Банк рефератов содержит более 364 тысяч рефератов, курсовых и дипломных работ, шпаргалок и докладов по различным дисциплинам: истории, психологии, экономике, менеджменту, философии, праву, экологии. А также изложения, сочинения по литературе, отчеты по практике, топики по английскому.
Полнотекстовый поиск
Всего работ:
364139
Теги названий
Разделы
Авиация и космонавтика (304)
Административное право (123)
Арбитражный процесс (23)
Архитектура (113)
Астрология (4)
Астрономия (4814)
Банковское дело (5227)
Безопасность жизнедеятельности (2616)
Биографии (3423)
Биология (4214)
Биология и химия (1518)
Биржевое дело (68)
Ботаника и сельское хоз-во (2836)
Бухгалтерский учет и аудит (8269)
Валютные отношения (50)
Ветеринария (50)
Военная кафедра (762)
ГДЗ (2)
География (5275)
Геодезия (30)
Геология (1222)
Геополитика (43)
Государство и право (20403)
Гражданское право и процесс (465)
Делопроизводство (19)
Деньги и кредит (108)
ЕГЭ (173)
Естествознание (96)
Журналистика (899)
ЗНО (54)
Зоология (34)
Издательское дело и полиграфия (476)
Инвестиции (106)
Иностранный язык (62791)
Информатика (3562)
Информатика, программирование (6444)
Исторические личности (2165)
История (21319)
История техники (766)
Кибернетика (64)
Коммуникации и связь (3145)
Компьютерные науки (60)
Косметология (17)
Краеведение и этнография (588)
Краткое содержание произведений (1000)
Криминалистика (106)
Криминология (48)
Криптология (3)
Кулинария (1167)
Культура и искусство (8485)
Культурология (537)
Литература : зарубежная (2044)
Литература и русский язык (11657)
Логика (532)
Логистика (21)
Маркетинг (7985)
Математика (3721)
Медицина, здоровье (10549)
Медицинские науки (88)
Международное публичное право (58)
Международное частное право (36)
Международные отношения (2257)
Менеджмент (12491)
Металлургия (91)
Москвоведение (797)
Музыка (1338)
Муниципальное право (24)
Налоги, налогообложение (214)
Наука и техника (1141)
Начертательная геометрия (3)
Оккультизм и уфология (8)
Остальные рефераты (21692)
Педагогика (7850)
Политология (3801)
Право (682)
Право, юриспруденция (2881)
Предпринимательство (475)
Прикладные науки (1)
Промышленность, производство (7100)
Психология (8692)
психология, педагогика (4121)
Радиоэлектроника (443)
Реклама (952)
Религия и мифология (2967)
Риторика (23)
Сексология (748)
Социология (4876)
Статистика (95)
Страхование (107)
Строительные науки (7)
Строительство (2004)
Схемотехника (15)
Таможенная система (663)
Теория государства и права (240)
Теория организации (39)
Теплотехника (25)
Технология (624)
Товароведение (16)
Транспорт (2652)
Трудовое право (136)
Туризм (90)
Уголовное право и процесс (406)
Управление (95)
Управленческие науки (24)
Физика (3462)
Физкультура и спорт (4482)
Философия (7216)
Финансовые науки (4592)
Финансы (5386)
Фотография (3)
Химия (2244)
Хозяйственное право (23)
Цифровые устройства (29)
Экологическое право (35)
Экология (4517)
Экономика (20644)
Экономико-математическое моделирование (666)
Экономическая география (119)
Экономическая теория (2573)
Этика (889)
Юриспруденция (288)
Языковедение (148)
Языкознание, филология (1140)

Реферат: Нормы и интерпретация результатов теста

Название: Нормы и интерпретация результатов теста
Раздел: Рефераты по психологии
Тип: реферат Добавлен 21:58:03 30 июля 2005 Похожие работы
Просмотров: 769 Комментариев: 20 Оценило: 4 человек Средний балл: 5 Оценка: неизвестно     Скачать

Глава XIV

ПРОСТЕЙШИЕ МЕТОДЫ

СТАТИСТИЧЕСКОЙ ОБРАБОТКИ МАТЕРИАЛОВ ПСИХОЛОГИЧЕСКИХ ИССЛЕДОВАНИЙ

Статистические методы применяются при обработке материалов психологических исследований для того, чтобы извлечь из тех ко­личественных данных, которые получены в экспериментах, при оп­росе и наблюдениях, возможно больше полезной информации. В ча­стности, в обработке данных, получаемых при испытаниях по пси­хологической диагностике, это будет информация об индивидуаль­но-психологических особенностях испытуемых. Вообще психологи­ческие исследования обычно строятся с опорой на количественные данные. Вот пример.

К школьному психологу обратился шестиклассник Саня Ю. с прось­бой испытать его двигательный темп. Саню очень интересовал бас­кетбол, и он собирался вступить в баскетбольную команду, а бас­кетболист, несомненно, должен иметь высокий двигательный темп. Психолог разработал план небольшого исследования. Он начал с того, что попросил Саню так быстро, как он только может, ставить точки в центре кружков, нарисованных на листке бумаги. За одну минуту Саня поставил 137 точек. Насколько этот темп характерен для Сани? Чтобы установить это, психолог попросил Саню повто­рить эту пробу 25 раз. Действительно, некоторые результаты пре­вышали первоначально полученное число, но некоторые оказались и поменьше. Психолог просуммировал все полученные за 25 проб ре­зультаты, а сумму разделил на 25 — таким путем он получил сред­нее арифметическое по всем пробам. Это среднее арифметическое составило 141. Таков по этой пробе максимальный темп Сани. Можно ли считать этот темп высоким? Потребовался еще один шаг в исследовании. Психолог сформировал группу из 50 шестиклассни­ков, не отличающихся ни от Сани, ни друг от друга по возрасту бо­лее чем на полгода. С этими ребятами психолог также провел сна­чала по несколько тренировочных проб, чтобы получить надежные данные об их темпе, и, наконец, последнюю пробу, для обработки.

Все эти экспериментальные данные в виде средних арифметиче­ских были построены в один порядковый ряд, который был разбит по десяткам (по децилям). Санины данные вышли в десятку с наи­более быстрыми результатами. По этим количественным данным психолог сделал вывод о том, что Саня обладает сравнительно вы­соким двигательным темпом, о чем и было ему сообщено.

Современная математическая статистика представляет собой большую и сложную систему знаний. Нельзя рассчитывать на то, что каждый психолог, сделавший диагностику своей специально­стью, овладеет этими знаниями. Между тем статистика нужна пси­хологу постоянно в его повседневной работе. Специалисты-статис­тики разработали целый комплекс простых методов, которые со­вершенно доступны любому человеку, не забывшему то, что он вы­учил еще в средней школе.

В зависимости от требований, которые предъявляют к статистике различные области науки и практики, создаются пособия по геоло­гической, медицинской, биологической, психологической статисти­ке. (См., например: Суходольский Г.В. Основы математической ста­тистики для психологов. Л., 1972). В этой главе даются простейшие методы статистики для психологов. Все необходимые для их приме­нения вычисления можно выполнять на ручном компьютере, а то и на простых счетах. Уместное, грамотное применение этих методов позволит практику и исследователю, проведя начальную обработку, получить общую картину того, что дают количественные результаты его исследований, оперативно проконтролировать ход исследований. В дальнейшем, если возникнет такая необходимость, материалы ис­следований могут быть переданы для более глубокой разработки специалисту-статистику на большой компьютер.

Статистические шкалы. Применение тех или других статисти­ческих методов определяется тем, к какой статистической шкале относится полученный материал. С. Стивене предложил различать четыре статистические шкалы: шкалу наименований (или номина­тивную), шкалу порядка, шкалу интервалов и шкалу отношений.

Зная типические особенности каждой шкалы, нетрудно устано­вить, к какой из шкал следует отнести подлежащий статистической обработке материал.

Шкала наименований. К этой шкале относятся материалы, в которых изучаемые объекты отличаются друг от друга по их каче­ству. При обработке таких материалов нет никакой нужды в том, чтобы располагать эти объекты в каком-то порядке, исходя из их характеристик. В принципе объекты можно располагать в любой последовательности. Вот пример: изучается состав международной научной конференции. Среди участников есть французы, англичане, датчане, немцы и русские (рис. 1). Имеет ли значение порядок, в котором будут расположены участники при изучении состава кон­ференции? Можно распо­ложить их по алфавиту, это удобно, но ясно, что ника­кого принципиального зна­чения в этом расположении нет. При переводе этих ма­териалов на другой язык (а значит, и на другой алфа­вит) этот порядок будет нарушен. Можно располо­жить национальные группы по числу участников. Но при сравнении этого материала с материалом другой конференции найдем, что вряд ли этот порядок окажется таким же. Отнесенные к шкале на­именований объекты можно размещать в любой последовательности в зависимости от цели исследования.

При статистической обработке такого рода материалов нужно считаться с тем, каким числом единиц представлен каждый объект. Имеются весьма эффективные статистические методы, позволяю­щие по этим числовым данным прийти к научно значимым выводам (например, метод хи-квадрат).

Шкала порядка. Если в шкале наименований порядок следова­ния изучаемых объектов практически не играет никакой роли, то в шкале порядка — это видно из ее названия — именно на эту по­следовательность переключается все внимание. К этой шкале в ста­тистике относят такие исследовательские материалы, в которых рассмотрению подлежат объекты, принадлежащие к одному или не­скольким классам, но отличающиеся при сравнении одного с другим: больше—меньше, выше—ниже и т.п.

Проще всего показать типические особенности шкалы порядка, если обратиться к публикуемым итогам любых спортивных соревно­ваний. В этих итогах последовательно перечисляются участники, занявшие соответственно первое, второе, третье и прочие по поряд­ку места. Но в информации об итогах соревнований нередко отсут­ствуют или отходят на второй план сведения о фактических дости­жениях спортсменов, а на первый план ставятся их порядковые места. Допустим, шахматист Д. занял в соревнованиях первое ме­сто. Каковы же его достижения? Оказывается, он набрал 12 очков. Шахматист Е. занял второе место. Его достижение — 10 очков.

Третье место занял Ж. с 8 очками, четвертое — З. с 6 очками и т.д. В сообщениях о соревновании разница в достижениях при разме­щении шахматистов отходит на второй план, а на первом остаются их порядковые места. В том, что именно порядковому месту отво­дится главное значение, есть свой смысл. В самом деле, в нашем примере 3. набрал 6, а Д. — 12 очков. Это абсолютные их дости­жения — выигранные ими партии. Если попытаться истолковать эту разницу в достижениях чисто арифметически, то пришлось бы признать, что 3. играет вдвое хуже, чем Д. Но с этим нельзя согла­ситься. Обстоятельства соревнований не всегда просты, как не все­гда просто и то, как провел их тот или другой участник. Поэтому, воздерживаясь от арифметической абсолютизации, ограничиваются тем, что устанавливают: шахматист 3. отстает от занявшего первое место Д. на три порядковых места.

Заметим, что в других соревнованиях расклад абсолютных дос­тижений может быть иным: занявший первое место может всего на пол-очка опережать ближайших участников. Важно, что он набрал наибольшее количество очков. Только от этого зависит его порядко­вое место.

Шкала интервалов. К ней относятся такие материалы, в которых дана количественная оценка изучаемого объекта в фиксированных еди­ницах. Вернемся к опытам, которые провел психолог с Саней. В опытах учитывалось, сколько точек может поставить, работая с максимально доступной ему скоростью, сам Саня и каждый из его сверстников. Оценочными единицами в опытах служило число точек. Подсчитав их, исследователь получил то абсолютное число точек, которое оказалось возможным поставить за отведенное время каждому участнику опытов. Главная трудность при отнесении материалов к шкале интервалов со­стоит в том, что нужно располагать такой единицей, которая была бы при всех повторных измерениях тождественной самой себе, т.е. одина­ковой и неизменной. В примере с шахматистами (шкала порядка) такой единицы вообще не существует.

В самом деле, учитывается число партий, выигранных каждым участником соревнований. Но ясно, что партии далеко не одинако­вы. Возможно, что участник соревнований, занявший четвертое ме­сто — он выиграл шесть партий, — выиграл труднейшую партию у самого лидера! Но в окончательных итогах как бы принимается, что все выигранные партии одинаковы. В действительности же этого нет. Поэтому при работе с подобными материалами уместно их оценивать в соответствии с требованиями шкалы порядка, а не шкалы интервалов. Материалы, соответствующие шкале интерва­лов, должны иметь единицу измерения.

Шкала отношений. К этой шкале относятся материалы, в ко­торых учитываются не только число фиксированных единиц, как в шкале интервалов, но и отношения полученных суммарных итогов между собой. Чтобы работать с такими отношениями, нужно иметь некую абсолютную точку, от которой и ведется отсчет. При изуче­нии психологических объектов эта шкала практически неприменима.

О параметрических и непараметрических методах стати­стики. Приступая к статистической обработке своих исследований, психолог должен решить, какие методы ему более подходят по осо­бенностям его материала — параметрические или непараметриче­ские. Различие между ними легко понять. Вспомним, что говори­лось об измерении двигательной скорости шестиклассников. Как обработать эти данные? Нужно записать все произведенные изме­рения — в данном случае это будет число точек, поставленных ка­ждым испытуемым, — затем требуется вычислить для каждого ис­пытуемого среднее арифметическое по результатам опытов. Далее следует расположить все эти данные в их последовательности, на­пример, начиная с наименьших к наибольшим. Для облегчения обо­зримости этих данных их обычно объединяют в группы; в этом слу­чае можно объединить по 5—9 измерений в группе. Вообще же при таком объединении желательно, если общее число случаев не более ста, чтобы общее число групп было порядка двенадцати. Получи­лась такая таблица (с. 249).

Далее нужно установить, сколько раз в опытах встретились чи­словые значения, соответствующие каждой группе. Сделав это, нужно для каждой группы записать ее численность. Полученные в такой таблице данные носят название распределения численностей. Рекомендуется представить это распределение в виде диаграммы — полигона распределения. Контуры этого полигона помогут решить вопрос о статистических методах обработки. Нередко они напоми­нают контуры колокола, с наивысшей точкой в центре полигона и с симметричными ветвями, отходящими в ту и другую сторону. Такой контур соответствует кривой нормального распределения. Это поня­тие было введено в математическую статистику К.Ф. Гауссом (1777—1855), поэтому кривую именуют также кривой Гаусса. Он же дал математическое описание этой кривой. Для построения кри­вой Гаусса (или кривой нормального распределения) теоретически требуется очень большое количество случаев. Практически же при­ходится довольствоваться тем фактическим материалом, который накоплен в исследовании. Если данные, которыми располагает ис­следователь, при их внимательном рассмотрении или после перено­са их на диаграмму, лишь в незначительной степени расходятся с кривой нормального распределения, то это дает право исследовате­лю применять в статистической обработке параметрические методы, исходные положения которых основываются на нормальной (О математически обоснованных способах определения того, можно ли считать данное распределение нормальным, см., например, в кн.: Урбах В.Ю. Математиче­ская статистика для биологов и медиков. М., 1963. С. 66) кривой распределения Гаусса. Нормальное распределение называют пара­метрическим потому, что для построения и анализа кривой Гаусса достаточно иметь всего два параметра: среднее арифметическое, значение которого должно соответствовать высоте перпендикуляра, восстановленного в центре кривой, и так называемое среднее квад-ратическое, или стандартное, отклонение — величины, характери­зующей размах колебаний данной кривой; о способах вычисления той и другой величины будет далее рассказано.

Параметрические методы обладают для исследователя многими преимуществами, но нельзя забывать о том, что применение их правомерно только тогда, когда обрабатываемые данные показывают распределение, лишь несущественно отличающееся от гауссова.

При невозможности применить параметрические методы, надлежит обратиться к непараметрическим. Эти методы успешно разрабаты­вались в последние 3—4 десятилетия, и их разработка была вызва­на прежде всего потребностями ряда наук; в частности, психологии. Они показали свою высокую эффективность. Вместе с тем они не требуют сложной вычислительной работы.

Современному психологу-исследователю нужно исходить из того, что «существует большое количество данных либо вообще не под­дающихся анализу с помощью кривой нормального распределения, либо не удовлетворяющих основным предпосылкам, необходимым для ее использования» (Рунион Р. Справочник по непараметриче­ской статистике. М., 1982. С. 11.).

Генеральная совокупность и выборка. Психологу постоянно придется иметь дело с этими двумя понятиями. Генеральная сово­купность, или просто совокупность, — это множество, все элемен­ты которого обладают какими-то общими признаками. Так, все под­ростки-шестиклассники 12 лет (от 11,5 до 12,5) образуют совокуп­ность. Дети того же возраста, но не обучающиеся в школе, или же обучающиеся, но не в шестых классах, не подлежат включению в эту совокупность.

В ходе конкретизации проблем своего исследования психологу неизбежно придется обозначить границы изучаемой им совокупно­сти. Следует ли включать в изучаемую совокупность детей того же возраста, но обучающихся в колледжах, гимназиях, лицеях и других подобных учебных заведениях? В ответе на этот и на другие такие же вопросы может помочь статистика.

В подавляющем большинстве случаев исследователь не в состоя­нии охватить в изучении всю совокупность. Приходится, хотя это и связано с некоторой утратой информации, взять для изучения лишь часть совокупности, ее и называют выборкой. Задача исследователя заключается в том, чтобы подобрать такую выборку, которая репре­зентировала бы, представляла совокупность; другими словами, при­знаки элементов совокупности должны быть представлены в выбор­ке. Составить такую выборку, в точности повторяющую все разно­образные сочетания признаков, которые имеются в элементах сово­купности, вряд ли возможно. Поэтому некоторые потери в инфор­мации оказываются неизбежными. Важно, чтобы в выборке были сохранены существенные, с точки зрения данного исследования, признаки совокупности. Возможны случаи, и для их обнаружения есть статистические методы, когда задачи исследования требуют создания двух выборок одной совокупности; при этом нужно уста­новить, не взяты ли выборки из разных совокупностей. Эти и дру­гие подобные казусы нужно иметь в виду психологу при обработке результатов выборочных исследований.

Следует рассмотреть типы задач, с которыми чаще всего имеет дело психолог. Соответственно приводятся и статистиче­ские методы, которые приложимы для обработки психологических материалов, направленных на решение этих задач.

Первый тип задач. Психологу нужно дать сжатую и достаточ­но информативную характеристику психологических особенностей какой-то выборки, например, школьников определенного класса. Чтобы подойти к решению этой задачи, необходимо располагать ре­зультатами диагностических испытаний; эти испытания, разумеется, следует заранее спланировать так, чтобы они давали информацию о тех особенностях группы, которые в этом конкретном случае инте­ресуют психолога. Это могут быть особенности умственного разви­тия, психофизиологические особенности, данные об изменении ра­ботоспособности и т.д.

Получив все экспериментальные результаты и материалы наблю­дений, следует подумать о том, как их подать пользователю в ком­пактном виде, чтобы при этом свести к минимуму потерю информа­ции. В перечне статистических методов, используемых при решении подобных задач, обычно находят свое место и параметрические и непараметрические методы, о возможностях применения тех и дру­гих, как было сказано выше, судят по полученному материалу. Об этих статистических методах и их использовании пойдет речь ниже.

Второй тип задач. Это, пожалуй, наиболее часто встречающие­ся задачи в исследовательской и практической деятельности психолога: сравниваются между собой несколько выборок, чтобы установить, являются ли выборки независимыми или принадлежат одной и той же совокупности. Так, проведя эксперименты в восьмых классах двух раз­личных школ, психолог сравнивает эти выборки между собой.

К этому же типу относятся задачи с определением тесноты связи двух рядов показателей, полученных на одной и той же выборке; в такой обработке чаще всего применяют метод корреляций.

Третий тип задач — это задачи, в которых обработке подлежат временные ряды, в них расположены показатели, меняющиеся во времени; их называют также динамическими рядами. В предшест­вующих типах задач фактор времени не принимался во внимание и ма­териал анализировался так, как будто он весь поступил в руки иссле­дователя в одно и то же время. Такое допущение можно оправдать тем, что за тот короткий период времени, который был затрачен на собира­ние материала, он не потерпел существенных изменений. Но психологу приходится работать и с таким материалом, в котором наибольший ин­терес представляют как раз его изменения во времени. Допустим, пси­холог намерен изучить изменение работоспособности школьников в те­чение учебной четверти. В этом случае информативными будут показа­тели, по которым можно судить о динамике работоспособности. Берясь за такой материал, психолог должен понимать, что при анализе дина­мических рядов нет смысла пользоваться средним арифметическим ря­да, так как оно замаскирует нужную информацию о динамике.

В предыдущих главах упоминалось о лонгитюдинальном исследо­вании, т.е. таком, в котором однообразный по содержанию психоло­гический материал по одной выборке собирается в течение дли­тельного времени. Показатели лонгитюда — это также динамиче­ские ряды, и при их обработке следует пользоваться методами, предназначенными для таких рядов.

Четвертый тип задач — задачи, возникающие перед психоло­гом, занимающимся конструированием диагностических методик, проверкой и обработкой результатов их применения. Отчасти об этих задачах уже говорилось в других главах, но не уделялось вни­мания специально статистике. Психологическая диагностика, в осо­бенности тестология, имеет целый ряд канонических правил, при­менение которых должно обеспечивать высокое качество информа­ции, получаемой посредством диагностических методик. Так, мето­дика должна быть надежной, гомогенной, валидной. По упрочив­шимся в тестологии правилам, все эти свойства проверяются стати­стическими методами.

Здесь уместно высказать некоторые соображения о возможностях статистики в проведении психологического исследования.

Статистика как таковая не создает новой научной информации. Эта информация либо содержится, либо не содержится (к сожале­нию, и так бывает) в полученных исследователем материалах. На­значение статистики состоит в том, чтобы извлечь из этих материа­лов больше полезной информации. Вместе с тем статистика показы­вает, что эта информация не случайна и что добытые данные имеют определенную и значимую вероятность.

Статистические методы раскрывают связи между изучаемыми явле­ниями. Однако необходимо твердо знать, что как бы ни была высока вероятность таких связей, они не дают права исследователю признать их причинно-следственными отношениями. Статистика, как о ней пи­шут известные английские ученые Д.Э. Юл и М.Дж. Кендэл (Теория статистики. М., 1960. С. 18—19.), «вынуждена принимать к анали­зу данные, подверженные влиянию множества причин». Статистика, например, утверждает, что существует значимая связь между дви­гательной скоростью и игрой в теннис. Но отсюда еще не вытекает, будто двигательная скорость и есть причина успешной игры. Нель­зя, по крайней мере в некоторых случаях, исключить и того, что сама двигательная скорость явилась следствием успешной игры.

Чтобы подтвердить или отвергнуть существование причинно-следственных отношений, исследователю зачастую приходится про­думывать целые серии экспериментов. Если они будут правильно построены и проведены, то статистика поможет извлечь из резуль­татов этих экспериментов информацию, которая необходима иссле­дователю, чтобы либо обосновать и подтвердить свою гипотезу, ли­бо признать ее недоказанной.

Вот что нужно знать при использовании статистики.

Итак, были перечислены типы задач, с которыми чаще всего встречаются психологи. Теперь перейдем к изложе­нию конкретных статистических методов, которые способ­ствуют успешному решению перечисленных задач.

Первый тип задач. Статистические методы, примеры их при­менения для принятия решения.

Допустим, школьному психологу нужно представить краткую ин­формацию о развитии психомоторных функций учащихся 6-х классов, в которых обучается 50 учеников. В процессе выполнения своей про­граммы психолог провел диагностическое изучение двигательной ско­рости, применив методику, которая была описана выше (С. 240).

Для реализации своей программы психологу надлежало получить количественные характеристики, свидетельствующие о состоянии изучаемой функции — ее центральной тенденции, величины, пока­зывающей размах- колебаний, в пределах которого находятся все данные отдельных учеников, и то, как распределяются эти данные.

Какими методами вести обработку — параметрическими или непара­метрическими? Визуальное ознакомление с полученными данными по­казывает, что возможно применение параметрического метода, т.е. бу­дут вычислены среднее арифметическое, выражающее центральную тенденцию, и среднее квадратическое отклонение, показывающее раз­мах и особенности варьирования экспериментальных результатов.

Нельзя ограничиться вычислением только среднего арифметиче­ского, так как оно не дает полных сведений об изучаемой выборке. Вот пример. В одном купе вагона поместилась бабушка 60 лет с че­тырьмя внуками: 4 лет, двое по 5 и 6 лет. Среднее арифметическое возраста всех пассажиров этого купе 80/5 = 16.

В другом, купе расположилась компания молодежи: двое 15-летних, 16-летний и двое 17-летних. Средний возраст пассажиров этого купе также равен 16. Таким образом, по средним арифмети­ческим пассажиры этих купе как бы и не различаются. Но если об­ратиться к особенностям варьирования, то сразу можно установить, что в одном купе возраст пассажиров варьирует в пределах 56 еди­ниц, а во втором — в пределах 2.

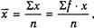
Для вычисления среднего арифметического применяется формула:

а для среднего квадратического отклонения формула:

В этих формулах х означает среднее арифметическое, х — каж­дую величину изучаемого ряда, Z — сумму; s — среднее квадрати­ческое отклонение; п — число членов изучаемого ряда.

Вернемся к опыту с проверкой двигательной скорости учащихся (С. 244).

В опытах участвовали 50 испытуемых. Каждый из них выполнил по 25 проб, по 1 минуте каждая. Вычислена средняя каждого испы­туемого. Полученный ряд упорядочен и все индивидуальные резуль­таты представлены в последовательности от меньшего к большему:

85— 93— 93— 99— 101—105—109—110—111—115—

115— 116— 116— 117— 117— 117— 118— 119— 121 —121 —

122 — 124 — 124 — 124 — 124 — 125 — 125 — 125 — 127 —127 —

127 — 127 — 127 — 128 — 130 — 131 — 132 — 132 — 133 — 134 —

134 — 135 — 138 — 138 — 140 — 143 — 144 — 146 — 150 — 158

Для дальнейшей обработки удобнее эти первичные данные со­единить в группы, тогда отчетливее выступает присущее данному ряду распределение величин и их численностей. Отчасти упрощается и вычисление среднего арифметического и среднего квадратического отклонения. Этим искупается несущественное искажение/ информации, неизбежное при вычислениях на сгруппированные данных.

При выборе группового интервала следует принять во внимание такие соображения. Если ряд не очень велик, например содержит до 100 элементов, то и число групп не должно быть очень велико, например порядка 10—12. Желательно, чтобы при группировании начальная величина — при соблюдении последовательности от меньшей величины к большей — была меньше самой меньшей ве­личины ряда, а самая большая — больше самой большой величины изучаемого ряда. Если ряд, как в данном случае, начинается с 85, группирование нужно начать с меньшей величины, а поскольку ряд за­вершается числом 158, то и группирование должно завершаться большей величиной. В ряду, который нами изучается, с учетом высказанных со­ображений можно выбрать групповой интервал в 9 единиц и произвести разбиение ряда на группы, начав с 83. Тогда последняя группа будет за­вершаться величиной, превышающей значение последней величины ряда (т.е. 158). Число групп будет равно 9 (табл. 1).

Вычисление среднего арифметического и среднего квадратическо-го отклонения.

Таблица 1

Группы Средние значе­ния Резуль­тат раз­носки Итоги разнос­ки f•x x – x (х - x )2 f •( x -х)2
83—91 87 / 1 87 36 1296 1296
92—100 96 u 3 288 27 729 2187
101—109 105 LJ 3 315 18 324 972
110—118 114 QQ 10 1140 9 81 810
119—127 123 1300/ 16 1968 0 0 0
128—136 132 Ш 9 1188 9 81 729
137—145 141 Я 5 705 18 324 1620
146—154 150 L 2 300 27 729 1458
155—163 159 / 1 159 36 1296 1296

n = 50

Σf x = 6150 Σf •( x -х)2 = =10368

1-й столбец — группы, полученные после разбиения изучаемого ряда.

2-й столбец — средние значения каждой группы; этот столбец показывает, в каком диапазоне варьируют величины изучаемого ря­да, т.е. х.

3-й столбец показывает результаты «ручной» разноски величин ряда или иксов: каждая величина занесена в соответствующую ее значению группу в виде черточки.

4-й столбец — это итог подсчета результатов разноски.

5-й столбец показывает, сколько раз встречалась каждая величи­на ряда — это произведение величин второго столбца на величины 4-го столбца по строчкам. Итоги 4-го и 5-го столбцов дают суммы, необходимые для вычисления среднего арифметического.

6-й столбец показывает разность среднего арифметического и значения x по каждой группе.

7-й столбец — квадрат этих разностей.

8-й столбец показывает, сколько раз встречался каждый квадрат разности; суммирование величин этого столбца дает итог, необхо­димый для вычисления среднего квадратического отклонения.

В заголовках 5-го и 8-го столбцов указывается, насколько часто встречается та или другая величина. Частота обозначается буквой f (от английского слова frequency).

Включение буквы f , означающей, насколько часто встречалась та или другая величина, ничего не изменяет в формулах среднего арифметического и среднего квадратического отклонения.

Поэтому формулы

вполне тождественны.

Рис.2

Остается показать, как вы­числяются по формулам сред­нее арифметическое и среднее квадратическое отклонение. Обратимся к величинам, полу­ченным в таблице:

x = 6150 : 50 = 123. При составлении таблицы это число было заранее вычислено, без него нельзя было бы полу­чить числовые значения 6, 7, 8-го столбцов таблицы.

При обработке изучаемого ряда оказалось возможным примене­ние параметрического метода, так как визуально в этом ряду рас­пределение численностей приближается к нормальному. Это под­тверждается и графиком (рис. 2, с. 251).

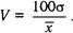
Нормальное распределение обладает некоторыми весьма полезными для исследователя свойствами. Так, в границах x ± s находится при­мерно 68% всего ряда или всей выборки, в границах х ± 2s — пример­но 95%, а в границах x ± 3s — 97,7% выборки. В практике иссле­дований часто берут границы — x ±2/3s. В этих границах при нор­мальном распределении будут находиться 50% выборки; распреде­ление это симметрично, поэтому 25% окажутся ниже, а 25% выше границ x ±2/3s. Все эти расчеты не требуют никакой дополни­тельной проверки при условии, что изучаемый ряд имеет нор­мальное распределение, а число элементов в нем велико, поряд­ка нескольких сотен или тысяч. Для рядов, которые распределе­ны нормально или имеют распределение, мало отличающееся от нормального, вычисляется коэффициент вариации по такой фор­муле:

В примере, который был рассмотрен выше,

V = (100-14,4)/123 = 11,7.

Выполнив все эти вычисления, психолог может представить инфор­мацию об изучении двигательной скорости с помощью примененной методики в 6-х классах. Согласно результатам изучения в 6-х классах получены: среднее арифметическое — 123; среднее квадратическое от­клонение — 14,4; коэффициент вариативности — 11,7.

Непараметрические методы. Ранжирование, медиана, квартиль. Далеко не все материалы, получаемые в психологиче­ских исследованиях, подлежат обработке параметрическими мето­дами. Если после ознакомления с изучаемым рядом исследователь убеждается в том, что этот ряд не имеет свойств нормального рас­пределения, ему остается перейти на методы непараметрической статистики. С их помощью могут быть получены и центральная тенденция изучаемого ряда — медиана — и величина, позволяющая судить о диапазоне варьирования и о строении изучаемого ряда — квартильное отклонение.

Вот пример. После диагностических испытаний уровня умствен­ного развития учеников 6-го класса полученные данные были упо­рядочены, т.е. расположены в последовательности от меньшей ве­личины к большей. Испытания проходили 18 учащихся (табл. 2).

Таблица 2

Учащиеся Баллы Ранги (R ) Учащиеся Баллы Ранги (R )
А 25 1 К 68 10
Б 28 2 Л 69 11,5
В 39 4 М 69 11,5
Г 39 4 Н 70 14,5
Д 39 4 О 70 14,5
Е 45 6 П 70 14,5
Ж 50 7 Р 70 14,5
3 52 8,5 С 74 17,5
И 52 8,5 Т 74 17,5

Примечание. Буквами обозначены учащиеся, числами — полученные ими баллы по тесту.

Процедура ранжирования состоит в следующем. Все числа ряда в их последовательности получают по своим. порядковым местам присваи­ваемые им ранги. Если какие-нибудь числа повторяются, то всем по­вторяющимся числам присваивается один и тот же ранг — средний из общей суммы занятых ими ранговых мест. Так, числу 28 в изучаемом ряду присвоен ранг 2. Затем следуют трижды повторяющиеся числа 39. На них приходятся занятые ими ранговые места 3, 4, 5. Поэтому этим числам присваивается один и тот же средний ранг, в дан­ном случае — 4. Поскольку места до 5-го включительно заняты, то следующее число получает ранг 6 и т.д.

При обработке ряда, не имеющего признаков нормального рас­пределения — непараметрического ряда, — для величины, которая выражала бы его центральную тенденцию, более всего пригодна ме­диана, т.е. величина, расположенная в середине ряда. Ее определя­ют по срединному рангу по формуле Me = (п + 1)/2, где Me оз­начает медиану, п — как в ранее приводившихся формулах — число членов ряда. При нечетном числе членов ряда ранговая медиана — целое число, при нечетном число — с 0,5. Заметим, что числовое значение медианы может и не быть в составе самого обрабатывае­мого ряда.

Возьмем к примеру ряд в семь членов: 3—5—6—7—9—10—11.

Проранжировав его, имеем: 1—2—3—4—5—6—7.

Ранговая медиана в таком ряду равна: Me = (7 + 1)/2 = 4, этот ранг приходится на величину 7.

Возьмем ряд в восемь членов: 3—5—6—7—9—10—11—12.

Проранжировав его, имеем: 1—2—3—4—5—6—7—8.

Ранговая медиана в этом ряду равна: Me = (8 + 1)/2 = 4,5.

Этому рангу соответствует середина между двумя величинами, имеющими ранг 4 и ранг 5, т.е. между 7 и 9. Медиана этого ряда равна: Me = (7 + 9)/2 = 8.

Следует обратить внимание на то, что величины 8 в составе ряда нет, но таково значение медианы этого ряда.

Вернемся к изучаемому ряду. Он состоит из 18 членов. Его ран­говая медиана равна: Me = (18 + 1)/2 = 9,5.

Она расположится между 9-й и 10-й величиной ряда. 9-я величи­на — 52, 10-я — 68. Медиана занимает срединное место между ними, следовательно, Me = (52 + 68)/2 = 60.

По обе стороны от этой величины находится по 50% величин ряда.

Характеристику распределения численностей в непараметриче­ском ряду можно получить из отношения его квартилей. Квартилью называется величина, отграничивающая 1/4 всех величин ряда. Квартиль первая — ее обозначение Q 1 вычисляется по формуле:

Это полусумма первого и последнего рангов первой — левой от медианы половины ряда;

квартиль третья, обозначаемая Q 3 вычисляется по формуле:

т.е. как полусумма первого и последнего рангов второй, правой от ме­дианы, половины ряда. Берутся порядковые значения рангов по их по­следовательности в ряду. В обрабатываемом ряду Q 1 = (1+9)/2 = 5, Q 3 = (10 + 18)/2 = 14.

Рангу 5 в этом ряду соответствует величина 39, а рангу 14 — 70. Следовательно, в данном ряду Q 1 = 39, а Q 3 = 70.

Для характеристики распределения в непараметрическом ряду вычисляется среднее квартильное отклонение, обозначаемое Q . Формула для Q такова: Q = (Q 3 - Q 1 )/2. Для обрабатываемого ряда Q = (70 - 39)/2 = 15,5. Были рассмотрены статистическая обработка параметрического ряда (x и s), статистическая обработка непараметрического ряда ( M е и Q ). Параметрический ряд относится к шкале интервалов, не­параметрический — к шкале порядка. Но встречаются также ряды, относящиеся к шкале наименований. Наиболее краткая характери­стика такого ряда может быть получена с помощью моды, величи­ны, которая выражает наивысшее числовое значение величин дан­ного ряда, при п — числе членов ряда. Следует заметить, что моду можно лишь условно считать выражением центральной тенденции в ряду, относящемуся к шкале наименований. Она выражает наибо­лее типичную величину ряда.

Рассмотрим подробнее пример, приведенный выше (С. 242). Там речь шла об участниках некой конференции; в их числе были 3 англичанина, 2 датчанина, 5 немцев, 3 русских и 1 француз. Мода в данном ряду приходится на участников конференции — немцев. Число членов ряда равно — 13, а мода — Mo = 5.

Итак, мы рассмотрели статистические методы, применяющиеся для задач первого типа.

Второй тип задач. Психологу в его повседневной практической и исследовательской работе приходится искать ответы на различные вопросы. Предположим, что проведены диагностические испытания умственного развития у школьников шестых классов городской и сельской школ: можно ли в дальнейшем рассматривать обе школь­ные выборки как принадлежащие одной совокупности? По поводу неодинаковых условий обучения в городской и сельской школах вы­сказано немало противоречивых суждений. Психолог в данном слу­чае намерен опираться на экспериментальные факты. Чтобы прийти к какому-то решению, целесообразно проанализировать полученный экспериментальный материал. Это достаточно часто встречающаяся задача, встречаются и такие, где приходится решать тот же вопрос относительно нескольких, а не двух выборок. Это и есть задачи второго типа.

Перед психологом два ряда численностей. Прежде всего нужно установить, на какие статистические методы опираться — на пара­метрические или непараметрические? Применять параметрические методы следует в том случае, если оба ряда имеют распределение, не отличающееся от нормального. Если же один из рядов не соот­ветствует этому требованию, то применение параметрических мето­дов противопоказано.

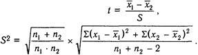
Положим, оба ряда показывают распределение, допускающее применение параметрических методов. Сравнение величин цен­тральных тенденций — в данном случае их представляют средние арифметические — не даст ответа на вопрос о том, относятся ли выборки к одной совокупности. Почти безошибочно можно утвер­ждать, что средние арифметические не будут тождественными, но этого явно недостаточно для ответа на поставленный вопрос, ответ не был бы получен, даже если бы средние арифметические оказа­лись равными. Для данного случая более всего подходит сравнение выборок по критерию t Стьюдента.

Перед тем как ознакомиться с техникой вычислений и интерпре­таций результатов, получаемых при работе с критерием t Стьюден­та, необходимо остановиться на некоторых статистических терми­нах; они постоянно встречаются в прикладной статистике.

В том разделе статистики, где заходит речь о проверке гипотез, постоянно приходится иметь дело с нуль-гипотезой, или нулевой гипотезой. При сравнении двух выборок нуль-гипотеза формулиру­ется следующим образом: между изучаемыми выборками нет разли­чия или, иначе, различие между ними несущественно. Все даль­нейшие расчеты направлены на то, чтобы прийти к заключению верна ли нуль-гипотеза или от нее нужно отказаться, и в действи­тельности существенная разница между выборками имеется. В дру­гих случаях в зависимости от содержания материала меняются формулировки, но вычисления показывают, какова вероятность нуль-гипотезы. Для обозначения нуль-гипотезы используется символ h 0 .

Допустим, что разница между выборками имеется. Исследователь встает перед вопросом, насколько существенна эта разница, как часто будет обнаруживаться она в последующем, когда придется работать с подобными же выборками. Самые общие соображения при этом таковы: если разница получена на небольшом материале (числе случаев, охваченных той или другой выборкой), то при по­вторном изучении таких же выборок разницу, возможно, найти и не удастся. Другое дело, если изучаемые выборки не малы. Далее важно, оказалась ли обнаруженная разница значительной. Это рас­суждение и следует иметь в виду, когда в статистике речь идет об уровне значимости полученного коэффициента, параметра и пр. Уровни значимости представлены в специальных таблицах, которые обычно даются в учебниках статистики, есть такие таблицы и в конце этой главы. Какой уровень значимости можно признать удов­летворительным? В психологии и педагогике минимально допусти­мым для отказа от Н0 уровнем значимости признается 0,95. Это значит, что расчеты, основанные на математической теории вероят­ности, дают основание утверждать, что при проведении таких же исследований, по крайней мере в 95% случаев, будет получен та­кой же результат, возможно, лишь с несущественными отклонения­ми. В некоторых работах удается получить и более высокие уровни значимости — 0,990 и даже 0,999 (эти же уровни значимости мож­но записать: 0,05; 0,01; 0,001. Записывая уровень 0,95, имеют в ви­ду, что полученные параметры повторяются в 95% случаев, а запи­сывая 0,05, что в 5% случаев они не повторятся; смысл в том и другом случае один и тот же).

А если не получен уровень значимости 0,95? Тогда нужно при­знать, что нуль-гипотезу не следует отвергать. Впрочем, иногда, по задачам исследования признается достаточным и более низкий уро­вень. В некоторых исследованиях цель состоит в том, чтобы прийти к утверждению нуль-гипотезы.

Обращаясь к таблицам уровней значимости, исследователь обна­руживает во многих из них специальный столбец с указанием сте­пеней свободы, относящихся к полученному параметру или коэф­фициенту. Уровень значимости прямо зависит от того, каким чис­лом степеней свободы обладает данный коэффициент или параметр. Число независимых величин, участвующих в образовании того или другого параметра, называется числом степеней свободы этого па­раметра. Оно равно общему числу величин, по которым вычисляет­ся параметр, минус число условий, связывающих эти величины (Урбах В.Ю. Указ. соч. С. 161). Число степеней свободы и способы его определения всегда даются в окончательных формулах, которы­ми пользуется исследователь при статистической обработке своих материалов.

Рассмотрим пример с двумя выборками, которые, по мнению ис­следователя, можно рассматривать как подлежащие обработке па­раметрическим методом.

Двум группам шестиклассников по 6 человек было дано задание бросать мяч в корзину. Группы обучались по разным программам. Можно ли считать, что разница в программах сказалась на конеч­ной результативности школьников? Для сравнения было взято чис­ло попаданий в корзину. Всего было дано по 10 проб.

Формула вычисления t :

где


Материал, подлежащий обработке:

первая выборка, п = 6


Исп. х x - x (x - x)2
А 2 -1 1
Б 4 1 1
В 6 3 9
Г 4 1 1
Д 1 -2 4
Е 1 -2 4

вторая выборка, п = 6

Исп. х x - x (x - x)2
Ж 5
3 4 -1 1
И 2 -3 9
К 8 3 9
Л 6 1 1
М 5


Ход вычислений показывает:


fd (число степеней свободы) =n1 -n2 -2=6+6-2= 10. По таблице уровней значимости t Стьюдента находим t 0,95 = 2,223. Существенность различия не доказана, хотя полученное значение t = 1,9 очень близко к требуемому уровню. Принимается Но . Нель­зя утверждать, что выборки существенно различаются.

Для вычисления t существует несколько формул, различающихся только техникой расчетов.

Сравниваемые выборки могут быть неодинаковыми по объему. Применять параметрические методы можно лишь к материалу, об­ладающему определенными свойствами, о которых говорилось ра­нее. В других случаях следует обращаться к непараметрическим методам.

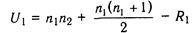
Ниже будет рассмотрена техника применения критерия Манна— Уитни, непараметрического метода, часто используемого в психоло­гических исследованиях.

Предположим, что психологу нужно решить такую задачу. Есть ли различия между выборками школьников одного и того же клас­са, если одна выборка включает школьников, которые после кон­трольной работы проходили дополнительное обучение по коррекционным программам, другая — школьников, такого обучения не про­ходивших? Обе выборки малы, поэтому для проверки гипотез о су­ществовании различий между выборками следует взять мощный критерий. Мощность критерия — это вероятность принятия при его применении правильного решения для отклонения ho ; чем выше эта вероятность, тем больше мощность критерия. Мощность любого критерия увеличивается вместе с увеличением объема сравниваемых выборок, а также со снижением того уровня зна­чимости, на который ориентируется исследователь. Другими словами, если выборки велики, то принятие правильного реше­ния относительно ho увеличивается. Ориентация на высокий уровень значимости, например 0,990 или 0,999, предполагает применение достаточно мощного критерия. В рассматриваемом примере выборки малы, а при установлении существенной раз­ницы между ними, т.е. при отказе от ho желательно, чтобы уро­вень значимости был как можно выше, но не ниже 0,95.

Формула вычисления критерия Манна—Уитни такова:


или:


В примере сравнению подлежат результаты контрольной работы выборки A из 4 школьников, проходивших обучение по коррекционным программам, и выборки Б, состоящей из 7 школьников, никако­го коррекционного обучения не проходивших. Последовательность действий, предусматриваемых вычислением всех нужных для реше­ния задачи величин, такова.

1. Выписать в любом порядке число успешно решенных заданий школьниками сначала выборки А, затем выборки Б.

2. Проранжировать число успешно решенных заданий, объединив обе выборки.

3. Найти сумму рангов выборок А и Б раздельно.

Эти три действия дадут все необходимые для вычисления крите­рия данные.

Для проверки расчетов вычисляется:

R A + R B = N /2(1 + N ); т.е. 37 + 29 = 11/2(1 + 11), т.е. 66 = 66.

Имея величины U 1 и U 2 , следует обратиться к таблице уровня значимости. На совмещение строки четвертой со столбцом седьмым находим 3/25. По условиям таблицы, U 1 должно быть меньше верх­ней, aU 2 больше нижней величины. Полученные величины по­казывают, что h o отвергается. Можно утверждать, что между вы­борками имеется существенное различие: результаты свидетельст­вуют о преимуществе выборки A .

Попарное сравнение. В предыдущем материале исследователь имел дело с двумя выборками. В обработку они поступают как два ряда чисел; каждый ряд есть результат экспериментов, проведенных с данной выборкой. Однако часто приходится встречаться с мате­риалом, в котором даны два числовых ряда, но оба они получены на одной выборке; сюда относятся исследования, когда эксперименты проводятся до и после какого-то специального воздействия. Цель такого исследования состоит в том, чтобы установить, есть ли дос­таточно существенные изменения и можно ли утверждать, что спе­циальное воздействие имело существенное значение.

Например, психологу было предложено ответить на такой вопрос:

влияют ли занятия физкультурой на общее самочувствие занимаю­щихся школьников? Исследование он построил так: школьников просили отмечать на линейной шкале свое самочувствие до занятий физкультурой и после них.

Статистической обработке подлежат попарные сравнения показа­ния одного и того же испытуемого до и после воздействия:

до воздействия после него разность рядов «до» и «после»
х х2
3,2 3,8 +0,6 0,36
1,6 1,0 -0,6 0,36
5,7 8,4 +2,7 7,29
2,8 3,6 +0,8 0,64
5,5 5,0 -0,5 0,25
1,2 3,5 +2,3 5,29
6,1 7,3 +1,2 1,44
2,9 4,8 +1,9 3,61
åx = 8,4; åx2 = 19,24
(åx)2 = 70,56

Нуль-гипотеза формулируется так: сравнение рядов до и после воздействия не дает оснований утверждать, что по измеряемому признаку произошли существенные изменения.

Выборка, подвергнутая изучению, состояла из 8 человек. Начнем с параметрического метода. Будет применен критерий t Стьюдента, его формула для попарного сравнения такова:

Нужно вычислить все величины, входящие в эту формулу. Для получения S используется формула:

Извлекая корень из полученной величины, узнаем значение S. Остается произвести по формуле все вычисления.

Ниже приводятся ряды, полученные в эксперименте (числа заимст­вованы из кн.: Бейли Н. Статистические методы в биологии. М., 1964).

При вычислении t при попарном сравнении число степеней сво­боды равно п -1. По таблице уровней значимости для t находим, что для 7 степеней свободы t 0,95 должно быть не менее 2,36. По­скольку получена большая величина, следует признать, что налицо статистически значимое влияние занятий физкультурой на самочув­ствие школьников.

Из непараметрических методов для попарного сравнения удобен для пользования критерий Уилкоксона, правда, на небольших вы­борках этот критерий оказывается недостаточно мощным; его лучше применять на выборках объемом от 12 и более элементов.

Небольшие по объему выборки, однако, удобны для наглядного последовательного изложения техники расчетов.

Для использования этого критерия (его называют также знаково-ранговым) следует проранжировать, сначала не обращая внимания на знаки, весь перечень разностей между рядами «до» и «после». Если разность у отдельных испытуемых и в отдельных случаях ну­левая, то она из ранжирования исключается и не входит в сумму рангов. В этом примере таких разностей (равных нулю) не встреча­ется.

Далее нужно суммировать раздельно ранги разностей с положи­тельным знаком и ранги разностей с отрицательным знаком. Значе­ние критерия Т равно меньшей по абсолютной величине сумме рангов.

В этом примере Т = 3,5.

Ряд разнос­тей +0,6 -0,6 +2,7 +0,8 -0,5 +2,3 +1,2 +1,9
Ранги 2,5 (2.5) 8 4 (1) 7 5 6

Скобками указаны ранги разностей с отрицательными значениями. Но прежде чем отыскивать уровень значимости Т, нужно обра­тить внимание на то, что в данном случае критерий Уилкоксона — это двусторонний критерий. Как это понимать? Различают односто­ронние и двусторонние критерии. Отвергая нуль-гипотезу, выдвигают альтернативную ей гипотезу. При этом возникает вопрос: в ка­кую сторону направлено отличие альтернативной гипотезы от H o в положительную или отрицательную. Если исследование предпола­гает равно возможными и ту, и другую направленности, следует принять двусторонний критерий. Возможна вместе с тем такая по­становка исследования, когда учитывается лишь одна направлен­ность результатов. Так, сравнивая две выборки учащихся по освое­нии ими научных химических понятий, исследователь ставит огра­ниченную задачу — рассмотреть только возможность преобладания в этом освоении одной выборки над другой. В этом исследовании применим односторонний критерий.

При описании статистических методов всегда указывается, какого рода критерий подлежит применению — односторонний или двусто­ронний. В таблицах уровней значимости обычно значения для односто­роннего и для двустороннего критериев даются либо в особых столб­цах, либо в таблице указывается, какому значению одностороннего критерия соответствует значение двустороннего, и наоборот.

Возвращаясь к рассматриваемому примеру, следует признать, что для него при обработке с помощью критерия Уилкоксона применим двусторонний критерий: различия между показателями «до» и «пос­ле» в одних строках положительные, в других отрицательные, учи­тываются те и другие.

В таблице уровней значимости для критерия Т, имея в виду, что критерий двусторонний, находим, что для 0,95 уровня значение Т должно быть не более 3. Поскольку получено значение Т = 3,5, h o не следует отклонять.

Следовательно, критерий t Стьюдента свидетельствует о том, что H o подлежит отклонению, а T -критерий Уилкоксона свидетель­ствует о том, что нуль-гипотезу отвергать не следует. Такого ро­да расхождения, особенно при работе с небольшими выборками, вполне возможны. То, что критерий Уилкоксона Т всего на 0,5 превысил установленный уровень значимости, говорит о том, что при увеличении объема выборки в 1,5 или в 2 раза критерий Т также окажется значимым. В параграфе, где пойдет речь о пла­нировании эксперимента, еще предстоит рассмотреть вопрос об объеме выборок.

Сравнение нескольких выборок по Уилкоксону. Иногда ис­следователю приходится сравнивать не две, а несколько выборок:

три, четыре и более. В таких случаях следует обратиться к просто­му и достаточно мощному непараметрическому критерию, пред­ставляющему собой модификацию критерия Уилкоксона. Метод позволяет сравнивать выборку с любой другой — вторую с третьей, первую с четвертой и т.д. Нужно, чтобы выборки были равными по численности.

Допустим, что учащимся 8-х классов четырех различных школ был предложен тест умственного развития. В школах использова­лись различные методы обучения и воспитания. Умственное разви­тие, как можно полагать, формировалось в каждой выборке в осо­бых условиях. Эти условия и могли определить различия между выборками. Взято по 10 учеников из каждой школы. Их результаты и даны в таблице (табл. 3).

Таблица 3

Школа I Школа II Школа III Школа IV
Резуль­тат Ранг ( R 1 ) Резуль­тат Ранг (R 2 ) Резуль­тат Ранг (R 3 ) Резуль­тат Ранг (R 4 )
1 96 36,5 96 36,5 32 9,5 40 15
2 82 30 100 39 27 3,5 38 14
3 80 28,5 93 34 68 23 42 18,5
4 78 25,5 87 33 78 25,5 32 9,5
5 34 11 100 39 54 21 31 8
6 42 18,5 28 5,5 56 22 28 5,5
7 42 18,5 80 28,5 83 31,5 42 18,5
8 69 24 94 35 22 1 30 7
9 79 27 25 2 41 16 36 13
10 100 39 83 31,5 27 3,5 35 12
åR 258 284,5 156,5 121

Объединим результаты четырех школ в один ряд и проранжируем его. Для этого расположим ряд в порядке его возрастания и перене­сем полученные ранги в таблицу (табл. 4).

Таблица 4

Резуль­тат Ранг Резуль­тат Ранг Резуль­тат Ранг Резуль­тат Ранг
22 1 34 11 54 21 83 31,5
25 2 35 12 56 22 83 31,5
27 3,5 36 13 68 23 87 33
27 3,5 38 14 69 24 93 34
28 5,5 40 15 78 25,5 94 35
28 5,5 41 16 78 25,5 96 36,5
30 7 42 18,5 79 27 96 36,5
31 8 42 18,5 80 28,5 100 39
32 9,5 42 18,5 80 28,5 100 39
32 9,5 42 18,5 82 30 100 39

Подсчитаем сумму рангов по каждой школе.

åR = 258 + 284,5 + 156,5 + 121 = 820.

Проверочная формула: åR = N /2( N + 1) = 820, где N — общее число элементов, включающее все выборки. В этом примере оно равно 40.


Школа I

åR = 258

Школа II

åR = 284,5

Школа III

åR = 156,5

Школа IV

åR = 121

Шк. I

åR = 258

26,5 101,5 137

Шк. II

åR = 284,5

26,5 156,5 163,5

Шк. III

åR = 156,5

101,5 156,5 35,5

Шк. IV

åR = 121

137 163,5 35,5

Далее суммы рангов по выборкам размещаются в матрице.

На пересечении строк и столбцов указываются разности, показы­вающие, насколько отличается сумма рангов каждой выборки от других выборок.

По таблице значимости устанавливается, что при n = 10 (учиты­вается объем отдельной выборки) и при четырех условиях достига­ют уровня значимости 0,95 — величина 134 и более, а уровня зна­чимости 0,99 — величина 163 и более. Следовательно, существен­ное статистически значимое различие имеется между 1-й и 4-й вы­борками и между 2-й и 4-й выборками; в последнем случае на уров­не значимости 0,99.

Корреляции. В примере, рассмотренном выше (С. 260), сравни­вались два ряда чисел, представляющие два ряда показателей одной и той же выборки; по смыслу задачи нужно было установить, суще­ственная ли разница между этими рядами. Это были ряды, взятые из ситуации «до» и «после». Есть, однако, и многочисленные ситуа­ции, когда исследователь заинтересован не в том, чтобы найти сте­пень существенности разницы между вариационными рядами, а в том, чтобы найти, насколько тесно эти ряды связаны между собой, какова направленность этой связи. Так, группе школьников были предложены два теста, задания которых были построены на мате­риале школьных дисциплин гуманитарного цикла — литературы и истории. Но в первом тесте для выполнения заданий требовалась актуализация умственного действия аналогии, а во втором — умст­венного действия классификации. Данные тестирования представ­лены в двух числовых рядах. Исследователю нужно ответить на во­прос, насколько тесно связаны эти два ряда. При строгой постанов­ке эксперимента это исследование должно было пролить свет на то, какую роль играют умственные действия, указанные выше, на ус­воение знаний в гуманитарном цикле.

Пример. Исследовалась выборка из 15 школьников. Для вычисления коэффициента корреляции, отражающего тесноту связи между двумя рядами, используются как параметрические, так и непараметрические методы.

До перехода к расчетам полезно рассмотреть любые корре­лируемые ряды в их размещении в корреляционной решетке. По оси абсцисс размещаются показатели одного, а по оси ординат — дру­гого ряда.

Теснота связи между рядами благодаря этой решетке становится легко обозримой. На рис. 3 схематически изображены различные виды соотношения коррелируемых рядов. Как видно, схемы отра­жают всего пять различных соотношений.


1.Положи­тельная связь

2. Слабая по­ложительная связь

3. Отсутствие связи

4. Отрицатель­ная связь

5. Нели­нейная за­висимость


Рис. 3

На схемах можно усмотреть как тесноту связи, так и ее направлен­ность. Схема 3 демонстрирует полное отсутствие связи между рядами; на схеме 5 показана нелинейная связь между рядами, та ее форма, ко­торая показана на этой схеме лишь одна из возможных.

Коэффициент корреляции принимает значение от -1 (схема 4) до +1 (схема 1). В этих пределах возможны все числовые значения коэф­фициента корреляции. Если никакой связи между рядами не суще­ствует, то коэффициент равен 0 (схема 3). В подавляющем боль­шинстве случаев коэффициент составляет величину, не достигаю­щую 1. При положительной корреляции при увеличении числовых значений одного ряда соответственно увеличиваются числовые зна­чения другого ряда. При отрицательной корреляции увеличению чи­словых значений одного ряда соответствует уменьшение числовых значений другого ряда.

Если исследователь убежден в том, что оба коррелируемых ряда можно рассматривать как ряды параметрические, то для вычисле­ния коэффициента корреляции применяется параметрический метод по формуле Пирсона:

Существует много различных видов этой формулы, представляю­щих собой ее преобразования. Исследователь сам выбирает удоб­ную для себя формулу. Об уровне значимости коэффициента корре­ляции судят по табл. 5, причем для г число степеней свободы fd = п - 2, где п — объем выборки.

Вычисление коэффициента корреляции по Пирсону. Ко­эффициент показывает тесноту связи между выполнением задач в тестах «Аналогии» и «Классификации». Данные по тесту «Аналогии» обозначены х, а по тесту «Классификации» — у.

Для упрощения расчетов введены некоторые тождества.

Испытуемые х y х2 y2 ху
А 1 3 1 9 3
Б 2 4 4 16 8
В 3 5 9 25 15
Г 3 6 9 36 18
Д 4 6 16 36 24
Е 4 7 16 49 28
Ж 4 7 16 49 28
3 5 8 25 64 40
И 5 8 25 64 40
К 6 8 36 64 48
Л 6 8 36 64 48
М 7 9 49 81 63
Н 8 9 64 81 72
О 9 10 81 100 90
П 10 11 100 121 110
n = 15 77 109 487 859 635

Число степеней свободы fd = п - 2 = 15 - 2 = 13. По таблице уровней значимости находим, что при 13 степенях свободы r 0,999 = = 0,760. Сравниваем это значение с полученным коэффициентом:

0,76 < 0,96.

Полученный коэффициент корреляции показывает, что между ре­зультатами в тестах «Аналогии» и «Классификации» имеется связь. Высокий уровень значимости свидетельствует о том, что эта связь с высокой вероятностью будет воспроизводиться в таких же экспери­ментах.

Вычисление коэффициента корреляции по Спирмену (коэффициент ранговой корреляции).

Исследовательское задание указано на с. 266. Формула ранговой корреляции такова:

где d разность рангов ряда х и ряда у т.е. ( Rx - Ry ).

Таблица 6
Испыту­емые х Rx y Ry dRx Ry R2 dRxR y
А 1 1 3 1 0 0
Б 2 2 4 2 0 0
В 3 3,5 5 3 0,5 0,25
Г 3 3,5 6 4,5 1 1
Д 4 6 6 4,5 1,5 2,25
Е 4 6 7 6,5 0,5 0,25
Ж 4 6 7 6,5 0,5 0,25
3 5 8,5 8 9,5 1 1
И 5 8,5 8 9,5 1 1
К 6 10,5 8 9,5 1 1
Л 6 10,5 8 9,5 1 1
М 7 12 9 12,5 0,5 0,25
Н 8 13 9 12,5 0,5 0,25
О 9 14 10 14 0 0
П 10 15 11 15 0 0

n = 15

n2 = 225

Σd2 RxRy = 8,5

fd = п - 2 = 15 - 2 = 13.

Производится раздельное ранжирование ряда х и ряда у. Вычис­ляется разность рангов d попарно. Знак разности не существенен, так как по формуле нужно возвести d в квадрат. Далее действия определяются формулой:

По таблице уровней значимости r > r0,99 (0,98 > 0,70).

Коэффициенты, вычисленные двумя разными способами, как и нужно было ожидать, чрезвычайно близки друг к другу; отличаются они на 0,02, что никакого значения практически не имеет.

Нельзя трактовать коэффициент корреляции как величину, озна­чающую процент взаимозависимых связей вариант двух коррели­руемых рядов, т.е. например, коэффициент 0,50 трактовать как 50% таких связей этих рядов. Это далеко не так. Об этом проценте во­обще по коэффициенту корреляции судить нельзя. Возведенный в квадрат коэффициент корреляции называется коэффициентом детерми­нации (r 2 или r2 ). Он показывает, сколько процентов вариант обоих рядов оказались взаимозависимыми. При коэффициенте 0,50 процент таких взаимозависимых вариант составит 0,502 , т.е. 0,25 ( Heinz A ., Ebner С. GrundlagenderStatistikfiirPsychologen, PadagogenundSoziologen. Berlin, 1967. S. 112). Для коэффициента 0,98 коэффици­ент детерминации составит 0,982 = 0,9604. Следовательно, взаимо­зависимы примерно 96% вариант обоих рядов.

Корреляция как метод статистического анализа в психологиче­ских исследованиях применяется очень часто. Всем, кто работает с применением корреляционного анализа, т.е. выясняет посредством этого метода тесноту связи двух рядов, следует напомнить, что ко­эффициент, как бы высок он ни был, нельзя интерпретировать как показатель наличия причинной связи между коррелируемыми ряда­ми. Если коэффициент и может быть как-то использован в обсуж­дении вопроса о возможных причинных связях, то только в том случае, когда содержательная логика исследования и выдвигаемые при этом теоретические соображения позволяют опереться как на один из аргументов и на значение коэффициента корреляции.

В изложении метода корреляции речь шла исключительно о ли­нейных корреляциях, которые изображены на схемах №1,2, 4. Но там же приведена схема криволинейной корреляции (№ 5). Вообще говоря, вероятно, и в психике человека протекают процессы, взаи­мосвязь которых не имеет линейного вида. Вычисление нелинейных корреляций и, главное их истолкование не относятся к простейшим статистическим методам, о которых говорится в этой главе. Но об их существовании следует знать.

Наконец, полезно напомнить, что корреляции по Пирсону (с оп­ределенными ограничениями и в определенных сочетаниях) создают ту базу, на которой открываются возможности перехода к так назы­ваемому факторному анализу. (Наиболее ясное изложение сути факторного анализа см.: Теплов Б.М. Типологические особенности в н.д. человека. М., 1967. Т. 5. С. 239).

Метод определения меры различия между наблюдаемыми и предполагаемыми (теоретическими) численностями — хи-квадрат.

Ранее были рассмотрены различные отношения между выборка­ми: количественное преобладание какого-то признака, представлен­ного в одной из выборок, теснота связи между выборками. Но есть еще одно важное отношение между ними: количественная разница распределений, благодаря которой при сопоставлении выборок от­крывается возможность прийти к содержательным выводам. Это от­ношение обнаруживается при сопоставлении распределений численностей. Допустим, что сравниваются две выборки, выпускников двух школ. Часть выпускников каждой школы сдавали экзамены в вузы. Из первой школы сдавали экзамены 100 человек, из них 82 успешно, не сдали 18. Таково распределение численности в первой выборке. Из второй школы сдавали экзамены в вузы 87 человек, выдержали 44 человека, не сдали — 43. Таково распределение численностей во второй выборке. Достаточно ли этих данных, чтобы утверждать, что подготовленность к вузовским экзаменам выпуск­ников этих школ неодинакова? На первый взгляд, разница налицо:

лучше подготовлены выпускники первой школы. Однако при таком раскладе численностей возможно влияние случайности. Поэтому встает вопрос, можно ли, считаясь с представленными распределе­ниями, прийти к статистически обоснованному выводу о мере под­готовленности к экзаменам в вузы той и другой выборки.

Метод, с помощью которого подвергаются статистическому ана­лизу описанные распределения численностей, получил название хи-квадрат, его обозначают греческой буквой x 2 с показателем степе­ни. Он был разработан математиком Пирсоном. Метод x 2 весьма универсален, применим во многих исследованиях, пригоден для ста­тистического анализа распределения численностей разнообразных количественных материалов, относящихся ко всем статистическим шкалам, в том числе и к шкале наименований.

Техника вычисления хи-квадрата довольно проста. Рассмотрим пример со сдачей экзаменов в вузы выпускниками первой и второй школ. В условии сказано, что всего намерены были сдавать экзаме­ны 187 человек: 100 учащихся (53,5%) из первой школы и 87 (46,5%) из второй. Предположим, что выпускники обеих школ под­готовлены одинаково, тогда и доли сдавших и не сдавших будут та­кие же, как доли их представленности в общем числе сдающих. Всего сдало экзамены 126 выпускников (82 + 44). Согласно выска­занному предположению, 53,5% от этого числа должны бы были прийтись на 1-ю школу — это составит 66,9 от 126 — и 46,5% на 2-ю школу, что составит 58,9 от 126. Такое же рассуждение повторяем и относительно несдавших. Их всего 61 человек (18 + 43). На 1-ю школу, как нам известно, должно, по предположению, прийтись 53,5% от этого числа, т.е. 33,0 от 61, а на долю 2-й школы — 46,5%, т.е. 28,1 от 61. Нуль-гипотеза, имеющая в данном раскладе тот смысл, что между выпускниками нет различия, при таком соот­ношении сдавших и несдавших подтвердилась бы. Однако в услови­ях этого исследования показано другое распределение. Количество выпускников 1-й школы, сдавших экзамены, составляет 82, а не 66,9, как можно было бы предположить, исходя из нуль-гипотезы. Соот­ветственно количество выпускников 2-й школы, сдавших экзамены, составляет в действительности всего 44, а не 58,9. Точно также, сравнивая количество несдавших (по условию с предполагаемым распределением) найдем по 1-й школе 18, а не 33, а по 2-й школе — 43, а не 28,1.

Расхождения между действительными распределениями и рас­пределениями, которые могли бы иметь место, если исходить из нуль-гипотез, налицо. Они-то и учитываются при вычислении x 2 . Все сказанное удобно представить в виде таблицы-графика распре­деления численностей (табл. 7). Количества, которые были бы по­лучены при принятии нуль-гипотезы, заключены в скобки. В правом углу буквенное обозначение клетки.

Таблица 7

Школа Число сдавших Число несдавших Всего Долевые отноше­ния, %
Первая

82 А

(66,9)

18 В

(33,0)

100

(100)

53,5
Вторая

44 С

(58,9)

43 Д

(28,1)

87

(87)

46,5
Всего 126 61 187 100

Получены разности по клеткам (знак разности несущественен). Клетки:

А fA = 82—66,9= 15,1;

В fB = 18 — 33 = 15,0;

С fC = 44 — 58,9 = 14,9;

Д fD = 43—28,1= 14,9. Формула хи-квадрат:

где f 0 — наблюдаемые численности; f e предполагаемые (теоре­тические) численности.

В рассмотренном материале x 2 = 15,12 /66,9 + 152 /33 + 14,92 /58,9 + 14,92 /28,1= 288/66,9 + 225/33 + 222/58,9 + 222/28,1= 3,4 + 6,8 + 3,8 + 7,9 = 21,9

Для получения числа степеней свободы нужно воспользоваться формулой (только для хи-квадрат): fd = ( k - 1)(с - 1) = (2 - 1) х (2 - 1) = 1 степень свободы, где k — число столбцов, с — число строк в таблице с анализируемым материалом.

Обратимся к таблице уровней значимости для одной степени свободы для хи-квадрат: x 2 0,99 = 6,6. Следовательно, полученная величина вполне достаточна для отклонения h 0 . Есть все основания для содержательного вывода о различной степени подготовленности выпускников обеих школ к экзаменам в вузы.

Все вычисления, приводимые в этой главе, ведутся с точно­стью до первого знака, т.е. вычисляются целые и десятые. Этим объясняется та, в общем-то, несущественная разница при вычис­лениях одной и той же величины разными способами. Никакого практического значения встречающиеся расхождения в величи­нах не имеют.

Полезно знать, что коэффициент хи-квадрат и коэффициент че­тырехпольной корреляции взаимосвязаны и, поскольку известна численность и распределение сопоставляемых выборок, указанные коэффициенты могут быть определены один через другой.

Как показывает само название этого метода, числовой материал, подлежащий статистическому анализу, может быть распределен в таблице-графике, имеющей четыре поля. Такое расположение мате­риала облегчает все последующие действия с ним. Чтобы рассмот­реть технику вычисления коэффициента четырехпольной корреля­ции — он обозначается символом j (фи), — можно воспользовать­ся тем примером, где речь шла о вычислении коэффициента x 2 . Вы­пускники двух школ сравнивались между собой по подготовленно­сти к вузовским экзаменам.

Школы Сдали Не сдали Всего
Первая 82 a 18 b 100 a + b
Вторая 44 c 43 d 87 c + d
Итого: 126 а + с 61 b + d 187

Заменив буквенные обозначения числами, получим:

Для получения коэффициента х 2 нужно воспользоваться форму­лой х 2 = j2 · n. В данном примере х 2 = 0,342 ·187 = 0,1156 · 187 = = 21,7. Этот же коэффициент х 2 вычислялся другим приемом. По­лучено значение 21,9. Расхождение вызвано разницей в технике вычислений.

Коэффициент четырехпольной корреляции j может принимать значения от 0 до 1, причем знак получаемого j не принимается во внимание.

Психологу, намеренному воспользоваться для статистического анализа своих материалов методом хи-квадрат, нужно знать о неко­торых обязательных требованиях этого метода; о них не упомина­лось в приведенных примерах. При вычислении коэффициента х 2 необходимо брать для анализа только абсолютные численности вы­борок, но не относительные, в частности, не проценты. Необходи­мость учитывать это свойство объясняется тем, что значение коэф­фициента х 2 зависит от абсолютных величин рассматриваемых рас­пределений. Так, сравнение выборок с численностями 60 и 40 даст совершенно не тот результат, что сравнение выборок с численно­стями 6 и 4, хотя процентное отношение распределений в обоих случаях одинаково (60 и 40%).

Далее, для вычисления коэффициента х 2 нужно, чтобы в каждой клетке таблицы-графика было не менее пяти наблюдений. Наконец, нужно со вниманием относиться к определению числа степеней свободы; неверное определение этого числа повлечет за собой не­верное определение уровня значимости коэффициента по таблице.

Этим заканчивается рассмотрение статистических методов, отно­сящихся ко второму типу задач.

В этих задачах независимо от того, будут ли они практического или теоретического содержания, психолог сопоставляет, сравнивает между собой несколько выборок. При этом не следует забывать, что цель исследования не всегда состоит в том, чтобы при сопоставле­нии отвергнуть нуль-гипотезу. Иногда конечная или промежуточная цель исследования состоит в том, чтобы, допустим, сравнивая вы­борки, подтвердить нуль-гипотезу. Самый простой пример: исследо­ватель желает составить большую выборку, для чего необходимо объединить в ней учащихся нескольких школ. Естественно, решаю­щее значение имеет доказательство того, что группы учащихся из разных школ относятся к одной совокупности, нужно, чтобы при­мененные критерии подтвердили это, а значит, статистика должна подтвердить при сравнении групп нуль-гипотезу. Подтвердить или отвергнуть нуль-гипотезу при сопоставлении выборок — в этом и состоит назначение статистических критериев; наиболее простые из них были изложены в предшествующем тексте. Конечно, информа­ция, которую выявят статистические методы, может быть противоречи­ва утверждениям, которые намерен защищать исследователь. В таком случае ему придется внести поправки в свои утверждения или отка­заться от них.

Переходим к задачам третьего типа — задачам, рассмат­ривающим динамические, временные ряды.

Предположим, что психологу дано задание собрать информацию о состоянии умственной работоспособности школьников 8-х классов, начиная со второй недели учебного года и до девятой недели вклю­чительно. Одной из методик, с помощью которых можно фиксиро­вать состояние умственной работоспособности, считается тест Кре­пелина. Он состоит из большого количества примеров, в каждом из них нужно складывать два двузначных числа; учитывается общее число правильно решенных примеров. Каждые 3 минуты испытуе­мые по сигналу экспериментатора отмечают черточкой сделанное. Общая длительность эксперимента в зависимости от возраста со­ставит 9, 12 или 15 минут. Этой методикой и воспользовался пси­холог. Он начал с того, что сформировал из учащихся, средние ус­пехи которых оценивались за предыдущее полугодие баллами 4 и 5, выборку из 10 человек. Все они изъявили желание участвовать в эксперименте. С этими учащимися психолог в течение первой недели учебного года провел по 12 тренировочных занятий; это было необходимо, иначе рост продуктивности вследствие упражняемости замаскировал бы изменения в динамике работоспо­собности. Затем начался эксперимент: по субботам после уроков учащиеся этой выборки в течение 12 минут работали с тестом Крепелина. Эксперимент, как было сказано, продолжался 8 не­дель. Были получены следующие данные, средние по всей выбор­ке (рис. 4).

Визуальная оценка полученного динамического ряда свидетельст­вует о снижении умственной работоспособности, в чем, конечно, нет ничего удивительного. Однако снижение идет не вполне равно­мерно. Это ясно видно из графика.

Недели экспери­мента I II III IV V VI VII VIII
Средняя продук­тивность по тесту Крепелина 92 94 90 92 81 74 78 70

Основная тенденция измене­ния умственной работоспособ­ности вполне ясна. Наблюдае­мые, в общем, незначительные отклонения от этой тенденции могут быть на графике устра­нены методом сглаживания. В этом случае применим метод скользящей средней. Для сгла­живания суммируются три по­казателя у — в данном приме­ре это показатели продуктив­ности по тесту, — далее, опус­кая по одному показателю, суммируются одна за другой триады. Средняя каждой триа­ды принимается за показатель сглаженной ломанной, если ори­ентироваться по графику. Смысл проводимого действия состоит в том, что основная тенденция выступает более отчетливо.

92 92 88 82 77 74 — средние по триадам
92 94 90 92 81 74 78 70

В только что рассмотренном примере сглаживание имеет такой вид:

Результаты сглаживания приобретают большую наглядность при нанесении их на график. Выступает основная тенденция динамики умственной работоспособности. Судя по показателям, полученным после сглаживания, в течение первых трех экспериментальных не­дель значительного снижения работоспособности не наблюдается, а далее идет непрерывное и резкое ее снижение. Сглаживание, как видно на графике, устранило колебания в работоспособности, отме­ченные на первичном графике после V недели. При сглаживании по триадам общее число точек уменьшается на 2.

Какое значение имеет выделение посредством сглаживания ос­новной тенденции? Если условия, благодаря которым возникла ос­новная тенденция, сохранятся, то и эта тенденция с высокой веро­ятностью сохранится и, таким образом, по основной тенденции мо­жет быть построен прогноз, как будут развиваться изучаемые явле­ния. Но такой прогноз возможен только при стабильности опреде­ленных условий. Для его построения нужен не только формальный, но и содержательный анализ; он же позволяет раскрыть значение факторов, вызвавших отклонения в ту или другую сторону от ос­новной тенденции.

е Техника метода скользящей средней дает возможность выбирать различные способы объединения показателей для сглаживания. Та­ковыми могут быть не только триады, но при достаточно большом числе показателей (порядка 30—40 и более) для выведения сколь­зящей средней могут быть выбраны пентады (объединения пяти по­казателей) и даже септиды (семь показателей).

Нужно иметь в виду, что наглядный и простой метод скользящей средней малопригоден для сглаживания динамики процессов, развитие которых во времени не имеет линейной формы (см.: рис. 3, схема 5, с. 265). Сглаживание методом скользящей средней в таких случаях мо­жет привести к искажению действительной тенденции развивающегося процесса. Исследователю следует внимательно всмотреться в материал, подлежащий сглаживанию, чтобы решить, имеет ли он право восполь­зоваться этим методом. Если криволинейная зависимость отражена в достаточно больших отрезках кривой, то каждый из этих отрезков в отдельности может быть подвергнут сглаживанию. Таково ограничение в использовании метода скользящей средней.

Анализируя выраженную на графике основную тенденцию в ее приближении к прямой, можно заметить, что метод не дает меры наклона, угла, который образуется между полученной после сгла­живания приближающейся к прямой ломаной и осью абсцисс. Ме­жду тем, узнав величину этого угла, исследователь получит инфор­мацию о том, с какой скоростью изменяются изучаемые явления во времени: чем круче наклон и соответственно чем меньше внешний угол сглаженной кривой с осью абсцисс, тем больший путь проходит за единицу времени изменяющийся процесс. Это хорошо видно на рис. 5.

Относительно медленное движение
Относительно быстрое движение

Единица времени
Рис.5

Точные сведения о мере наклона отрезка прямой, полученного после сглаживания, да­ет метод наименьших квадратов.

Для получения пара­метров отрезка прямой нужно обратиться к от­ношению единиц време­ни (х) и показателей раз­вивающего процесса (у).

Для нахождения па­раметров отрезка прямой, который после сглаживания представит основную тенденцию изменяющегося ряда, проделываются вычисле­ния по определенным формулам.

Формула прямой: у = а + bх, где у означает показатели ряда, х — единицы времени, по которым прослеживаются изменения изучае­мого ряда. Надлежит узнать величины а и b. Величина а необходи­ма для установления точки, с которой берет свое начало отрезок прямой, b — необходимо для установления степени наклона отрезка прямой по отношению к оси абсцисс (оси иксов).

Для вычисления вышеуказанных параметров а и b имеется сис­тема двух уравнений с двумя неизвестными:

па + åxb = åу ;

åxa + åx 2 b = åху;

х и у в этой формуле рассчитываются из фактических данных изу­чаемого ряда.

Порядок вычислений. Шестиклассники Саня и Толя в течение пяти дней упражнялись в бросках мяча в корзину. Показатели Сани приведены в таблице (х — единица времени, у число попаданий мячом в корзину. В таблице приведены вычисления и других, тре­буемых формулой, величин; п = 5).

х у х 2 ху
1 3 1 3
2 4 4 8
3 6 9 18
4 5 16 20
5 8 25 40

åx = 15; åу = 26; åx 2 = 55;åху = 89 5a + 15b = 26;

15a + 55b = 89.

Нахождение неизвестных а и b производится обычным способом исключения одного неизвестного. Члены первого уравнения для этого умножаются на 3

15a + 45b = 78.

Из второго уравнения вычитается первое, вычисляем b:

10b = 11; b = 1,1.

Подставив числовое значение b в первое уравнение, можно полу­чить числовое значение а:

5a + 16,5 = 26;

5a = 9,5; a = 1,9.

Поскольку известны оба параметра отрезка прямой, можно опре­делить все значения параметров по пяти точкам, по формуле у = 1,9 + 1,1х.

y 1 = 1,9 + 1,1 =3,0;

y 2 = 1,9+2,2=4,1;

y 3 = 1,9+3,3=5,2;

y 4 = 1.9 + 4,4 = 6,3;

y 5 =1,9 + 5,5=7,4.

Как было сказано ранее, сверстник Сани Толя упражнялся в том же умении. Так же, как и у Сани, количество дней упражнения бы­ло равно 5. Ниже приводятся результаты Толи и показаны все дру­гие величины, которые необходимы для вычисления величин, тре­буемых формулой.

х у х 2 ху
1 3 1 3
2 6 4 12
3 5 9 15
4 8 16 32
5 10 25 50

åx = 15; åy = 32; åx 2 = 55; åxy =112.

Обозначения здесь такие же, что и в предыдущем примере. Бук­вы заменяются их числовыми значениями.

5a + 15b = 32;

15a + 55b = 112.

Члены первого уравнения умножаются на 3

15a + 45b = 96.

Из второго уравнения вычитается первое, получим значение b:

10b = 16; b = 1,6.

Из первого уравнения получаем значение а:

5a + 24 = 32;

5a = 8; a = 1,6.

Можно получить сглаженные показатели по дням упражнений у Толи. y 1 = 1,6 + 1,6=3,2;

y 2 = 1,6+3,2=4,8;

y 3 = 1,6 + 4,8 = 6,4;

y 4 = 1,6 + 6,4 = 8,0;

y 5 = 1,6+ 8,0=9,6.

На рис. 6 показаны только результаты сглаживания. Следует обратить внимание на то, как различаются отрезки прямой по их наклону по отношению к оси абсцисс. Дан­ные Толи изображены пунктирной прямой.

Таковы способы обработки задач третьего типа.

Задачи, встающие перед психологом, который работает в области психологи­ческой диагностики, составляют четвер­тый тип задач.

Они относятся к конструированию диагностических методик, к их применению и обработке. Американская психологическая ассоциация (АПА) периодически издает «Стандартные требования к педагогическим и психологическим тестам», специальный кодекс требований к диагностическим методикам; это пособие полезно как для авторов методик, так и для тех, кто методиками пользуется.

Некоторые из этих требований могут считаться дискуссионными, но полезность кодекса в целом несомненна. Его выполнение, с одной сто­роны, обеспечивает объективность методик и их обоснованность, а с другой — препятствует проникновению в арсенал методик психологи­ческой диагностики дилетантских поделок, произвольных наборов все­возможных заданий, заимствованных из популярных журналов или со­чиненных самим автором. Самые общие и самые необходимые к испол­нению требования можно было бы свести всего к двум: диагностиче­ские методики должны быть надежными и валидными. Значение этих терминов было дано в предыдущих главах. Реализация этих требований осуществляется посредством прочно вошедших в психологическую ди­агностику статистических методов (Как было показано в гл. XI, при работе с критериально-ориентированными методиками при их конструировании и проверке возможны другие подходы).

Чтобы получить коэффициент надежности, характеризующий го­могенность методики, ее внутреннюю согласованность, прибегают к приему, называемому расщеплением. Эксперимент проводится с вы­боркой желательно порядка 100, но не менее 50 испытуемых. Полу­ченные от каждого участника выборки ответы на вопросы или ре­шения заданий делятся на четные и нечетные — по их нумерации в методике. По каждой половинке методики выписывается число пра­вильно выполненных каждым испытуемым заданий. Два эти ряда коррелируют между собой.

Допустим, что методика состоит из 24 заданий. Тогда максимальное число выполненных заданий в каждой половинке будет равно 12. Приводим результаты первых 16 испытуемых и технику вычисления коэффициента надежности (гомогенности) r (табл. 8).

Таблица 8

ВЫЧИСЛЕНИЕ КОЭФФИЦИЕНТА НАДЕЖНОСТИ МЕТОДИКИ А (ГОМОГЕННОСТЬ)

Испыту­емые Правильно решены задания Ранг заданий d d2
четные нечетные четных нечетных
А 10 11 10,5 13,5 3 9
Б 8 8 8 8,5 0,5 0,25
В 3 7 3 6,5 3,5 12,25
Г 3 3 3 2 1 1
Д 11 12 12,5 15,5 3 9
Е 12 10 15 11 4 16
Ж 12 12 15 15,5 0,5 0,25
3 9 8 9 8,5 0,5 0,25
И 7 7 6,5 6,5 0 0
К 6 6 6 6 0 0
Л 7 5 6,5 4 2,5 6,25
M 11 10 12,5 11 1,5 2,25
Н 3 4 3 3 1 1
О 2 2 1 1 0 0
П 10 11 10,5 13,5 3 9
Р 12 10 15 11 4 16

åd 2 = 82,5

Проделана обычная ранговая корреляция. По таблице уровней значимости r0,99 = 0,64; полученный коэффициент превышает эту величину. Принято считать, что коэффициент надежности не дол­жен быть ниже 0,8. Полученный коэффициент удовлетворяет этому требованию (Применение коэффициента корреляции для нахождения коэффициента на­дежности-гомогенности путем сопоставления числа правильных решений по четным заданиям и числа правильных решений по нечетным заданиям некото­рые авторы находят недостаточно корректным, поскольку порядок, в котором представлены коррелируемые ряды, может быть случайным, он может быть произвольно изменен. Однако никакого другого приема для установления этого вида надежности в «Стандартных требованиях к педагогическим и психологиче­ским тестам» не дается. Нахождение коэффициента надежности-стабильности указанной недостаточной корректностью не грешит).

Есть поправочная формула Спирмена—Брауна к коэффициенту на­дежности-гомогенности, получаемому путем расщепления. Поскольку при прочих равных условиях получаемый коэффициент будет тем вы­ше, чем больше заданий содержится в методике, следует принять во внимание, что прием расщепления уменьшает число заданий вдвое — на этом основывается данный прием. Поправочная формула

в нашем примере


где r SB — коэффициент с учетом поправки, а — коэффициент, вычисленный при коррелировании двух половинок методики. Если этот последний равен 0,88, то после поправки Спирмена—Брауна коэффициент будет равен 0,94.

Поправочную формулу Спирмена—Брауна можно применять только в тех случаях, когда методика делится на половинки (расщепление). Если же в методике в процессе обработки не меня­ют число заданий, то поправочная формула не применяется.

Величина коэффициента надежности-гомогенности зависит от со­циально-психологических особенностей той выборки, по результа­там испытания которой этот коэффициент устанавливался. Поэтому при опубликовании методики, приводя ее основные характеристики, автору следует указать, на каком контингенте проводилась проверка надежности.

При вычислении коэффициента надежности методики, характери­зующего стабильность данных, получаемых с помощью этой мето­дики, первый коррелируемый ряд представляет собой результаты первого, а второй — повторного испытания: его рекомендуют про­водить примерно через шесть недель после первого. При необходи­мости этот срок может изменяться. Эти два ряда коррелируют меж­ду собой. Корреляция проводится по обычным правилам, о них со­общалось выше. Это прием «тест-ретест».

Для установления надежности методики существуют и некоторые другие приемы. Так, для получения коэффициента надежности практикуется прием параллельных форм. Авторы, конструирующие методику, создают две ее формы; условно назовем их формой А и формой Б. Обе формы должны быть однородны по психологической направленности, по доступности содержания заданий и по их труд­ности. В одном варианте формы Л и Б предъявляются испытуемым одна за другой, причем в одной половине выборки испытуемым сна­чала предлагается форма А, а за ней форма Б, а в другой половине выборки, наоборот, сначала форма Б, а затем А. Результаты, полу­ченные по той и другой форме, коррелируют между собой, и полу­ченный коэффициент трактуется как коэффициент надежности. Не­трудно заметить, что этот прием близок приему расщепления с той разницей, что методика как бы удвоена и сравниваются не четные и нечетные задания, а две половины этой удвоенной методики. Это дает право трактовать получаемый коэффициент скорее как коэффициент надежности-гомогенности, а не надежности-стабильности. Поскольку проверке подвергается набор заданий в целом, поправочную формулу Спирмена—Брауна применять не следует.

Другой вариант использования приема параллельных форм состо­ит- в том, что одна из форм предлагается испытуемым через какой-то интервал времени после другой, что сближает этот прием с приемом «тест-ретест». При проведении этого приема необходимо убедиться в том, что обе формы высоко коррелируют между собой, согласно только что изложенному приему по надежности-Гомоген­ности. Результаты обоих испытаний затем коррелируют. Получен­ный коэффициент может трактоваться как коэффициент надежно­сти-стабильности. Выше указывалось, что в приеме «тест-ретест» рекомендуется интервал между испытаниями шесть недель. Для этого варианта приема параллельных форм этот интервал может быть уменьшен, так как испытуемый при выполнении заданий не сможет опираться на память.

Из предшествующего изложения явствует, что в приемах уста­новления надежности главную роль играет статистический метод корреляций. Несколько по-иному обстоят дела при проверке валид­ности методики.

Если показатели того критерия, который взят для получения ко­эффициента внешней валидности, имеют примерно ту же меру рас­сеяния, меру вариативности, что и мера рассеяния показателей са­мой методики, то применение корреляции правомерно. Допустим, автор методики намерен установить ее валидность, сравнивая ус­пешность выполнения методики с учебной деятельностью. Валид­ность устанавливается на выборке школьников. В этом случае, как показывает практика, суммарные оценки за одну учебную четверть или за полугодие покажут примерно тот же размах колебаний, что и размах колебаний по методике; методика состоит из 20 заданий, и при ее выполнении показан размах колебаний от 3 до 20. Суммар­ные оценки успеваемости, после того как они подсчитаны за полго­да, имеют размах колебаний порядка от 14 до 36. Такие ряды впол­не возможно коррелировать.

Но в некоторых случаях для получения коэффициента валидно­сти приходится сравнивать успешность выполнения диагностиче­ской методики, допустим, в тех же пределах колебаний — от 3 до 20, и производственные достижения, которые имеют всего три сту­пени оценок: ниже средних, средние и выше средних. Корреляцией в этом случае воспользоваться нельзя, если иметь в виду линейную корреляцию, о которой идет речь в этой главе. Однако могут быть использованы некоторые другие статистические методы, показы­вающие существование или отсутствие связи между распределени­ем двух рядов численностей. Простейший способ получения коэф­фициента валидности в описываемом случае и в других подобных случаях — метод «хи-квадрат». Всех испытуемых, прошедших диагностический эксперимент, делят на три равные группы — их и со­поставляют с тремя группами, на которые были поделены испытуе­мые при оценке их профессиональной успеваемости.

В изучаемой выборке — 90 человек. Они делятся по профессио­нальным достижениям на три группы: первая — в ней 30 испытуе­мых — лица с профессиональными достижениями ниже среднего уровня; вторая — 40 испытуемых — это лица со средними дости­жениями, и третья — 20 испытуемых, их достижения выше средне­го уровня. Первая группа составляет 33,3% выборки, вторая — 44,4 и третья — 22,2%.

Приводим технику вычисления (табл. 9).

Таблица 9

Психологическая оценка Оценка профессиональных достижений Всего
Ниже среднего Средняя Выше среднего
Ниже среднего

А

20

(10)

В

5

(13,3)

С

5

(6,7)

30
Средняя

D

5

(10)

Е

15

(13,3)

F

10

(6,7)

30
Выше среднего

G

5

(10)

Н

20

(13,3)

J

5

(6,7)

30
Итого: 30 40 20 90

Эксперимент, данные которого представлены в табл. 8, предпри­нимался, чтобы установить валидность психологической оценки. Нуль-гипотеза формулируется так: психологическая оценка не име­ет никакого значения для профессиональных достижений; поэтому она никак не скажется на распределении численностей в таблице-графике «хи-квадрат»;

Принятие нуль-гипотезы может произойти в том случае, если в каждой из групп по профессиональной успешности испытуемые бу­дут распределены независимо от их психологической оценки. Тогда испытуемые, получившие психологическую оценку «ниже среднего», распределятся по всем трем группам в тех же процентных отноше­ниях, в каких они распределились и по профессиональным дости­жениям. Напомним эти отношения: 33,3 — 44,4 — 22,2. Психоло­гическую оценку «ниже среднего» получили всего 30 испытуемых. 33,3% этого числа (10 человек) должны были бы попасть в группу с профессиональными достижениями ниже среднего уровня, с дос­тижениями среднего уровня — 44,4% (в среднем 13,3), с достиже­ниями выше среднего уровня — 22,2% (6,7).

Те же рассуждения повторяются и относительно испытуемых, имеющих психологические оценки «среднюю» и «выше среднего». Однако наблюдается иное распределение. Возникает вопрос: можно ли, учитывая фактическое распределение, отвергнуть нуль-гипотезу и признать, что психологическая оценка влияет на профессиональ­ные достижения? Это раскроет методика «хи-квадрат».

В клетках таблицы представлены как фактически наблюдаемые численности, так и предполагаемые согласно нуль-гипотезе; они за­ключены в скобки.

Как известно, формула хи-квадрат такова:

где f 0 — фактически наблюденные численности, f e — предполагае­мые численности.

Для получения значения хи-квадрат нужно суммировать по клет­кам:

Клетки

x 2 = 10 + 5,2 + 0,4 + 2,5 + 0,2 + 1,6 + 2,5 + 3,7 + 0,4 = 26,5, fd — число степеней свободы.

В этом примереc = (к - 1)(с - 1) = (3 - 1)(3 - 1) = 4.

x2 0,99 при 4 степенях свободы равно 11,34.

Сравнивая полученную в эксперименте величину x2 с величиной x2 0,99 , указанной в таблице значимостей, можно заключить: полу­ченная в эксперименте величина (x2 = 26,5) свидетельствует о ва­лидности примененной психологической методики.

Величина хи-квадрат с указанием ее значимости служит в подоб­ных случаях показателем или коэффициентом валидности. Этот же метод применяется, если оценка дается не по трем ступеням, как в рассмотренном примере, а по пяти (значительно ниже средней, ни­же средней, средняя, выше средней, значительно выше средней и т.д.). Техника вычислений при такой дифференциации оценок ана­логична показанной выше.

Были изложены четыре типа задач и показаны статистические методы, применяемые для каждого типа. В современной диагности­ке применяются не только перечисленные в этой главе статистиче­ские методы, но и многие другие. Однако можно полагать, что, ог­раничив свою цель изложением простейших статистических мето­дов, нет необходимости обращаться к сложным и сложнейшим. Чи­татели, заинтересовавшиеся проблемами статистических методов в диагностике, могут обратиться к другим пособиям и источникам.

Элементы планирования в психологических исследова­ниях. Нельзя начинать исследование, не уяснив его цель. Это ак­сиома. Однако наблюдения показывают, что не все ее принимают. Нередко можно обнаружить смешение двух категорий целей: цель исследования и цель исследователя. Но полное доминирование цели исследователя и безразличное отношение к цели исследования не должны иметь места. Планирование должно исходить из цели ис­следования.

Есть два главных источника, стимулирующих возникновение ис­следований: либо они отвечают на запросы, выдвигаемые практи­кой, которую обслуживает данная наука, либо они возникают из нужд самой науки и имеют целью совершенствовать познание тех сфер жизни, которым посвящена данная наука. Стоит отметить, что детальное планирование необходимо и в том, и в другом случае. Мнение, будто практические исследования могут проводиться без за­ранее продуманного плана, безусловно, ошибочно; только правильно спланированное исследование может в своих выводах дать ответ на те вопросы, ради решения которых оно и задумывалось.

Различают планирование исследований, не нуждающихся в экс­перименте, и исследований, включающих эксперимент как необхо­димую часть. Что касается первых, то их планы в принципе не от­личаются от планов исследований в других науках. В вводной части (она будет примерно такой же и в экспериментальных исследовани­ях) очерчивается место данного исследования в потоке современной науки, кратко реферируются работы, затрагивающие ту же пробле­матику, указываются источники и формулируется замысел исследо­вания и его цель. Далее планируется само исследование. Все без исключения исследования вообще могут рассматриваться как сис­тема доказательств, обосновывающих выводы, в которых содержит­ся и цель, поставленная автором.

Этот план не должен рассматриваться как обязательный. Особенно­сти работы могут заставить автора в той или иной степени отойти от него, дополнить его или сократить. В исследованиях, включающих экс­перимент, во вводной части должно быть показано, зачем оказался нужным эксперимент и каковы принципы его построения.

Планирование эксперимента в психологическом исследовании пред­полагает предварительное обсуждение следующих пяти пунктов.

А. Каков планируемый объект эксперимента, другими словами, какова та выборка испытуемых, которых намерен привлечь автор? В зависимости от того, каких испытуемых возьмет автор, ему придет­ся обдумать и следующий пункт.

Б. Если необходимо работать со школьниками, то эксперимент должен быть согласован со школьными режимами — годовым, еже­недельным и ежедневным, с учетом умственной нагрузки школьни­ков. Необходимо считаться и с периодом подготовки к экзаменам и их сдачей. С первыми двумя пунктами тесно связан третий.

В. Нужны методики, которые, с одной стороны, учитывали бы особенности исследуемого контингента, а с другой — непосредст­венно вели бы к цели исследования. Когда намечены методики и время их проведения, возникает следующий пункт плана.

Г. Материалы эксперимента нуждаются в адекватной обработке и почти всегда в привлечении статистики. Планируются такие стати­стические методы, результаты которых непосредственно направлены на достижение цели исследования. Все перечисленные пункты под­готавливают планирование последнего пункта.

Д. Сколько и какой квалификации работников нужно для прове­дения эксперимента, какая понадобится аппаратура и каких средств потребует эксперимент?

Цель исследователя (а не исследования) должна подсказать, в каком виде нужно представить полученный материал: это может быть отчет, статья, часть книги или диссертация и т.д. Исследова­тель, обдумывая предстоящий эксперимент, должен иметь в виду, что полученные выводы будут относиться не только к выборке ис­пытуемых, непосредственно участвующих в эксперименте, но и к той совокупности, к которой принадлежит эта выборка. Чтобы этот расчет оправдался, нужно с достаточной определенностью предста­вить, что же это за совокупность. Поэтому важно вести экспери­мент не со случайным набором испытуемых, а с испытуемыми, об­разующими репрезентативную выборку, воспроизводящую все характерные психологические признаки совокупности. С этих же позиций репрезентативности нужно рассмотреть вопрос об объ­еме выборки. Не всегда целесообразно планировать участие боль­шой выборки в несколько сотен или тысяч испытуемых. В такой выборке почти неизбежно утратится репрезентативность, в ней, возможно, будет представлено несколько совокупностей, каждая из которых так или иначе повлияет на результаты эксперимента: их интерпретация потеряет ясность. Поэтому предпочтительнее рабо­тать с малыми и средними выборками, объемом до 30—100 испы­туемых. Чтобы решить, сколько же конкретно следует взять участ­ников эксперимента, придется провести пилотажный, или подгото­вительный, мини-эксперимент. Проведение такого эксперимента по­может выявить два необходимых момента: гомогенность выборки, ее сравнительно малую вариативность по тем признакам, которые, при прочих равных условиях, изучаются в эксперименте, и такой ее объем, который обеспечит получение всех показателей как внутри выборки, так и в ее сопоставлениях на должном уровне статистиче­ской значимости. О последнем моменте свидетельствует следующее наблюдение: допустим, что в пилотажном эксперименте на выборке 10 испытуемых получен коэффициент корреляции между двумя признаками, равный 0,55. Этот коэффициент свидетельствует о том, что коррелируемые ряды связаны между собой, однако он ниже уровня 0,95 значимости, который принят в психологических иссле­дованиях. При увеличении выборки до 12 человек коэффициент окажется на приемлемом уровне значимости — несколько выше ко­эффициента общепринятого уровня, а он равен 0,576. Вывод, кото­рый придется сделать исследователю: выборка должна состоять не из 10 испытуемых, а минимум из 12-15. Этот объем позволит по­лучить значимый коэффициент. Но определить объем выборки без пилотажного эксперимента не представляется возможным. Если ав­тор претендует на более высокий уровень значимости, то по табли­це уровней значимости он установит и объем выборки. Чем выше гомогенность выборки, тем яснее ее отнесенность к той или дру­гой совокупности. Вместе с тем высокая гомогенность может рассматриваться как предпосылка того, что желательные уровни статистической значимости действительно могут быть достиг­нуты с увеличением выборки.

При планировании эксперимента исследователю надлежит обра­тить внимание на то, чтобы в подборе испытуемых для своей вы­борки он избежал ошибок, порождаемых стремлением работать с выборкой, обеспечивающей получение желательных результатов. Надежным заслоном против таких ошибок является обращение к Таблице случайных чисел. Так, исследователю предстоит отобрать из двух классов одну выборку: число учеников в обоих классах со­ставляет 60 человек, а выборку исследователь намерен составить из 15 человек. Возможно, что ему посоветуют взять лучших, или дис­циплинированных, или усердных и т.п. Но те признаки, которыми советуют руководствоваться исследователю, несущественны для его цели. Допустим, что он намерен изучить наиболее яркие проявле­ния гуманитарных способностей. Чем руководствоваться исследова­телю при отборе испытуемых в свою выборку? Ему следует обра­титься к Таблице случайных чисел.

Чтобы воспользоваться этой таблицей, сначала нужно выписать подряд, одну за другой, в любой последовательности фамилии уче­ников, из числа которых исследователь намерен образовать нужную ему выборку. Далее, открыв Таблицу случайных чисел на любой странице, следует взять, например, два первых двузначных числа из любого из десяти столбцов, напечатанных на этой станице. Идя сверху вниз, нужно последовательно приписывать эти двузначные числа к фа­милиям учеников. В выборку попадут ученики, к чьим фамилиям будут приписаны первые пятнадцать чисел, начиная с наименьшего. Исследо­ватель волен взять не первые два числа, а два последних или два сред­них и идти не сверху вниз, а снизу вверх. Необходимо только сохра­нять тот порядок, который был избран для работы с Таблицей случай­ных чисел в данном конкретном исследовании.

Вот фрагмент одной из страниц Таблицы случайных чисел:

5489 5583 3156 0835 1988 3912 0938 7460 0869 4420
3522 0935 7877 5665 7020 9555 7379 7124 7878 5544
7555 7579 2550 2487 9477 0864 2349 1012 8250 2633
5759 3564 5080 9074 7001 6249 3294 6368 9102 2672

и т.д.

Допустим, исследователь решил, идя сверху вниз, воспользовать­ся первыми двумя числами третьего столбца. Тогда идущий первым по порядку ученик получит приписанное к своей фамилии число 31, второй по порядку — число 78, третий —25, четвертый — 50 и да­лее, следуя вниз по столбцу. После того как числа будут приписаны всем 60 ученикам, будут отобраны те, кто получил первые по по­рядку 15 чисел. Эта несложная процедура исключает произволь­ность в отборе испытуемых.

Рекомендации, содержащиеся выше, помогут спланировать пило­тажный эксперимент, а затем и исследование в его окончательном варианте (Вопрос о конструировании эксперимента как такового в этой главе не затрагивается).

Такое построение работы поможет сэкономить силы, средства и время и в конечном счете прийти к поставленной цели, либо дока­зав и подтвердив гипотезу автора, либо отказаться от нее. В том и другом случае прояснится дальнейший путь развития исследований, уточняющих и углубляющих разработку проблемы.

Дело, однако, не только в этом. Неточно спланированное иссле­дование, сколько бы сил в него ни вложили, вряд ли продвинет вперед науку и поможет практике. Всегда останется сомнение в действенности его выводов. А это приведет к тому, что возникнет необходимость в новых, тождественных по целям исследованиях, станут вероятными противоречивые выводы.

Поэтому умение планировать экспериментальное исследование составляет важное и необходимое звено в профессиональной подго­товке и надлежащей квалификации психолога.

Оценить/Добавить комментарий
Имя
Оценка
Комментарии:
Делаю рефераты, курсовые, контрольные, дипломные на заказ. Звоните или пишите вотсап, телеграмм, вайбер 89675558705 Виктория.
17:53:03 17 октября 2021
Срочная помощь учащимся в написании различных работ. Бесплатные корректировки! Круглосуточная поддержка! Узнай стоимость твоей работы на сайте 64362.ru
19:18:50 10 сентября 2021
Если Вам нужна помощь с учебными работами, ну или будет нужна в будущем (курсовая, дипломная, отчет по практике, контрольная, РГР, решение задач, онлайн-помощь на экзамене или "любая другая" учебная работа...) - обращайтесь: https://clck.ru/P8YFs - (просто скопируйте этот адрес и вставьте в браузер) Сделаем все качественно и в самые короткие сроки + бесплатные доработки до самой сдачи/защиты! Предоставим все необходимые гарантии.
Климент23:29:33 22 июня 2020
Привет студентам) если возникают трудности с любой работой (от реферата и контрольных до диплома), можете обратиться на FAST-REFERAT.RU , я там обычно заказываю, все качественно и в срок) в любом случае попробуйте, за спрос денег не берут)
Olya21:36:00 24 августа 2019
.
.21:35:59 24 августа 2019

Смотреть все комментарии (20)
Работы, похожие на Реферат: Нормы и интерпретация результатов теста

Назад
Меню
Главная
Рефераты
Благодарности
Опрос
Станете ли вы заказывать работу за деньги, если не найдете ее в Интернете?

Да, в любом случае.
Да, но только в случае крайней необходимости.
Возможно, в зависимости от цены.
Нет, напишу его сам.
Нет, забью.



Результаты(286227)
Комментарии (4152)
Copyright © 2005-2021 HEKIMA.RU [email protected] реклама на сайте