С.А. Филин. –М.: КНОРУС, 2007. С. 154

[20] Риск-менеджмент: учебное пособие / Под ред. д-ра тех. наук, проф., засл. Деятеля науки РФ Е.А. Олейникова; Л.П. Гончаренко, С.А. Филин. –М.: КНОРУС, 2007. С. 155

[21] Риск-менеджмент: учебное пособие / Под ред. д-ра тех. наук, проф., засл. Деятеля науки РФ Е.А. Олейникова; Л.П. Гончаренко, С.А. Филин. –М.: КНОРУС, 2007. С. 156

[22] Валдайцев С. Предпринимательство [Текст]: учебник. / С. Валдайцев. – М., 2007. С.222

[23] Риск-менеджмент: учебное пособие / Под ред. д-ра тех. наук, проф., засл. Деятеля науки РФ Е.А. Олейникова; Л.П. Гончаренко, С.А. Филин. –М.: КНОРУС, 2007. С. 160

[24] Риск-менеджмент: учебное пособие / Под ред. д-ра тех. наук, проф., засл. Деятеля науки РФ Е.А. Олейникова; Л.П. Гончаренко, С.А. Филин. –М.: КНОРУС, 2007. С 161

Оценить/Добавить комментарий
Имя
Оценка
Комментарии:
Хватит париться. На сайте FAST-REFERAT.RU вам сделают любой реферат, курсовую или дипломную. Сам пользуюсь, и вам советую!
Никита16:53:08 05 ноября 2021
.
.16:53:07 05 ноября 2021
.
.16:53:05 05 ноября 2021
.
.16:53:03 05 ноября 2021
.
.16:53:02 05 ноября 2021

Смотреть все комментарии (6)
Работы, похожие на Реферат: Виды рисков и способы их оценки

Назад
Меню
Главная
Рефераты
Благодарности
Опрос
Станете ли вы заказывать работу за деньги, если не найдете ее в Интернете?

Да, в любом случае.
Да, но только в случае крайней необходимости.
Возможно, в зависимости от цены.
Нет, напишу его сам.
Нет, забью.



Результаты(288247)
Комментарии (4159)
Copyright © 2005-2021 HEKIMA.RU [email protected] реклама на сайте