Банк рефератов содержит более 364 тысяч рефератов, курсовых и дипломных работ, шпаргалок и докладов по различным дисциплинам: истории, психологии, экономике, менеджменту, философии, праву, экологии. А также изложения, сочинения по литературе, отчеты по практике, топики по английскому.
Полнотекстовый поиск
Всего работ:
364139
Теги названий
Разделы
Авиация и космонавтика (304)
Административное право (123)
Арбитражный процесс (23)
Архитектура (113)
Астрология (4)
Астрономия (4814)
Банковское дело (5227)
Безопасность жизнедеятельности (2616)
Биографии (3423)
Биология (4214)
Биология и химия (1518)
Биржевое дело (68)
Ботаника и сельское хоз-во (2836)
Бухгалтерский учет и аудит (8269)
Валютные отношения (50)
Ветеринария (50)
Военная кафедра (762)
ГДЗ (2)
География (5275)
Геодезия (30)
Геология (1222)
Геополитика (43)
Государство и право (20403)
Гражданское право и процесс (465)
Делопроизводство (19)
Деньги и кредит (108)
ЕГЭ (173)
Естествознание (96)
Журналистика (899)
ЗНО (54)
Зоология (34)
Издательское дело и полиграфия (476)
Инвестиции (106)
Иностранный язык (62791)
Информатика (3562)
Информатика, программирование (6444)
Исторические личности (2165)
История (21319)
История техники (766)
Кибернетика (64)
Коммуникации и связь (3145)
Компьютерные науки (60)
Косметология (17)
Краеведение и этнография (588)
Краткое содержание произведений (1000)
Криминалистика (106)
Криминология (48)
Криптология (3)
Кулинария (1167)
Культура и искусство (8485)
Культурология (537)
Литература : зарубежная (2044)
Литература и русский язык (11657)
Логика (532)
Логистика (21)
Маркетинг (7985)
Математика (3721)
Медицина, здоровье (10549)
Медицинские науки (88)
Международное публичное право (58)
Международное частное право (36)
Международные отношения (2257)
Менеджмент (12491)
Металлургия (91)
Москвоведение (797)
Музыка (1338)
Муниципальное право (24)
Налоги, налогообложение (214)
Наука и техника (1141)
Начертательная геометрия (3)
Оккультизм и уфология (8)
Остальные рефераты (21692)
Педагогика (7850)
Политология (3801)
Право (682)
Право, юриспруденция (2881)
Предпринимательство (475)
Прикладные науки (1)
Промышленность, производство (7100)
Психология (8692)
психология, педагогика (4121)
Радиоэлектроника (443)
Реклама (952)
Религия и мифология (2967)
Риторика (23)
Сексология (748)
Социология (4876)
Статистика (95)
Страхование (107)
Строительные науки (7)
Строительство (2004)
Схемотехника (15)
Таможенная система (663)
Теория государства и права (240)
Теория организации (39)
Теплотехника (25)
Технология (624)
Товароведение (16)
Транспорт (2652)
Трудовое право (136)
Туризм (90)
Уголовное право и процесс (406)
Управление (95)
Управленческие науки (24)
Физика (3462)
Физкультура и спорт (4482)
Философия (7216)
Финансовые науки (4592)
Финансы (5386)
Фотография (3)
Химия (2244)
Хозяйственное право (23)
Цифровые устройства (29)
Экологическое право (35)
Экология (4517)
Экономика (20644)
Экономико-математическое моделирование (666)
Экономическая география (119)
Экономическая теория (2573)
Этика (889)
Юриспруденция (288)
Языковедение (148)
Языкознание, филология (1140)

Реферат: Модернизация двигателя мощностью 440 квт с целью повышения их технико-экономических показателей

Название: Модернизация двигателя мощностью 440 квт с целью повышения их технико-экономических показателей
Раздел: Рефераты по транспорту
Тип: реферат Добавлен 10:07:39 08 октября 2005 Похожие работы
Просмотров: 4384 Комментариев: 18 Оценило: 5 человек Средний балл: 4.4 Оценка: неизвестно     Скачать

Overview

Лист1
Диаграмма1
Лист2


Sheet 1: Лист1

Пояснение
к выполнению раздела дипломного проекта по охране труда


"Расчёт уровней вибрации (по ускорению) опорных поверхностей дизеля
в октавных полосах частот и выбор виброизолирующего крепления"


Программа "Диплом[вибрация дизеля]" - Excel 97


Последовательность выполнения раздела "Охрана труда"


1. Открыть программу (Лист2, п.2.) и занести в название п.2 марку дизеля.
2. Ввести в программу(п.2.1.) исходные данные - характеристики дизеля и винта.
При вводе данных необходимо иметь ввиду следующее: ячейки с формулами
защищены от изменений, поэтому при ошибочном выделении таких ячеек на
экране появляется предупреждающее окно и для продолжения работы по
программе необходимо щёлкнуть "ОК" или нажать "Enter".
3. Определить спектр уровней вибрации дизеля и занести его в таблицу 1.
4. По таблицам 3,4,5 выбрать тип виброизолятора, нагрузку в зависимости от мас-
сы дизеля и жёсткость; задать принимаемое число виброизоляторов равное
рекомендуемому.
5. Определить по программе частоты возмущающих сил дизеля и гребного винта
и частоту свободных вертикальных колебаний дизеля.
6. При совпадении частоты свободных колебаний дизеля с частотами возмуща-
ющих сил можно увеличить количество виброизоляторов не более чем на 2 или
изменить схему виброизоляции и повторить расчёт.
Количество виброизоляторов принимают чётное.
7. По п. 2.5. производится подготовка исходных данных и автоматически строит-
ся график на листе "Диаграмма1". Щелчком правой клавиши мыши на поле диа-
граммы открывается окно, затем "Параметры диаграммы", где в название доба-
вляется марка дизеля.
8. Формулируются выводы по работе.
На печать выводятся 4 страницы Листа2 и Диаграмма на отдельном листе.


Если в программе отсутствует шаблон Диаграмма, то ознакомиться с порядком
её построения можно ниже, на примере построения спектров шума.


Порядок построения спектров
уровней звуковой мощности механического шума и шума газотурбонаддува


1. Выделить данные.
2. Щёлкнуть левой клавишей мыши по кнопке "Мастер диаграмм", расположенной
на панеле инструментов.
3. В окне Шага1 отметить тип диаграммы "Точечная" и вид диаграммы - нижняя
правая; щёлкнуть по Далее.
4. В окне Шага2 - щёлкнуть по Далее.
5. В окне Шага3 написать название графика, название осей и отметить линии
сетки. Например: Уровни звуковой мощности механического шума(ряд1) и
шума наддува(ряд2) дизеля 6ЧРПН 36/45;
название оси категорий(X) - Частота, Гц, а оси значений(Y) - L,дБ;
линии сетки - отметить ось X - основные и промежуточные.
Щёлкнуть - Далее.
6. В окне Шага4 отметить -" На отдельном листе" и щёлкнуть - Готово.
7. Правой клавишей мыши щёлкнуть по оси X и по Формат оси; в окне Формат
оси щёлкнуть левой клавишей мыши - Шкала.

Установить:

минимальное значение - 10;

максимальное значение - 10000;

цена основных делений - 10;

цена промежуточных делений - любая;

ось Y пересекает в значении 0;

шкала - логарифмическая.
Щёлкнуть "ОК".
8. Щёлкнуть правой клавишей мыши по оси Y , далее - Формат оси и установить
такое минимальное значение, чтобы кривые располагались примерно в центре
графика.
Щёлкнуть "ОК".
9. Щёлкнуть правой клавишей мыши по кривой ряда1 и левой клавишей по Фор-
мат рядов данных, затем - Вид; установить цвет - чёрный и толщину сплошной
линии, а потом щёлкнуть "ОК".
10. Щёлкнуть правой клавишей мыши по кривой ряда2 и левой клавишей по Фор-
мат рядов данных, затем - Вид; установить цвет линии - чёрный, маркер -
Другой; чёрный, фон - чёрный, а потом щёлкнуть "ОК".

Sheet 2: Диаграмма1



Sheet 3: Лист2

5. ОХРАНА ТРУДА









Расчёт уровней вибрации опорных поверхностей дизеля
в октавных полосах частот и выбор виброизоляторов









5.1. Общие сведения




Уровни вибрации Nа(дБ) опорных поверхностей дизеля в октавных
полосах частот можно определить по формуле:












где Д - диаметр цилиндра дизеля, м;




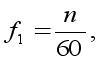
n - число оборотов вала дизеля, об/мин;




Z - число цилиндров дизеля;





Nf - составляющая, учитывающая характер спектра вибрации


дизеля, которая зависит от отношения частот f/fmax, дБ;


f - средняя частота октавной полосы (63, 125, 250, 500, 1000, 2000,


4000, 8000Гц);






fmax -частота, на которой наблюдается максимальный уровень


вибрации, которая определяется по формуле










ного уровня в зависимости от числа оборотов вала дизеля;


k - коэффициент тактности дизеля, который для 4-х тактного


дизеля равен 0,5, а для двухтактного - 1;


Nd - поправка, учитывающая число оборотов вала дизеля, дБ.
Частоты возмущающих сил 1, 2, 3 порядков определяются по
формулам:








Дизель
















Гребной винт














Частота свободных вертикальных колебаний дизеля вдоль оси Z:















Число опорных виброизоляторов:
















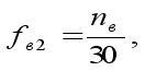
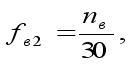
где nв, Zв - число оборотов и число лопастей винта;



М - масса дизеля, кг;





С - общая динамическая жёсткость виброизоляторов, Па*м;


F - номинальная нагрузка на один виброизолятор, кг.









5.2. Программа расчёта уровней вибрации дизеля 6ЧНСП18/22
в октавных полосах частот












"Диплом[вибрация дизеля]" - Excel 97













5.2.1. Исходные данные





Мощность дизеля N, квт




440

Диаметр цилиндра дизеля Д, м




0.18

Число оборотов вала дизеля n, об/мин




1000

Число цилиндров дизеля Z




6

Коэффициент тактности дизеля k




0.5

Масса дизеля М, кг




4500

Число оборотов гребного вала nв, об/мин




350

Число лопастей гребного винта Zв




4









5.2.2. Расчёт уровней вибрации опорных поверхностей
дизеля в октавных полосах частот










Расчёт почастотных составляющих спектра вибрации







63 125 250 500 1000 2000 4000 8000

78 80 82 87 94 98 60 -191

97 97 97 97 97 97 96 94
Спектр уровней вибрации дизеля заносится в таблицу1

Для определения спектра Nа необходимо в строку 88 до средней частоты







2000 включительно, внести с клавиатуры значения уровней вибрации






из строки 79, обозначенной прямоугольником, а на других частотах из







строки 80, обозначенной треугольником до частоты 8000Гц.













Таблица 5.1
Частота,Гц 63 125 250 500 1000 2000 4000 8000
Nа, дБ 78 80 82 87 94 98 96 94









5.2.3. Выбор виброизолятора для дизеля
Уровни виброускорения опорных поверхностей дизеля сравниваются с предельными значениями [N], представленными в табл. 5.2. Предельные значения устанавливают уровни вибрации лап дизеля, при которых уровни структурного шума в ближайших к машинному отделению помещениях судна не будут превышать нормативного спектра шума для жилых помещений.







Таблица 5.2
Частота,Гц 63 125 250 500 1000 2000 4000 8000
[N], дБ 68 69 70 73 77 84 90 96
Nа, дБ 78 80 82 87 94 98 96 94









Тип виброизолятора выбирается таким образом, чтобы его акустическая эффективность (табл. 5.3) была бы не ниже величины W превышения уровней вибрации дизеля Nа над допустимым значением [N]. Несоблюдение этого условия допускается в одной октаве. При полной невозможности выполнения этого условия производят выбор наиболее эффективного для этого дизеля виброизолятора и указывают на необходимость применения дополнительных средств снижения структурного шума. К средствам снижения структурного шума относятся: усиленные двустенные конструкции ограждений ("плавающие"), вибропоглощающие покрытия, виброизолирующие крепления надстроек и др.
Расшифровка марок виброизоляторов и их нагрузка представлены в табл. 5.4.














Таблица 5.3
Акустическая эффективность виброизоляторов, дБ
Частота,Гц 63 125 250 500 1000 2000 4000 8000
АКСС-М 0 0 10 5 7 12 15 18
АКСС-И 18 15 12 17 20 23 24 25
РН 14 12 10 15 17 18 20 20
АПрС 23 20 15 20 23 25 25 25
W, дБ 10 11 12 14 17 14 6 -2







Таблица 5.4
Марка Расшифровка марки виброизолятора




Нагрузка, кг
АКСС-М - амортизатор корабельный со страховкой (резина жёсткая);




220 400
АКСС-И - амортизатор корабельный со страховкой (резина мягкая);




220 400
РН - амортизатор резиновый наклонный;




200 650
АПрС - амортизатор пружинный со страховкой.




200 400
Дизель-генераторы устанавливают на виброизоляторы АПрс или АКСС-И, а







главные двигатели - на РН или АКСС-И.







Выбирается виброизолятор:


марка АКСС-И нагрузка
400





жёсткость (табл. 5)

5200000
Рекомендуемое число опорных виброизоляторов





12
Принимаемое число опорных виброизоляторов





12









5.2.4. Проектирование системы виброизоляции
При проектировании системы виброизоляции необходимо обеспечить высокую







акустическую эффективность крепления и надёжность его работы.







Следует стремиться к тому, чтобы частота свободных колебаний виброизолированного двигателя была бы как можно ниже; не допускается совпадение частот свободных колебаний и возмущающих сил.
Частота свободных колебаний двигателя зависит от динамической жёсткости







виброизоляторов (табл. 5.5), их количества и массы механизма.














Таблица 5.5
Номинальная нагрузка на виброизоляторы и их динамическая жёсткость С







Марка АКСС-М АКСС-И РН АПрС
Нагрузка,кг 220 400 220 400 200 650 200 400
С, Па*м 9700000 10300000 3900000 5200000 3300000 10300000 140000 267000

Расчёт частот колебаний







Частота (Гц) возмущающих сил для дизеля:





первого порядка
17



второго порядка
50

Частота (Гц) возмущающих сил для гребного винта:




первого порядка
6



второго порядка; 4-х лопастные винты 12



третьего порядка

23
Частота свободных вертикальных колебаний дизеля





19









Частота свободных вертикальных колебаний дизеля не должна совпадать с частотами возмущающих сил, чтобы не вызвать опасных резонансов и усиления колебаний. При совпадении частот можно уменьшить количество виброизоляторов на 2, относительно рекомендуемого, или изменить систему виброизоляции, а затем повторить расчёт.
5.2.5. Подготовка данных для построения спектров вибрации
Частота,Гц 63 125 250 500 1000 2000 4000 8000
Nа, дБ 78 80 82 87 94 98 96 94
[N], дБ 68 69 70 73 77 84 90 96
АКСС-И 18 15 12 17 20 23 24 25
Nф, дБ 60 65 70 70 74 75 72 69
Примечание Nф - уровни вибрации на фундаменте после виброизоляторов.






В таблицу п. 5.2.5. (строка 171) копируется марка и эффективность выбранного виброизолятора из табл. 5.3 и автоматически строится точечный график на отдельном листе, где вносится марка дизеля.
Выводы:

Виброизоляция дизеля необходима



(необходимость виброизоляции дизеля, марка, нагрузка, количество виброизоляторов) Марка виброизоляторов - АКСС-И



Нагрузка - 400 кг



Количество - 12 шт.





4. Технологический раздел

4.1. Монтаж двигателей внутреннего сгорания

Современное судно насыщено многообразным и сложным механическим оборудованием, которое различается конструкцией, массой и габаритом, а также требованиями к точности монтажа и надёжности при эксплуатации.

Монтажные операции отличаются большим разнообразием, что обусловлено сложностью механического оборудования – главных двигателей, валопроводов, винторулевых комплексов, трубопроводов и т.д. Подготовку к монтажу механического оборудования осуществляют в цехе, основные операции выполняют на судне в стапельный период постройки и при достройке на плаву.

Монтаж оборудования, изготовление и установка трубопроводов, а также испытания судов имеют значительный удельный вес и в зависимости от типа судна составляют 15–35% трудоёмкости его постройки. Продолжительность цикла монтажных операций ещё большая и составляет 70–80% времени постройки судна. Это объясняется прежде всего сложностью энергетических установок современных судов. Кроме того, при монтаже пока преобладают ручные слесарные операции, которые трудно полностью механизировать.

Главные двигатели относятся к числу механизмов, монтаж которых наиболее сложен ввиду их больших массы и габарита, а также строгой связи с координатами судна.

Конструктивной особенностью двигателя является относительно большая длина и, как правило, малая жесткость остова. Наличие специфичной податливости детали – коленчатого вала, работающего с переменными динамическими нагрузками, вносит в монтаж ряд особых требований:

  • остов должен оставаться прямолинейным после установки двигателя на судне;

  • деформации коленчатого вала должны быть минимальными;

  • шейки вала должны плотно прилегать к рамовым подшипникам;

  • должна быть обеспечена соосность двигателя и валопровода;

  • нагрузка на кормовой подшипник двигателя после соединения его с валопроводом не должна превышать допускаемой величины.

Двигатели тронковые поступают на судно в сборе. Монтаж крейцкопфных крупно габаритных дизелей типа ДКРН, РД и других обычно выполняют отдельными блоками и узлами. Общей базой служат теоретическая ось валопровода, представленная плазовыми точками, и разметочные риски на судовом фундаменте, параллельные плоскости мидель-шпангоута. В базовую систему двигателя входят ось коленчатого вала и торцы или поперечные риски на остове, нанесенные по оси кормового цилиндра.

В процессе спуска судна, как правило, наблюдаются деформации двигателя и нарушение соосности с валопроводом. На стапеле обычно выполняют предварительный монтаж на половине всех клиньев с двойным ужесточением допусков по сравнению с требуемым. Окончательный монтаж и контроль отсутствия деформаций двигателя производят на плаву.

При монтаже широко применяют пластмассу ФМВ, сферические подкладки и амортизаторы. Сохранение стендовой сборки достигается применением динамометров для контроля распределения нагрузок от силы тяжести двигателя на его опорный фланец.

Двигатель грузят в блок или корпус судна, устанавливают на подготовленный фундамент и ориентируют относительно неподвижных координат общей базы. Базирование заключается в совмещении оси коленчатого вала двигателя с осью валопровода и кормовых торцов остова с рисками фундамента при одновременном придании остову прямолинейного положения.

Центровка двигателя оптическим методом производится с помощью визирной трубы по двум мишеням, которые материализуют плазовые точки теоретической оси валопровода. Вначале совмещают ось трубы с осью вала двигателя. После этого двигатель центруют по плазовым координатам, перемещая его отжимными приспособлениями.


4.2. Технологический процесс монтажа главного двигателя

Технологический процесс монтажа главного двигателя

опе-ра-ций

Наименование и содержание операции

Технологические требования

Оборудование, приспособления, инструмент

000

Подготовка фундамента

  1. Очистить фундаментные поверхности от ржавчины


Очистить опорные поверхности до металлического блеска


Пневматическая шлифовальная машина ШМ 25–50


  1. Проверить наличие разметочных рисок на фундаменте визуально

Установочные риски должны быть нанесены параллельно плоскости мидель-шпангоута

  1. Проверить установку фундамента относительно теоретической оси валопровода и кормовой поперечной переборки МО

Смещение оси фундамента к оси линии вала не более ±8 мм; отклонение расстояния от опорных поверхностей фундамента до оси линии вала по высоте не более +10 мм, –3 мм; допустимое отклонение расстояния фундамента от поперечной переборки ±10 мм Шергень, мишени, струна, шланговый уровень, рулетка

  1. Обработать платики

Шероховатость поверхности платика, прилегающей к полке фундамента Rа = 40 мкм

Вертикально-фрезерный станок

  1. Установить и приварить платики к опорной поверхности фундамента

Плоскость опорной поверхности: щуп толщиной 0,05 мм не должен проходить между проверяемой поверхностью и линейкой; разрешается местное прохождение щупа толщиной до 0,1 мм в 2-х местах Сварочный аппарат, струбцины, поверочная линейка, комплект щупов
005

Погрузка двигателя

  1. Установить на фундамент деревянные брусья



Брусья деревянные


  1. Снять оборудование, приборы, трубы, установленные в МО и мешающие погрузке

Отверстия на трубопроводах, оборудовании должны быть закрыты заглушками Технологические заглушки

  1. Установить погрузочное приспособление и погрузить двигатель в МО

Погрузку выполнять такелажниками под руководством мастера монтажного участка Погрузочное приспособление, кран, стропы, мерная рейка
010

Подготовка двигателя к базированию

  1. Установить на фланец коленчатого вала маховик (если он снимался) и вал-проставыш


Биение торцевое маховика или вала-проставыша не более 0,05 мм


Таль, ключи гаечные

опе-ра-ций

Наименование и содержание операции

Технологические требования

Оборудование, приспособления, инструмент


  1. Установить на фундамент отжимные приспособления, на двигатель – отжимные болты


Сварочный аппарат, отжимные приспособления, домкраты

  1. Установить на фланец вала-проставыша оптический прибор ППС-11


Кронштейн для прибора ППС-11, прибор ППС-11
015

Базирование двигателя

  1. Совместить поперечные риски фундаментной рамы двигателя и фундамента


Несовпадение рисок не более ±1 мм


Отжимные приспособления


  1. Установить двигатель строго горизонтально

Крен не должен превышать ±1 мм на 1 м ширины остова Отжимные болты, уровень шланговый

  1. Центровать предварительно двигатель по теоретической оси валопровода оптическим методом

Смещение осей не более 0,7 мм, излом не более 0,15 мм/м Мишени, отжимные приспособления, оптический прибор ППС-11

  1. Сверлить отверстия в фундаменте по лапам двигателя


Струбцины, машина сверлильная, сверло

  1. Проверить раскепы коленчатого вала двигателя

Раскеп устанавливается заводом-изготовителем двигателя Индикаторный прибор для измерения раскепов

  1. Временно закрепить двигатель на технологических болтах


Ключ гаечный
020 Монтаж валопровода

025

Центровка дизеля

  1. Снять технологические болты



Ключ гаечный


  1. Отцентрировать двигатель по оси смонтированного валопровода окончательно по изломам и смещениям осей

Смещение осей не более 0,10 мм, излом не более 0,15 мм/м Стрелы с индикаторами, отжимные приспособления
030 Крепление двигателя на фундаменте

опе-ра-ций

Наименование и содержание операции

Технологические требования

Оборудование, приспособления, инструмент


  1. Измерить расстояние между опорными поверхностями платиков фундамента и двигателем, подрезать сферические прокладки по месту


Нутромер индикаторный, станок токарный

  1. Установить сферические прокладки, прихватить прокладки между собой и платиком

Щуп толщиной 0,05 мм не должен проходить между прокладками, лапой двигателя и фундаментом на 0,66 периметра прокладки Сварочный аппарат, комплект щупов

  1. Сверлить отверстия в фундаменте по лапам двигателя


Струбцины, машина сверлильная, сверло

  1. Развернуть отверстия для призонных болтов

Отверстия с отклонениями Н6 (Н7) Струбцины, развёртка черновая, развёртка чистовая

  1. Подрезать полки фундамента и лапы двигателя

Шероховатость подрезанных поверхностей Rz 80, глубина подрезки не должна превышать 10% толщины лапы двигателя и полки фундамента Приспособления для подрезания, зенковки

  1. Установить и закрепить простые и призонные болты. Затяжку крепёжных болтов производить по правилу “крест-накрест”

Посадочные части призонных болтов обработать по фактическим диаметрам развёрнутых отверстий с допусками, обеспечивающими напряжённую посадку по (6) 7 квалитету. Щуп 0,05 мм не должен проходить под гайку и головки простых болтов Ключ гаечный, динамометрический ключ, комплект щупов

  1. Проверить раскепы коленчатого вала

Раскеп устанавливается заводом-изготовителем двигателя Индикаторный прибор для измерения раскепов

  1. Маркировать призонные болты и прокладки



035

Контрольная

  1. Проверить центровку двигателя с валопроводом после спуска судна на воду



Стрелы индикаторные


  1. Проверить раскепы кривошипов коленчатого вала

Раскеп устанавливается заводом изготовителем двигателя. Индикаторный прибор для измерения раскепов

4.3. Сборочные единицы крепления ДВС

4.3.1. Определение размеров прокладок при монтаже ДВС

Прокладки или клинья должны обеспечить надежное крепление и минимальную трудоемкость монтажа механизмов. Эти требования для одного и того же механизма могут быть удовлетворены при различных конструкциях и материалах прокладок. Окончательный выбор определяется технологичностью конструкции компенсирующего звена и техническими возможностями завода – строителя судна.

При выборе материала основное значение имеет неизменность механических характеристик и формы прокладок под нагрузкой при различных температурных условиях эксплуатации. Размеры прокладок выбирают, исходя из удельного давления от веса механизма и усилия затяжки фундаментных болтов. При расчете вначале задаются числом и площадью прокладок, а затем проверяют на удельное давление правильность выбора.

Удельное давление на прокладку от веса механизма:

МПа,

где Н – вес механизма;

– число прокладок;

мм2 – площадь прокладки.

Усилие затяжки фундаментных болтов:

Н,

где – напряжение от затяжки болта:

МПа,

где МПа – предел текучести материала болта, для стали 45;

– площадь поперечного сечения болта:

мм2,

где – внутренний диаметр резьбы болта.

Удельное давление на прокладку от усилия затяжки фундаментных болтов:

МПа.

Суммарное давление на прокладку:

МПа.

Суммарное удельное давление на прокладку не должно превышать допускаемого значения, выбираемого в зависимости от материала лап механизма и типа прокладок.

Допускаемое удельное давление на металлическую прокладку (остов механизма из чугуна):

МПа.

– условие выполняется.

4.3.2. Расчёт количества призонных болтов при монтаже ДВС

Крепление судовых механизмов на судовом фундаменте обычно состоит из простых болтов и призонных цилиндрических болтов.

Крупногабаритные дизели, рулевые машины и другие механизмы дополнительно имеют бортовые упоры, которые разгружают основное крепление от сдвигающих нагрузок.

Отверстия для призонных болтов должны быть изготовлены с отклонением Н6 (Н7) и иметь шероховатость не грубее 7-ого класса, т. е. мкм. После сверления отверстия дополнительно обрабатывают черновыми и чистовыми развертками. Призонные болты изготавливаются индивидуально для каждого отверстия. Стержень болта обрабатывается по фактическому диаметру отверстия после чистовой развертки с допускаемым отклонением, обеспечивающим плотную посадку и шероховатость не грубее мкм.

Усилие от динамических нагрузок, пропорциональное земным ускорениям (удары, сотрясения при аварийных ситуациях и т.д.):

кН,

где – коэффициент перегрузки, значение которого выбирается в зависимости от массы и частоты колебания оборудования;

т – масса двигателя;

м/с2 – ускорение свободного падения.

Усилие от упора гребного винта равно нулю, так как упор воспринимается упорным подшипником, расположенным в валопроводе: .

Усилие от веса механизма при крене судна:

кН,

где кН – вес механизма;

– угол крена судна.

Усилие от инерционных нагрузок при бортовой качке судна:

кН,

где сек, период качки судна;

м – расстояние по высоте от центра тяжести механизма до центра тяжести судна.

Усилие от момента, который возникает при работе механизма и стремится повернуть его вокруг центра крепления болтов:

,

где – нагрузка наиболее удаленного от центра крепления и нагруженного болта;

– число всех болтов.

Нагрузку рассчитывают по формуле:

,

где кНм – момент, действующий в плоскости крепления;

– расстояния от оси болта до центра крепления, м;

– количество болтов на соответствующих радиусах.

вычислим по теореме Пифагора:

,

где м и м – размеры расположения болтов (рис. 4.1).

м;

м;

м;

м.


Таким образом:

кН;

кН.

Геометрическая сумма всех векторов усилий, приведенных к центру крепления, определяет расчетное значение эксплуатационной нагрузки (рис 4.1):

кН,

где .

Для обеспечения неподвижности оборудования необходимо, чтобы эксплуатационные нагрузки, сдвигающие механизм в плоскости крепления, были в 2 раза меньше силы трения от затяжки фундаментных болтов и силы сопротивления призонных болтов срезу.

Сила трения от затяжки болтов :

кН,

где – коэффициент трения.

При определении сопротивления призонных болтов срезу считается, что они несут половину нагрузки болтового соединения:

кН,

где МПа – допускаемое напряжение на срез для стали 45;

– площадь сечения болта по стержню:

мм2,

где мм – диаметр стержня болта;

– число призонных болтов.

Таким образом условие неподвижности выполнено:

.

4.3.3. Установка призонных болтов

Посадку призонных болтов выполняют предварительным охлаждением или непосредственной запрессовкой. Первый способ более совершенен. В этом случае исключаются задиры и уменьшение натяга из-за среза и смятия микронеровностей, характерных для запрессовки болтов.

Температура охлаждения болта, обеспечивающая его свободную установку:

С,

где С – температура окружающей среды;

м – фактический натяг напряженной посадки;

м – зазор для установки болта;

1/С – коэффициент линейного сжатия материала болта;

м – диаметр болта при температуре окружающей среды.

В качестве охлаждающей среды целесообразно применять жидкий азот, имеющий температуру кипения С. Охлаждение производят в ваннах, в которые заливают азот из сосудов Дьюара.

Температуру охлаждения контролируют по времени охлаждения. Время охлаждения до °С составляет 5 сек, а до °С – 12 сек на 1 мм диаметра болта.

Момент затяжки фундаментных болтов:

Нм,

где Па – предел текучести материала;

м – внутренний диаметр резьбы болта.


Введение

В настоящее время на судах речного флота России эксплуатируется приблизительно 35 тысяч дизелей, из которых около 30 тысяч отечественного производства. В подавляющем большинстве это четырёхтактные дизели.

Общая мощность дизелей, установленных на судах составляет около 8 млн.кВт, и делится примерно поровну между отечественными и импортными двигателями, причём последние, обладая относительно более высокой мощностью, используются, в основном, в качестве главных.

Диапазон агрегатных мощностей от 11 до 1748 кВт покрывается 29 типоразмерами дизелей 96 модификаций, из которых нашли наибольшее распространение отечественные двигатели 6–12Ч(Н)18/22, 12ЧНСП18/20, 2–4Ч10,5/13, 6Ч(Н)12/14, 6ЧН24/36 и 6ЧНР36/45, а также импортные двигатели производства фирм SKL(Германия):6–8ЧНР32/48, 6–8ЧНР24/36, 6ЧН20/26, 6ЧН18/26, 4–6ЧН17,5/24, 2–4Ч12,5/18, 2Ч10/14; SKODA(Чехия): 6ЧНСП27,5/35, 6ЧНСП16/22,5, 1–6Ч11/15; WARTSILA(Финляндия): 12ЧН22/24; WOLA(Польша): 6–12ЧН13,5/15,5.

Таким образом, парк составляют дизели, имеющие диаметры цилиндров от 100 до 360 мм, ход поршня от 130 до 480 мм, частоту вращения коленчатого вала от 300 до 2000 об/мин, среднее эффективное давление от 0,53 до 1,74 МПа, средний эффективный расход топлива от 270 до 215 г/(кВтч), ресурс до капитального ремонта от 8 до 60 тысяч часов.

Одной из важнейших особенностей парка является преобладание в его составе двигателей, имеющих относительно невысокую агрегатную мощность и небольшие размеры цилиндро-поршневой группы. Это в значительной мере связано с необходимостью обеспечения перевозок грузов по рекам Севера, Сибири, Дальнего Востока с малыми гарантированными глубинами.

Уже в настоящее время двигатели повышенной оборотности (750-1500 об/мин) составляют более 20% от общего количества дизелей, а высокооборотные (>1500 об/мин) – 45%.

Для таких двигателей характерны повышенная жёсткость рабочего процесса, более высокие, чем у малогабаритных дизелей, температуры отработавших газов, что сопряжено со значительной механо-, тепло- и вибронагруженностью деталей остова.

Возникшие у дизелестроительных предприятий трудности в переходе к рыночной экономике заставляют судовладельцев рассматривать в качестве альтернативы другие типы современных дизелей, прежде всего тепловозные.

Несмотря на предпринятые в последние два десятилетия усилия, отечественное дизелестроение, в целом, отстаёт от современного уровня, прежде всего по экономичности, ресурсу, трудоёмкости технического обслуживания и степени автоматизации судовых дизелей. Все эти двигатели имеют среднее эффективное давление от 0,5 од 1 МПа, а в то время создаваемые за рубежом двигатели достигли этих показателей к началу 70-х годов, в 80-е годы были достигнуты значения до 2 МПа, а в настоящее время широко ведутся работы по созданию двигателей со значениями среднего эффективного давления до 3 МПа.

Такой уровень форсированности обеспечен с помощью высокого наддува, что увеличивает размеры теплообменных аппаратов и потери тепла, вызывает необходимость оптимизации охлаждения во всём диапазоне эксплуатационных нагрузок, совершенствование средств автоматики.

Отказ нашего государства от монополии на внешнюю торговлю, акционирование пароходств, использование на внутреннем рынке цен, близких к мировым, необходимость обеспечения конкурентоспособности на европейском фрахтовом рынке, несомненно, будет способствовать увеличению количества приобретаемых пароходствами высокофорсированных дизелей.


1. Модернизация судового дизеля

1.1. Выбор основных направлений модернизации

Современное развитие транспортного флота характеризуется созданием высокопроизводительных грузовых, буксирных и пассажирских судов; повышением их мощности и скорости хода; оборудованием высокоэффективными и экономичными механизмами, устройствами, системами, средствами автоматизации и механизации; стандартизацией и унификацией отдельных механизмов и судовых энергетических установок в целом.

С ростом грузоподъёмности и скорости хода судов увеличивается их энергооснащённость и мощность главных двигателей. В связи с этим судовые энергетические установки, затраты на которые составляют около 35% общей строительной стоимости судов, оказывают большое влияние на технико-эксплуатационные и экономические показатели флота. Большое значение в повышении эффективности работы речного транспорта имеет техническая эксплуатация флота; на неё приходится около 50% расходов, отнесённых на себестоимость перевозок грузов и пассажиров.

Судовая энергетическая установка состоит из комплекса оборудования (тепловых двигателей, механизмов, аппаратов, магистралей, систем), предназначенного для преобразования энергии топлива в механическую, электрическую и тепловую энергию и транспортировки её к потребителям. Указанные виды энергии обеспечивают: движение судна с заданной скоростью; безопасность и надёжность плавания; работу механизмов машинного помещения, палубных механизмов и устройств; электрическое освещение; действие средств судовождения, управления механизмами, сигнализации и автоматики; общесудовые и бытовые нужды экипажа и пассажиров; выполнение различных производственных операций на транспортных судах, судах технического флота и специального назначения.

Судовая энергетическая установка должна удовлетворять следующим основным технико-экономическим и эксплуатационным требованиям:

  • быть экономичной, т. е. строительная стоимость и эксплуатационные затраты на неё должны быть оптимальными;

  • ГСЭУ должна обеспечивать заданную скорость хода судна, обладать достаточными маневренными качествами на всех режимах его движения и иметь высокий моторесурс;

  • снабжать потребителей различными видами энергии и холодом при высокой экономичности процессов превращения тепловой энергии в механическую и электрическую;

  • процессы управления и регулирования должны быть автоматизированы;

  • быть надёжной, т. е. иметь оптимальную вероятность безотказной работы, требовать минимальное время на устранение неисправностей и сохранять работоспособность в аварийных ситуациях;

  • при работе не оказывать вредного воздействия на обслуживающий персонал, пассажиров и не загрязнять окружающую среду;

  • иметь малые габариты и массу.

В качестве главных и вспомогательных двигателей в ДЭУ применяются поршневые ДВС – дизели, работающие по отрытому циклу.

Дизельные энергетические установки получили широкое распространение на судах различного назначения вследствие ряда положительных особенностей:

  • возможности создания большого диапазона агрегатных мощностей на базе стандартных типоразмеров цилиндров;

  • доступности использования различных типов передач;

  • сравнительно высокой экономичности;

  • относительной простоты автоматизации управления.

На речных транспортных судах новой постройки в качестве главных и вспомогательных двигателей устанавливают исключительно дизели.

На речном флоте в большинстве случаев в качестве главных применяют четырёхтактные дизели с наддувом, реверсивные среднеоборотные и нереверсивные повышенной оборотности.

В качестве вспомогательных обычно устанавливаются четырёхтактные дизели без наддува повышенной оборотности.

Широкому распространению дизелей в СЭУ способствует непрерывное улучшение их технико-экономических показателей путём совершенствования наддува и рабочего процесса, применения тяжёлых сортов топлива, использования двухконтурной системы охлаждения, повышения надёжности и моторесурса, автоматизации процессов управления, контроля и диагностирования.

Дальнейшее повышение экономичности судовых дизелей в основном должно происходить за счёт утилизации теплоты выпускных газов и охлаждающей дизель воды. Теплота, получаемая в утилизационном котле, работающем на выпускных газах, и охлаждающей дизель воды может быть использована в системе теплоснабжения судна или для получения искусственного холода. На теплоходах с большими агрегатными мощностями, работающих длительное время на постоянном режиме и потребляющих большое количество электроэнергии, пар, получаемый в утилизационных котлах, можно использовать в паровой турбине турбоэлектрогенератора.

Повышение экономичности ДЭУ тесно связано с увеличением уровня их надёжности и ресурса. Поэтому на перспективу предусматривается увеличение ресурса дизелей, приближение сроков службы дизеля к срокам службы судна, резкое увеличение сроков службы до первой переборки, сроков необслуживаемой работы, что позволит значительно снизить затраты на техническое обслуживание и ремонт.

Эффективное использование ДЭУ, надёжная их эксплуатация и высокая производительность труда обслуживающего персонала обеспечиваются комплексной автоматизацией установки. Автоматизированные ДЭУ с безвахтенным обслуживаем получили широкое распространение на судах речного флота.

В настоящем дипломном проекте рассматривается возможность модернизации главной энергетической установки танкера грузоподъёмностью 810 тонн проекта 14891. Это однопалубный двухвинтовой наливной теплоход с грузовой цистерной в виде горизонтального цилиндра, с кормовым расположением надстройки, МО и НО, с амортизированной жилой частью надстройки. Танкер предназначен для перевозки нефтепродуктов не требующих подогрева, с температурой вспышки паров ниже 60С, в том числе масла, с обеспечением одновременной перевозки двух сортов нефтепродуктов.

Предлагается замена двух старых дизелей 6ЧНСП18/22 мощностью по 220 кВт на спроектированный дизель 6ЧНСП18/22 мощностью 440 кВт. Предлагаемый дизель имеет высокий наддув и, как следствие, высокое среднее эффективное давление, пониженные значения удельного расхода топлива и масла. Применение в новом дизеле более прочных конструкционных материалов позволяют повысить срок службы дизеля на 50%.


1.2. Тепловой расчёт цикла модернизируемого дизеля

В качестве топлива для рассчитываемого двигателя принимаем дизельное топливо следующего элементарного состава:

  • углерода C – 86%;

  • водорода H – 13%;

  • кислорода O – 1%.

Низшая теплотворная способность топлива принимается равной:

ккал/кг кДж/кг.

Теоретическое количество воздуха, необходимое для сгорания 1 кг топлива принятого состава, определяется по формуле:

моль/кг.

Коэффициент избытка воздуха при горении для двигателя с неразделенной камерой сгорания принимается равным .

Действительное количество воздуха в цилиндре на 1 кг топлива:

моль/кг.

Количество продуктов сгорания 1 кг топлива:

моль/кг.

Теоретический коэффициент молекулярного изменения:

.

Для более правильного выбора средней скорости поршня, величину которой необходимо знать для дальнейшего расчета цикла, производим предварительное определение основных размеров двигателя.

Диаметр цилиндра определяется по формуле:

м,

где л.с. – номинальная эффективная мощность двигателя;

кгс/см2 МПа – среднее эффективное давление;

об/мин – номинальная частота вращения коленчатого вала;

– коэффициент, учитывающий тактность двигателя;

– число цилиндров;

.

Ход поршня будет равен:

м.

Средняя скорость поршня:

м/сек.

Для дальнейших расчётов принимаю:

  • давление и температура наружного воздуха – кгс/см2 МПа; К;

  • среднее значение показателя политропы сжатия – ;

  • среднее значение показателя политропы расширения – ;

  • отношение площади сечения цилиндра к площади проходного сечения впускного клапана – ;

  • cтепень сжатия – ;

  • давление воздуха после нагнетателя – кгс/см2 МПа.

Средняя скорость протекания воздуха в проходном сечении впускного клапана равна:

м/сек.

Температуру наддувочного воздуха определяют по формуле:

К,

где – адиабатный КПД компрессора.

Для снижения температуры наддувочного воздуха устанавливаем холодильник. Принимаем:

К.

Давление в начале сжатия при работе двигателя с наддувом, определяется по формуле:

кгс/см2 МПа,

где – коэффициент, учитывающий вредные сопротивления во впускном тракте.

Температура воздуха в начале сжатия:

К,

где К – величина подогрева воздуха от стенок рабочего цилиндра;

К – температура остаточных газов;

– коэффициент остаточных газов.

Давление и температура в конце сжатия определяются по формулам:

кгс/см2 МПа;

K.

Коэффициент наполнения цилиндра определяется по формуле:

.

Эффективный КПД двигателя определяется по формуле:

.

Удельный эффективный расход топлива равен:

кг/(э.л.с.ч) кг/(кВтч).

Действительный коэффициент молекулярного изменения будет равен:

.

Количество молей смеси свежего заряда воздуха с остаточными газами до горения равно:

моль/кг.

Количество молей продуктов сгорания 1кг топлива:

  • водяных паров:

моль/кг;

  • углекислого газа:

моль/кг;

  • кислорода:

моль/кг;

  • азота:

моль/кг.

Их сумма:

моль/кг.

Средняя мольная изохорная теплоёмкость воздуха в интервале температур от 0 до будет равна:

ккал/мольград кДж/(мольград).

Средняя мольная изобарная теплоёмкость смеси продуктов сгорания 1кг топлива определяется по формуле:

,

где моль.

Температура в конце сгорания определяется из уравнения:

.

В целях упрощения расчета для двигателей с небольшим коэффициентом остаточных газов можно принять, что теплоёмкость остаточных газов, обозначенная в уравнении сгорания , равна теплоёмкости воздуха, и приняв , уравнение сгорания примет упрощённый вид:

.

Степень повышения давления при сгорании , входящая в уравнение сгорания, определяется в зависимости от принимаемой величины максимального давления цикла .

Принимаем:

кг/см2 МПа.

Тогда:

.

Также принимаю:

ккал/кг кДж/кг;

.

Таким образом, получается квадратное уравнение относительно :

К.

Степень предварительного расширения:

.

Температура и давление в конце расширения определяются с учётом по формулам:

K;

кгс/см2 МПа.

Среднее индикаторное давление расчётного цикла определяю по формуле:

кгс/см2 МПа.

Учитывая неполноту индикаторной диаграммы, среднее индикаторное давление будет равно:

кгс/см2 МПа,

где – коэффициент полноты диаграммы.

Принимаем механический КПД дизеля:

.

Определяем среднее эффективное давление:

кгс/см2 МПа.

Удельный индикаторный расход топлива определяется по формуле:

кг/(и.л.с.ч) кг/(кВтч).

Удельный эффективный расход топлива:

кг/(э.л.с.ч) кг/(кВтч).

Соответственно индикаторный и эффективный КПД будут равны:

;

,

где 632 – тепловой эквивалент работы 1 л.с. в течение часа.

Окончательное значение диаметра цилиндра двигателя определяется по формуле:

м.

Окончательно принимаем:

мм.

Тогда длина хода поршня:

м мм.

Следовательно:

.

Среднее значение тепловой нагрузки цилиндра можно определить по формуле:

ккал/(м2ч) кВт/м2.

где – коэффициент, показывающий, какая часть выделенного в цилиндре тепла передаётся охлаждающей жидкости.

При газотурбинном наддуве двигателя, когда турбонаддувочный агрегат кинематически не связан с валом двигателя, мощность газовой турбины, работающей на отработавших газах двигателя, равна мощности наддувочного компрессора.

Расход воздуха двигателем:

кг/сек,

где – коэффициент избытка продувочного воздуха.

Работа адиабатного сжатия 1 кг воздуха в наддувочном компрессоре от давления до давления :

кгсм/кг кДж/кг,

где – показатель адиабатного сжатия в компрессоре.

Действительная работа сжатия в наддувочном компрессоре:

кгсм/кг кДж/кг,

где – КПД компрессора.

Окружная скорость на наружном диаметре рабочего колеса:

м/с.

Наружный диаметр рабочего колеса компрессора:

м.

Частота вращения ротора турбокомпрессора:

об/мин.

Мощность, затрачиваемая на приведение в действие наддувочного компрессора:

л.с. кВт.

Расход газов через турбину:

кг/сек.

Работа адиабатного расширения 1 кг газов от давления перед турбиной до давления за турбиной равна:

ккал/кг кДж/кг,

где ккал/(кгград) кДж/(кгград) – средняя весовая теплоемкость газов;

кгс/см2 МПа – давление газов перед турбиной;

кгс/см2 МПа – давление газов за турбиной;

– показатель адиабатного расширения газов в турбине;

– температура смеси газов в выпускном коллекторе, которая определяется по формуле:

К,

где ккал/(кгград) кДж/(кгград) – средняя мольная теплоёмкость воздуха при температуре К;

ккал/(кгград) кДж/(кгград) – средняя мольная теплоёмкость продуктов сгорания при температуре газов в выпускном коллекторе:

К;

– средняя мольная теплоёмкость смеси газов с воздухом:

ккал/(кгград) кДж/(кгград).

Мощность газовой турбины:

л.с. кВт,

где – эффективный КПД газовой турбины.

Таким образом:

кВт.


1.4. Расчёт на прочность основных деталей модернизируемого ййййдизеля

1.4.1. Расчёт на прочность коленчатого вала

Коленчатый вал – одна из наиболее ответственных деталей двигателя. Сложность конструкции и изготовления обуславливает высокую его стоимость. Коленчатый вал подвергается значительным изгибающим и скручивающим усилиям переменного значения, поэтому для его изготовления применяют наиболее качественный металл. Оценку металла производят по показателям динамической прочности: ударной вязкости, предела усталости и относительного удлинения.

Коленчатые валы малых размеров быстроходных дизелей и валы с высокими удельными давлениями на шейки изготовляют из легированных сталей. Присадка хрома повышает твёрдость стали, предел прочности и износоустойчивость, но способствует образованию волосовин и трещин. Присадка никеля и молибдена измельчает структуру стали, вследствие чего повышается её вязкость и удлинение. Применение современных методов закалки позволяет повысить твёрдость шеек коленчатого вала и тем самым увеличить моторесурс двигателя.

Конструкция коленчатого вала и способ его изготовления обуславливаются значением радиуса мотыля и числом колен, т.е. числом цилиндров двигателя. Каждое колено состоит из мотылевой шейки, двух щёк и двух рамовых шеек. Коленчатые валы быстроходных двигателей малой и средней мощности изготовляют цельноковаными или цельноштампованными. Валы двигателей средней и большой мощности выполняют составными из двух и более частей, соединённых фланцами, при большом диаметре шейки валы изготовляют с составными мотылями. В последнем случае шейки и щёки вала отковывают отдельно и соединяют в одно целое при помощи горячей прессовой посадки.

Предварительно принимаем основные размеры коленчатого вала:

внешний диаметр шеек коленчатого вала – мм;

длина мотылевых шеек – мм;

длина рамовых шеек – мм;

расстояние между осями цилиндров – мм;

расстояние между внутренними кромками рамовых подшипников – мм;

толщина щеки – мм;

ширина щеки – мм.

Размеры коленчатого вала должны удовлетворять требованиям Регистра. Диаметр шеек стального коленчатого вала судовых дизелей должен быть не меньше определённого по формуле:

см,

где D – диаметр цилиндра в сантиметрах;

S – ход поршня в сантиметрах;

t – амплитуда удельных тангенциальных сил одного цилиндра:

кгс/см2 МПа;

– коэффициент, принимаемый в зависимости от тактности и количества цилиндров;

– коэффициент, определяемый в зависимости от диаметра сверления шейки;

L – расстояние между серединами рамовых шеек в сантиметрах;

– допускаемая амплитуда напряжений:

кгс/см2 МПа,

где – предел усталости материала вала при кручении:

кгс/см2 МПа,

где кгс/см2 МПа – предел прочности для стали 40ХН.

Ширина щеки по требованиям Регистра должна быть не меньше определяемой по формуле:

см,

где С – расстояние от середины рамового подшипника до средней плоскости щеки в сантиметрах;

– коэффициент, учитывающий концентрацию напряжений в галтели между мотылевой шейкой и щекой и усиление щеки перекрытием мотылевой и рамовой шеек;

– допускаемая амплитуда напряжений:

кгс/см2 МПа.

Величина нагрузки на шейку коленчатого вала определяет условия работы подшипников и срок их службы. Очень важно, чтобы при работе подшипников не происходило выдавливания масляного слоя, разрушения антифрикционного слоя подшипника и ускоренного износа шеек.

Наибольшее удельное давление на 1 см2 проекции мотылевой шейки, по данным практики, должно быть не более:

кгс/см2 МПа МПа,

где кгс кН.

Наибольшее удельное давление на 1 см2 проекции рамовой шейки должно быть не более:

кгс/см2 МПа МПа.

При выполнении проверочного расчёта на прочность коленчатый вал обычно рассматривают как разрезную балку. Расчёт производят только одного наиболее нагруженного колена. Расчёт коленчатого вала как многоопорной балки не может быть достаточно точным, так как фундаментная рама не является абсолютно жёсткой и её деформации значительно влияют на величину моментов, изгибающих вал. Расчёт одного колена вала также является неточным, но расчётные напряжения при этом получаются несколько выше действительных.

Расчёт производят при двух опасных положениях вала – когда мотыль находиться в верхней мертвой точке и когда он повернут на угол , при котором касательное усилие достигает наибольшей величины. Для определения наиболее нагруженного колена вала пользуются диаграммой касательных сил от одного цилиндра. Суммирование ординат кривой касательных сил для различных цилиндров при одних и тех же абсциссах позволяет определить наиболее нагруженное колено. При суммировании касательных усилий отдельных цилиндров кривые касательных сил сдвигаются на угол , где – угол между мотылями (вспышками) и величина k зависит от порядка работы цилиндров.

При порядке работы 1-5-3-6-2-4 кривая касательных сил пятого цилиндра должна быть сдвинута на 120 по отношению к кривой для первого цилиндра, и соответственно кривые для третьего, шестого, второго и четвёртого цилиндров должны быть сдвинуты на углы , , и. Результаты суммирования сведены в табл. 1.5.

Максимальное значение радиальной силы определятся как отрезок прямой линии, заключённый между кривой давления газа и кривой сил инерции при 360. Необходимо определить мотыль, который при максимальном значении радиальной силы передаёт наибольший вращающий момент от прочих цилиндров. Для этой цели ординаты диаграммы касательных сил суммируют от 0 через каждые 120. Результаты сведены в табл. 1.6.

Таблица 1.5

№ мо-тылей Углы поворота вала Порядок вспышек

23

143

263

383

503

623

1

– 0,345

– 0,188

– 0,417

0,225

– 0,176

– 0,425

8,481

4,625

– 1,019

0,550

– 0,093

– 0,238

1
2

– 0,176

– 0,425

– 0,613

8,481

4,625

4,850

– 1,019

0,550

0,125

– 0,093

– 0,238

4,387

– 0,345

– 0,188

0,362

– 0,417

0,225

– 0,013

5
3

– 1,019

0,550

– 0,063

– 0,093

– 0,238

4,612

– 0,345

– 0,188

– 0,063

– 0,417

0,225

4,612

– 0,176

– 0,425

– 0,063

8,481

4,625

4,612

3
4

– 0,417

0,225

0,162

– 0,176

– 0,425

4,187

8,481

4,625

4,562

– 1,019

0,550

5,162

– 0,093

– 0,238

– 0,301

– 0,345

– 0,188

4,424

6
5

– 0,093

– 0,238

– 0,076

– 0,345

– 0,188

3,999

– 0,417

0,225

4,787

– 0,176

– 0,425

4,737

8,481

4,625

4,324

– 1,019

0,550

4,974

2
6

8,481

4,625

4,549

– 1,019

0,550

4,549

– 0,093

– 0,238

4,549

– 0,345

– 0,188

4,549

– 0,417

0,225

4,549

– 0,176

– 0,425

4,549

4

Таблица 1.6

№ мо-тылей Углы поворота вала Порядок вспышек

0

120

240

360

480

600

1

0

–––

0,321

–––

– 0,347

–––

0

10,285

0,906

–––

– 0,314

–––

1
2

– 0,347

–––

–––

0

0,321

10,285

0,906

–––

–––

– 0,314

–––

–––

0

–––

–––

0,321

–––

–––

5
3

0,906

–––

–––

– 0,314

–––

–––

0

–––

–––

0,321

–––

–––

– 0,347

–––

–––

0

0,07

109,5

3
4

0,321

–––

–––

– 0,347

–––

–––

0

0,559

10,285

0,906

–––

–––

– 0,314

–––

–––

0

–––

–––

6
5

– 0,314

–––

–––

0

–––

–––

0,321

–––

–––

– 0,347

–––

–––

0

0,245

10,285

0,906

–––

–––

2
6

0

0,566

10,285

0,906

–––

–––

– 0,314

–––

–––

0

–––

–––

0,321

–––

–––

– 0,347

–––

–––

4

Таким образом, на основании данных таблиц можно сделать вывод, что наиболее нагруженным является второе колено вала. При положении этого колена в верхней мёртвой точке кгс кН и кгс кН, а при наибольшей суммарной касательной силе 23 за верхней мёртвой точкой кгс кН, кгс кН и кгс кН.

Первое опасное положение

Расчёт наиболее нагруженного колена следует начинать при положении его в верхней мёртвой точке (рис. 1.7). При этом обычно силу инерции не учитывают и радиальную силу приравнивают силе .

Шейка мотыля изгибается моментом:

кгссм Нм.

Напряжения изгиба:

кгс/см2 МПа,

где см3 – момент сопротивления для сплошной шейки.

Момент, скручивающий мотылевую шейку суммарной касательной силой от расположенных впереди цилиндров:

кгссм Нм.

Напряжения кручения:

кгс/см2 МПа.

Сложное напряжение в шейке:

кгс/см2 МПа МПа.

Шейка рамового подшипника изгибается моментом:

кгссм Нм.

Напряжения изгиба:

кгс/см2 МПа,

где .

Шейка рамового подшипника скручивается моментом:

кгссм Нм.

Напряжения кручения:

кгс/см2 МПа.

Сложное напряжение в рамовой шейке:

кгс/см2 МПа МПа.

Щека мотыля изгибается моментом:

кгссм Нм.

Напряжения изгиба на широкой стороне щеки:

кгс/см2 МПа;

Напряжения изгиба на узкой стороне щеки:

кгс/см2 МПа,

где см3;

см3.

Напряжения сжатия:

кгс/см2 МПа.

Суммарные напряжения:

кгс/см2 МПа МПа.

Второе опасное положение

Схема сил, действующих на мотыль, когда касательная сила достигает наибольшего значения, показана на рис. 1.8. Определение наибольшей касательной силы и соответствующей ей радиальной было дано выше.

Шейка мотыля изгибается моментами:

кгссм Нм;

кгссм Нм.

Напряжения изгиба:

кгс/см2 МПа;

кгс/см2 МПа.

Шейка мотыля скручивается моментами:

кгссм Нм;

кгссм Нм.

Напряжения кручения:

кгс/см2 МПа;

кгс/см2 МПа.

Суммарные напряжения кручения:

кгс/см2 МПа.

Равнодействующее напряжение изгиба:

кгс/см2 МПа.

Сложное напряжение в мотылевой шейке:

кгс/см2 МПа МПа.

Щека мотыля, ближняя к маховику, изгибается моментами:

кгссм Нм;

кгссм Нм.

Напряжения изгиба на широкой стороне щеки:

кгс/см2 МПа.

Напряжения изгиба на узкой стороне щеки:

кгс/см2 МПа.

Напряжения сжатия:

кгс/см2 МПа.

Суммарные напряжения:

кгс/см2 МПа МПа.

Щека, кроме того, ещё скручивается моментом:

кгссм Нм.

Напряжения кручения на середине широкой стороны щеки:

кгс/см2 МПа,

где см3.

Напряжения кручения на середине узкой стороны щеки:

кгс/см2 МПа,

где см3.

Сложное напряжение на середине широкой стороны щеки:

кгс/см2 МПа МПа.

Сложное напряжение на середине узкой стороны щеки:

кгс/см2 МПа МПа.

Рамовая шейка изгибается моментами:

кгссм Нм;

кгссм Нм.

Равнодействующий изгибающий момент:

кгссм Нм.

Напряжения изгиба:

кгс/см2 МПа.

Рамовая шейка скручивается моментом:

кгссм Нм.

Напряжения кручения:

кгс/см2 МПа.

Сложное напряжение в рамовой шейке:

кгс/см2 МПа МПа.

Если маховик крепиться к фланцу коленчатого вала, то соединительные болты проверяют на срез:

,

где – радиус мотыля

– число болтов;

– диаметр болтов;

– расстояние от центра вала до оси болтов;

кгс/см2 МПа – допускаемое напряжение на срез болтов;

– максимальный скручивающий момент:

,

где – наибольшая ордината суммарной диаграммы касательных сил, разделённая на масштаб по оси ординат.

Принимаю:

см; ; см; кгс/см2 МПа.

Таким образом:

кгс кН;

кгс/см2 МПа МПа.


1.4.2. Расчёт на прочность поршня, поршневого пальца и поршневых колец

1.4.2.1. Расчёт поршня

Поршень двигателя внутреннего сгорания воспринимает давление газов, развивающееся в цилиндре, в результате чего его донышко непосредственно соприкасается с сильно нагретыми продуктами сгорания топлива. Поэтому металл, используемый для изготовления поршня, должен обладать высокими механическими свойствами при повышенных температурах, теплопроводностью, должен быть износоустойчивым и хорошо заполнять литейную форму. Металл, предназначенный для изготовления поршня быстроходных двигателей, в целях уменьшения силы инерции, возникающей при его движении, кроме того, должен иметь малый удельный вес.

Поршни быстроходных дизелей изготовляют из лёгких сплавов на алюминиевой основе с высоким содержанием кремния и пониженным коэффициентом линейного расширения. Поршни из этих сплавов подвергают закалке в воде при 500–550С и отпуску при 100–200С на воздухе. Сплавы на алюминиевой основе имеют малый удельный вес и обладают высокой теплопроводностью. Поршни, изготовленные из этих сплавов, имеют малый вес и при работе двигателя низкую температуру донышка поршня.

Для предотвращения ускоренного износа рабочей поверхности поршни, изготовляемые из лёгких сплавов, после механической обработки подвергают анодизации. Анодизацию производят в электролитической ванне, наполненной 3%-ным раствором хромового ангидрида. Образующаяся после анодизации прочная гладкая плёнка предохраняет поверхность поршня от возникновения твёрдых кристаллов окиси, способствующих усиленному износу поршня и поверхности рабочей втулки цилиндра. Для ускорения приработки поверхность поршней гальваническим способом покрывают слоем олова толщиной около 0,02 мм.

Предварительно принимаем основные размеры (рис. 1.9):

диаметр поршня – мм;

толщина донышка – мм;

расстояние до первого поршневого кольца – мм;

диаметр под поршневой палец – мм;

рабочая длина гнезда пальца – мм.

Наименьшее сечение головки поршня проверяют на сжатие силой :

кгс/см2 МПа МПа,

где см2 – площадь наименьшего сечения головки поршня.

Давление газов вызывает напряжения изгиба в донышке поршня. Рассматривая донышко как круглую плиту, опертую по окружности диаметра , изгибающий момент относительно сечения I–I:

кгссм Нм.

Напряжения изгиба:

кгс/см2 МПа МПа,

где W – момент сопротивления плоского донышка:

см3.

Длину направляющей части поршня проверяют по наибольшему допустимому удельному давлению на стенки цилиндра:

кгс/см2 МПа МПа,

где кгс кН – наибольшее нормальное усилие, действующее на стенку цилиндра.

Допустимое значение k зависит от материала поршня и интенсивности теплоотвода от его стенок.

Поверхность опорных гнёзд пальца поршня проверяют на наибольшее допустимое удельное давление:

кгс/см2 МПа МПа.

Допустимая величина зависит от способа закрепления поршневого пальца.

1.4.2.2. Расчёт поршневого пальца

Для сочленения поршня с шатуном в направляющей части поршня размещается поршневой палец. В практике получили применение два способа установки поршневого пальца в бобышках направляющей части поршня:

  • палец закрепляется в бобышках поршня жестко, а шатун имеет угловое перемещение относительно оси пальца;

  • палец в бобышках поршня не закрепляется, поэтому во время работы двигателя он поворачивается вокруг своей оси, и шатун имеет угловое перемещение относительно оси пальца.

Конструкция такого соединения называется “плавающим пальцем”. К преимуществам “плавающего пальца” относятся:

  • скорость движения поверхности вкладыша головного подшипника шатуна относительно поверхности пальца меньше по сравнению со скоростью при закрепленном пальце;

  • износ пальца и вкладыша головного подшипника меньше и происходит более равномерно;

  • более равномерное распределение напряжений в пальце, вследствие чего улучшаются условия работы пальца на усталость.

Поршневой палец работает в сравнительно тяжелых условиях: ударный характер нагрузки; большие удельные давления на поверхность пальца; воспринимает тепло от сильно нагретого донышка поршня; подвод масла на поверхность пальца затруднен. Поэтому материал пальца должен обладать вязкостью, высокой прочностью и твердой поверхностью.

Пальцы изготавливают путем поковки или штамповки. Пальцы быстроходных двигателей изготавливают из легированной стали. Для получения необходимой твердости поверхность пальца цементируют и закаливают с глубиной цементованного слоя в зависимости от диаметра пальца 0,5 – 2 мм.

Предварительно принимаем основные размеры (рис. 1.10):

диаметр поршневого пальца – мм;

длина вкладыша головного подшипника – мм;

внутренний диаметр поршневого пальца – мм;

длина поршневого пальца – мм.

Рассматривая палец как балку со свободно опертыми концами, с равномерно распределённой нагрузкой на длине вкладыша головного подшипника, изгибающий момент относительно опасного сечения I–I будет равен:

кгссм Нм,

где см – расстояние между серединами опор пальца.

Напряжения изгиба будут равны:

кгс/см2 МПа МПа,

где W – момент сопротивления для полого пальца:

см3.

Срезывающие напряжения пальца в сечении II–II определяют из уравнения:

кгс/см2 МПа МПа,

где F – поперечное сечение пальца:

см2.

При работе двигателя происходит деформация сечения пальца (овализация), которая при больших значениях может нарушать нормальную работу сочленения поршень-шатун.

Линейное увеличение диаметра пальца определяют из выражения:

,

где кгс/см2 – модуль упругости для стали;

.

мм.

Относительная деформация пальца:

мм/см мм/см.

Напряжения, вызванные овализацией, на внешней и внутренней поверхности поршневого пальца равны:

в горизонтальном сечении пальца на внешней его поверхности:

кгс/см2 МПа;

на внутренней поверхности:

кгс/см2 МПа;

в вертикальном сечении пальца на внешней его поверхности:

кгс/см2 МПа;

на внутренней поверхности:

кгс/см2 МПа,

где .

Удельное давление в головном подшипнике определяют из уравнения:

кгс/см2 МПа МПа.

1.4.2.3. Расчёт поршневого кольца

Поршневое кольцо обеспечивает уплотнение цилиндра от прорыва газов и передачу тепла от головки поршня к стенкам рабочей втулки цилиндра. Эти функции обычно выполняют два-три верхние кольца, остальные повышают надежность их работы.

Верхние кольца находятся в наиболее тяжелых условиях, так как они сильно нагреваются и совершают большую работу трения. Работа трения поршневых колец составляет около 60% всех механических потерь двигателя. Удельная работа поршневых колец, т. е. работа трения, отнесенная к единице поверхности трущихся деталей, значительно больше, чем удельная работа трения рабочей втулки цилиндра. Таким образом, при прочих равных условиях линейный износ поршневых колец будет больше износа рабочей втулки цилиндра. Срок службы поршневого кольца может быть увеличен правильным подбором твердости металла пары поршневое кольцо – рабочая втулка цилиндра.

Лучшим материалом для изготовления поршневых колец является чугун, так как он обладает хорошими антифрикционными качествами благодаря наличию в структуре свободного графита и удовлетворительной жаростойкостью при температуре 300 – 400C.

Поршневые кольца изготавливают из чугуна марки СЧ24-44 с содержанием фосфора до 0,7% и с мелкокристаллической структурой. Твердость поршневых колец для повышения срока их службы должна быть на 20 – 30 единиц по Бринелю больше твердости рабочей втулки цилиндра. Опытные данные показывают, что покрытие рабочей поверхности поршневого кольца пористым хромом увеличивает срок его службы и уменьшает износ рабочей втулки цилиндра.

На срок службы поршневого кольца также влияют его размеры и размеры ручья (канавки в поршне для размещения кольца). Удельное давление кольца на стенки цилиндра определяется давлением газов на внутреннюю поверхность кольца.

Стопорить поршневое кольцо от углового перемещения не следует, так как это способствует его пригоранию. В тихоходных двигателях число поршневых колец достигает 5-7, в быстроходных же, благодаря уменьшению времени перетекания газа через неплотности колец, их сокращают до 3-5.

Для предотвращения попадания масла в камеру сгорания и снятия его излишка со стенок цилиндра на поршне устанавливают маслосъемные кольца. Обычно их размещают внизу головки или внизу юбки поршня. К особенностям маслосъемных колец в отличие от уплотнительных относятся:

  • малая трущаяся поверхность кольца и, следовательно, высокое удельное давление его на стенки цилиндра, что позволяет кольцу соскабливать масло со стенок при движении поршня вниз;

  • малый осевой зазор (0,02 – 0,08 мм) между кольцом и ручьем;

  • наличие в стенках поршня под маслосъемным кольцом или за ним полостей, в которых собирается снимаемое масло, и каналов для его отвода.

Расположение поршневых колец определяет высоту головки поршня. Чем ближе верхнее кольцо к донышку поршня, тем меньше будет высота его головки, но зато условия работы кольца будут более тяжелые. Чем ближе кольцо к донышку поршня, тем выше его температура, а ,следовательно, тем больше будет склонность к загоранию. Кольцо загорает вследствие того, что масло, находящееся в осевом зазоре между ним и торцевой стенкой ручья, при высокой температуре образует нагар, препятствующий упругим перемещениям кольца. Кольцо перестает выполнять свои функции. Чтобы избежать этого, верхнее поршневое кольцо при верхнем крайнем положении поршня не должно быть выше края рабочей втулки цилиндра, омываемого водой. При нижнем крайнем положении поршня нижнее маслосъемное кольцо должно, примерно до половины своей ширины, выходить за кромку рабочей втулки цилиндра. При несоблюдении этого требования в нижней части поверхности рабочей втулки цилиндра вследствие ее износа образуется уступ.

Принимаем основные размеры кольца (рис. 1.11):

диаметр кольца – мм;

ширина кольца – мм;

высота кольца – мм;

вырез кольца – мм;

температурный зазор – мм.

Рассматривая поршневое кольцо как балку, защемлённую одним концом, учитывая, что в рабочем состоянии оно имеет пролёт и при надевании на поршень , находим:

кгс/см2 МПа МПа;

кгс/см2 МПа МПа,

где см;

см;

кгс/см2 – модуль упругости чугуна, из которого изготовлено кольцо.

Удельное давление кольца на стенку цилиндра p, если известно напряжение , определяют следующим образом:

кгс/см2 кПа кПа.

Аналогично определяют силу P, преодолевающую стрелу прогиба :

кгс Н.

Экспериментальные исследования показывают, что величина удельного давления кольца на стенки цилиндра не является одинаковой по длине кольца. Она изменяется в зависимости от положения замка кольца и особенно от степени изношенности кольца и рабочей втулки цилиндра.

Верхнее кольцо испытывает наибольшее давление, а все остальные значительно меньшее. Этим и объясняется ускоренный износ верхнего кольца.


1.4.3. Расчёт на прочность шатуна

Назначение шатуна – передавать усилия от поршня двигателя к коленчатому валу. Шатун в собранном виде состоит из верхней головки (в ней помещается головной подшипник), стержня и нижней головки, в которой находится мотылевый подшипник. С помощью головного подшипника шатун соединяется с поршнем, а посредством мотылевого – с мотылевой шейкой коленчатого вала. При передаче усилий от поршня к коленчатому валу в стержне шатуна возникают напряжения сжатия и изгиба. Кроме того, вследствие быстрого нарастания давления в цилиндре в период сгорания топлива шатун подвержен ударной нагрузке.

В связи с этим материал для изготовления шатуна должен быть высокого качества. Шатуны отковывают или штампуют из углеродистой или легированной стали. Отъемные нижние головки шатуна изготавливают обычно из литой стали.

Вкладыши головного подшипника чаще всего изготавливают литыми из бронзы, но их выполняют и стальными с последующей заливкой слоем антифрикционного сплава. Вкладыши мотылевого подшипника в большинстве случаев изготавливают стальными с заливкой антифрикционным сплавом. Из антифрикционных сплавов наибольшее применение получили высокооловянистые баббиты.

В быстроходных двигателях получило большое распространение в качестве антифрикционного сплава свинцовистая бронза. Свинцовистая бронза менее пластична, чем баббит, а поэтому хуже прирабатывается к валу. Для надежной работы вкладыша из свинцовистой бронзы необходимо тщательная очистка смазки, при этом кислотность ее возрастает быстрее, чем в подшипниках с баббитовой заливкой.

Различие конструктивной формы шатунов в основном определяется конструкцией его верхней головки. В тронковых двигателях обычно шатуны имеют неразъемную верхнюю головку.

Форма сечения стержня шатуна бывает круглой, кольцевой и двутавровой. Кольцевую и двутавровую формы сечения стержня шатуна применяют в быстроходных двигателях, так как шатуны данного сечения имеют меньший вес, а следовательно, и меньшие силы инерции. Нижнюю головку шатуна выполняют отдельно от стержня и заодно с ним. Изготовление верхней половины нижней головки заодно со стержнем позволяет уменьшить вес шатуна.

Верхняя половина мотылевого подшипника передает на шейку коленчатого вала усилие, равное разности давления газов на поршень и сил инерции, поэтому она должна обладать достаточной жесткостью. Нижняя половина мотылевого подшипника в четырехтактных двигателях в период такта наполнения и впуска нагружена только силами инерции движущихся частей.

Стяжные болты верхней и нижней головок шатуна являются деталями, разрыв которых приводит к крупной аварии двигателя, поэтому к материалу и изготовлению их предъявляются повышенные требования.

Конструкция болта должна быть равнопрочной, концентрации напряжений не должно быть. Стержень болта обычно по длине имеет центрирующие пояски, необходимые для обеспечения плотного прилегания болта к стенкам отверстия. Для избежания концентрации напряжений переходы от резьбы, центрирующих поясков и головки болта должны быть плавными и достаточной длины. Резьба должна быть с малым шагом, что позволяет более точно осуществлять затяг болтов, поэтому обычно применяют мелкую метрическую резьбу. Головка болта выполняется круглой, а гайка корончатой и иногда специальной формы. Количество шлицев у гайки должно обеспечивать нужный затяг болта.

Шатунные болты мотылевого подшипника располагают по возможности ближе к шейке вала. Сокращение расстояния между осями болтов позволяет уменьшить длину пятки шатуна, которая в тронковых двигателях для возможности вытаскивания поршня вместе с шатуном через цилиндр должна быть меньше диаметра последнего. Ввиду этого иногда применяют стяжных болтов у мотылевого подшипника не два, а четыре. При увеличении числа болтов диаметр их уменьшается. Это позволяет приблизить болты к шейке вала, а следовательно, и сократить длину пятки шатуна. При затягивании болтов необходимо контролировать величину вытяжки, так как чрезмерный затяг значительно сокращает срок их службы.

Принимаем основные размеры шатуна (рис. 1.12):

расстояние между центрами головок шатуна – мм;

расстояние между внутренними образующими цилиндрических отверстий в верхней и нижней головках шатуна – мм;

наружный диаметр круглой верхней головки шатуна – мм;

внутренний диаметр круглой верхней головки шатуна – мм;

длина верхней головки шатуна – мм;

сечение шатуна – двутавр: мм; мм; мм; мм;

диаметр шатунных болтов – мм;

количество шатунных болтов – .

Шатун воспринимает давление газов на поршень и силы инерции поступательно движущихся частей. Эти силы достигают максимального значения при нахождении поршня в крайнем верхнем положении.

У четырёхтактных дизелей в конце хода выпуска на шатун действует сила инерции, которая стремиться разорвать его, а в начале рабочего хода результирующая сила сжимает шатун (направлена вниз). Таким образом, в четырёхтактных двигателях простого действия шатун подвержен знакопеременной нагрузке.

Напряжения сжатия в стержне шатуна:

кгс/см2 МПа,

где – минимальное сечение головки шатуна.

Сила , кроме сжатия, вызывает продольный изгиб. В плоскости качания шатун можно рассматривать как балку с шарнирными опорами, при этом деформация изгиба распространяется по всей его длине. В плоскости, перпендикулярной качанию шатуна, его следует рассматривать как балку с заделанными концами, в данном случае деформация изгиба распространяется на половину длины шатуна.

Таким образом:

кгс/см2 МПа;

кгс/см2 МПа,

где f – площадь среднего сечения шатуна:

см2.

и – моменты инерции сечения относительно осей x и y:

см4;

см4.

Шатуны подвергаются ещё и значительному воздействию сил инерции массы шатуна, действующих в плоскости его движения. В этом случае шатуны, кроме того, необходимо проверять на изгиб указанными силами инерции. Наибольшее значение рассматриваемые силы имеют при угле между шатуном и мотылём, равном 90.

Наибольший изгибающий момент равен:

кгссм Нм,

где P – равнодействующая сил инерции:

кгс кН,

где q – сила инерции элемента стержня шатуна длиной 1 см:

кгс/см кН/м,

где кгс/см3 – удельный вес материала шатуна.

Суммарные напряжения в стержне шатуна будут равны:

кгс/см2 МПа МПа,

где W – момент сопротивления сечения шатуна, удаленного на расстояние от центра верхней головки.

Верхнюю головку шатуна проверяют на разрыв силой, возникающей при заедании поршня. Её условно принимают равной:

кгс кН.

Напряжения в верхней головке шатуна:

кгс/см2 МПа МПа,

где см.

Для нормальной работы головного подшипника верхняя головка шатуна должна иметь соответствующую жёсткость. В соответствии с этим необходимо принятые размеры проверять на жёсткость. Относительная деформация верхней головки шатуна может быть определена по формуле:

мм/см мм/см,

где E – модуль упругости материала головки шатуна;

I – момент инерции сечения головки:

см4.

Шатунные болты нижней головки шатуна проверяют на растяжение силой . Напряжения растяжения в болтах:

кгс/см2 МПа МПа,

где – число шатунных болтов;

– площадь сечения болта:

см2.


1.4.4. Расчёт цилиндров и рабочих втулок

Цилиндр судового двигателя состоит из наружной рубашки (цилиндра) и внутренней цилиндрической втулки, называемой рабочей. Рабочую втулку цилиндра вставляют в наружный цилиндр, при этом между наружной поверхностью рабочей втулки и внутренней поверхностью цилиндра образуется полость охлаждения. В быстроходных двигателях полость охлаждения иногда образуется между двойными стенками цилиндра, в данном случае рабочая втулка непосредственно не омывается охлаждающей водой. Целесообразность применения отдельной вставной рабочей втулки цилиндра определяется следующими соображениями:

  • удлинение вставной рабочей втулки вследствие нагрева ее газами, находящимися в рабочей полости цилиндра, не вызывает растягивающих напряжений в менее нагретых стенках наружного цилиндра;

  • вставная рабочая втулка, воспринимающая давление газов, развивающееся в полости цилиндра, может быть изготовлена из более прочного и износоустойчивого материала, чем стенки наружного цилиндра;

  • изготовление и ремонт цилиндра со вставной рабочей втулкой значительно проще.

Рабочие втулки цилиндра судовых двигателей обычно изготовляют из чугуна перлитной структуры марки СЧ28-48 и из чугуна, легированного хромом и никелем. В быстроходных двигателях, в целях уменьшения веса, втулки цилиндра иногда выполняют из чугуна марки СЧ32-52 или из легированной стали с азотированием внутренней их поверхности.

Износостойкость чугунных рабочих втулок цилиндра, кроме того, может быть повышена термической обработкой чугуна или покрытием внутренней поверхности (зеркала цилиндра) тонким слоем (0,05–0,08 мм) пористого хрома. Так как при большом диаметре цилиндра (свыше 250 мм) прочный слой хрома одинаковой толщины практически получить очень трудно, то хромирование втулок применяется только в двигателях с малым диаметром цилиндра.

Цилиндры изготовляют отдельно друг от друга или в виде блочной отливки. Современные дизели малой и средней мощности обычно имеют блочную конструкцию цилиндров. Блочная отливка цилиндров повышает жесткость конструкции, уменьшает вес и габариты двигателя, снижает стоимость изготовления цилиндров.

Плотность сопряжения втулки и цилиндра с целью предотвращения протекания воды из зарубашечного пространства достигается в верхней части пригонкой посадочных поверхностей их выступов. Внизу уплотнение обеспечивается сальником. Сальниковые резиновые кольца размещают в специальных канавках во втулке.

Смазка внутренней поверхности рабочей втулки цилиндра в быстроходных двигателях осуществляется “разбрызгиванием”. При этом брызги масла, фонтанируемого из торцовых зазоров подшипников коленчатого вала, попадают на нижнюю часть рабочей втулки и при движении поршня вверх разносятся поршневыми кольцами по всей ее рабочей поверхности.

Предварительно принимаем основные размеры: мм; мм; мм; мм; мм; мм; мм (рис. 1.13).

При отсутствии анкерных связей рубашка подвергается растяжению давлением газов на крышку цилиндра.

Напряжения растяжения в стенках рубашки равны:

кгс/см2 МПа МПа.

Наибольшие напряжения скалывания в сечении I–I опорного бурта рубашки:

кгс/см2 МПа МПа,

где вычисляется по формуле:

кгс кН,

где – коэффициент предварительного затяга шпилек;

см.

Рабочая втулка цилиндра воспринимает в верхней части наибольшее давление газов в цилиндре и давление нормальной составляющей силы N, действующей на поршень. Кроме того, опорный пояс втулки воспринимает усилие затяга шпилек крепления крышки цилиндра.

Растягивающие напряжения в верхней части рабочей втулки, если допустить, что они равномерно распределены по толщине стенки, равны:

кгс/см2 МПа МПа,

где L – длина расчётного сечения втулки;

s – толщина стенки рабочей части втулки:

см.

Дополнительные тепловые напряжения равны:

кгс/см2 МПа,

где – коэффициент линейного расширения материала втулки;

– разность температур внутренней и наружной поверхностей рабочей втулки;

E – модуль упругости материала втулки;

– коэффициент Пуассона.

Суммарные напряжения растяжения в стенке рабочей втулки:

кгс/см2 МПа МПа.

Напряжения скалывания в опасном сечении опорного пояса рабочей втулки II-II:

кгс/см2 МПа МПа.

Минимальная ширина медно-асбестовой прокладки определяется из условия:

см.


1.4.5. Расчёт на прочность клапана

Впускные и выпускные клапана работают в тяжелых условиях. Выпускной клапан, кроме динамического воздействия, подвержен воздействию горячих продуктов сгорания, омывающих его тарелку, вследствие чего последняя при работе двигателя значительно нагревается. Поэтому материал для изготовления таких клапанов должен быть жаростойким, антикоррозионным, достаточно прочным и вязким, износоустойчивым, не склонным к короблению и образованию трещин, не способным закаливаться на воздухе, при повторных нагревах должен сохранять первоначальные физические свойства. Для быстроходных двигателей клапаны изготовляют из специальных сталей типа сильхром с содержанием 2,2–3,9% Si, 2,5–20% Cr и 23–27% Ni.

В целях повышения твердости и антикоррозионности рабочие фаски клапанов покрывают сплавом стеллит. В расплавленном виде его наносят на нагретую поверхность клапана слоем толщиной 1–1,5 мм. Сплав стеллит, в который входят Cr, W и другие элементы, обладает большой твердостью. Впускные клапаны, как работающие в более легких условиях, чем выпускные, часто изготовляют из недорогих сталей. Пружины клапанов выполняют из сталей с высоким пределом текучести.

По принятому отношению F/f = 9 определяю площадь проходного сечения клапана:

см2,

где F – площадь сечения цилиндра двигателя.

Принимаем: – угол образующей конуса посадки клапана с горизонталью.

Диаметр проходного сечения клапана:

см,

где – ход клапана при .

Ход клапана будет равен:

см.

Предварительно принимаем основные размеры:

диаметр тарелки клапана – мм;

толщина тарелки клапана – мм;

диаметр штока клапана – мм;

радиус перехода от штока к тарелке клапана – мм.

Толщину тарелки клапана проверяют на прочность как диск, свободно опертый по контуру и равномерно нагруженный распределенным давлением :

кгс/см2 МПа МПа.

Шток выпускного клапана проверяют на сжатие наибольшим усилием P, возникающим в момент открытия клапана:

кгс Н,

где кгс/см2 МПа – давление в конце расширения при пуске двигателя в ход, достигающее наибольшего значения в данный период.

Напряжения сжатия в штоке клапана:

кгс/см2 МПа МПа,

где см2.

Наименьшее натяжение пружины (предварительный затяг) должно обеспечить плотное прилегание клапана к седлу:

кгс Н.

В период движения клапана с отрицательным ускорением наибольшая сила упругости пружины должна не только воспрепятствовать отрыву ролика от кулачковой шайбы, но и обеспечить надёжный контакт поверхностей ролика и кулачковой шайбы. Значение наибольшей силы упругости может быть принято:

кгс Н.

Зная наибольшее давление пружины, толщину её проволоки определяют из выражения:

см,

где см – средний диаметр пружины;

кгс/см2 – допускаемые напряжения кручения в пружинах из сталей;

– толщина круглой проволоки пружины.

Необходимое число витков пружины определяют на основании того, что сила натяжения пружины пропорциональна её прогибу:

,

где см.

Принимаем: .

Длина пружины при открытом клапане:

мм,

где мм – минимальный зазор между витками.

Длина пружины при закрытом клапане:

мм.

Наибольшее и наименьшее напряжения кручения:

кгс/см2;

кгс/см2.


1.5. Определение основных параметров топливной аппаратуры

Топливная система судового двигателя состоит из следующих основных элементов: топливной цистерны (цистерна расходного топлива); фильтра низкого давления (грубой очистки); топливоподкачивающего насоса; топливного насоса; фильтра высокого давления (тонкой очистки); топливного клапана-форсунки; трубопровода низкого и высокого давления.

Фильтр низкого давления служит для очистки топлива от механических включений и воды. В качестве фильтрующего материала применяют металлическую сетку, войлок и бумагу. Фильтрующий пакет представляет собой набор пластин из металлической сетки или войлока, при проходе через которые топливо освобождается от механических включений.

Перед форсункой, а иногда и непосредственно в ее корпусе устанавливают фильтр тонкой очистки топлива. Он служит для предохранения сопловых отверстий форсунки от засорения механическими включениями в топливе, не задержанных фильтром грубой очистки. Фильтры тонкой очистки топлива применяют щелевого типа.

Назначение топливного насоса – подавать топливо под высоким давлением через форсунку в цилиндр дизеля. Причем подача порции топлива (дозы) за каждый рабочий цикл двигателя должна производиться в определенный период времени и в определенном количестве. Иными словами, топливный насос должен регулировать подачу топлива в зависимости от нагрузки двигателя. Топливные насосы применяют поршневого (плунжерного) типа. В современных дизелях топливо в форсунку подается только на части нагнетательного хода плунжера насоса. На остальной же части его хода топливо перепускается обратно в приемную полость насоса.

Начало подачи топлива в цилиндр двигателя происходит раньше прихода поршня в в. м. т. и определяется величиной угла опережения подачи топлива, т.е. углом поворота коленчатого вала двигателя от момента начала подачи топлива в цилиндр до в. м. т. Подача топлива в цилиндр двигателя регулируется изменением начала подачи (конец подачи остается постоянным), конца подачи (начало подачи остается постоянным) и начала и конца подачи.

Назначение форсунки (топливного клапана) – распыливать и распределять топливо, поданное топливным насосом, в воздушном заряде камеры сгорания.

Скорость истечения топлива из сопла форсунки определяется давлением нагнетания. При малой скорости движения плунжера насоса вследствие незначительной скорости истечения топлива происходит плохой распыл струи топлива, вытекающей из открытой форсунки. Поэтому для обеспечения качественного распыления впрыск топлива производиться с большими скоростями при малой продолжительности подачи.

К преимуществам открытых форсунок относится простота конструкции и невысокая стоимость изготовления. Существенным недостатком таких форсунок является подтекание топлива из сопла после его отсечки (после конца подачи насосом). Подтекание топлива способствует закоксовыванию сопловых отверстий и прекращению работы форсунки. Оно вызывается расширением топлива после отсечки и упругими деформациями топливопровода. Для устранения этого явления объем нагнетательной магистрали следует иметь минимальным и необходимо производить более полную ее разгрузку. Вследствие указанного недостатка в современных судовых дизелях открытые форсунки получили весьма ограниченное применение.

В закрытой форсунке камера сгорания цилиндра дизеля отделена от топливной магистрали высокого давления запорным органом (иглой). Управление иглой форсунки осуществляется автоматически давлением топлива или при помощи механического привода.

Преимуществом закрытой форсунки является отсутствие подтекания топлива при длинных нагнетательных трубопроводах топливной системы.

Распылитель – наиболее ответственная деталь форсунки. При небольших размерах его изготавливают заодно с соплом. Прецизионную пару игла – распылитель выполняют с диаметральным зазором 2,5–3 мк. Посадочный уплотняющий поясок между иглой и ее седлом делают как можно более узким, что обеспечивает необходимую герметичность.

Распылители бывают игольчатые, одно- и многодырчатые, штифтовые и с плоским седлом.

Количество топлива, подаваемое топливным насосом в цилиндр двигателя за один цикл его работы:

см3,

где г/см3 – удельный вес топлива;

г/(э.л.с.ч) г/(кВтч) – удельный расход топлива;

– коэффициент тактности дизеля;

– число цилиндров;

э.л.с. кВт – мощность двигателя;

об/мин – число оборотов вала двигателя в минуту.

При максимальной мощности двигателя, допускаемой на 10% выше номинальной, удельный расход топлива составляет:

г/ э.л.с.ч г/(кВтч).

Количество топлива, подаваемое за один цикл при максимальной мощности двигателя:

см3.

Число оборотов двигателя при этом считается постоянным.

Принимаем:

– отношениение полного хода плунжера к его диаметру;

– коэффициент, который зависит от типа топливного насоса.

Диаметр плунжера насоса:

см.

Полный ход плунжера:

см.

Площадь сечения цилиндра насоса:

см2.

Полезный ход плунжера насоса:

см,

где – коэффициент подачи топливного насоса, учитывающий гидравлические потери.

Максимальная теоретическая скорость истечения струи топлива из сопла форсунки равна:

м/сек,

где – коэффициент скорости;

м/сек2 – ускорение свободного падения;

МПа – давление топлива перед сопловыми отверстиями форсунки в момент достижения плунжером насоса максимальной скорости ;

МПа – давление в цилиндре в тот же момент времени.

Принимая неразрывность потока топлива, можно написать:

.

Принимаем:

– коэффициент сжатия струи в сопловых отверстиях;

м/сек – максимальная скорость плунжера.

Отсюда можно определить суммарное сечение сопловых отверстий форсунки:

мм2.

Принимаем: – число сопловых отверстий.

Диаметр сопла форсунки:

мм.


Заключение

В соответствии с предложенной темой дипломного проекта “Модернизация главных двигателей мощностью 440 кВт с целью повышения их технико-экономических показателей” был спроектирован дизель 6ЧНСП18/22 с учётом современных технологий в дизелестроении и показана возможность его установки на судно проекта 14891.

В первом разделе дипломного проекта выполнен тепловой расчёт цикла дизеля, произведено построение индикаторной диаграммы, кривой сил инерции, диаграммы касательных сил цилиндра и суммарной диаграммы касательных сил. На основе этих данных произведён расчёт на прочность основных деталей дизеля, а также расчёт основных параметров топливной аппаратуры.

Во втором разделе рассмотрена возможная система охлаждения дизеля, методика гидравлического расчёта системы и модель эрозионно-коррозионных разрушений в системах жидкостного охлаждения двигателей.

В разделе три дипломного проекта “Техническая эксплуатация и обслуживание дизеля” рассмотрены вопросы эксплуатации, диагностирования, испытаний дизеля, а также проведён выбор оптимального режима работы дизеля и расчёт основных параметров дизеля при работе по винтовой характеристике.

В четвёртом разделе дипломного проекта рассмотрен вопрос монтажа главного двигателя на фундаменте и произведён расчёт сборочных единиц крепления дизеля.

В разделе “Охрана труда” произведён расчёт уровней вибрации опорных поверхностей дизеля в октавных полосах частот и показана возможность установки двигателя на амортизаторы.

В шестом разделе представлена методика прогнозирования и оценки химической обстановки при заражении сильнодействующими ядовитыми веществами и мероприятия по предотвращению этого заражения.

В разделе “Экономическое обоснование проекта модернизации” произведены расчёты технико-экономических показателей судна-прототипа и нового судна и показана экономическая эффективность проекта модернизации.

Таким образом, на основе судна проекта 14891 разработан возможный вариант модернизации данного судна, путём установки на него в качестве главного двигателя спроектированный дизель.


Список использованной литературы

  1. Хандов З.А. Судовые двигатели внутреннего сгорания (теория). М.: Транспорт, 1969.

  2. Хандов З.А. Судовые двигатели внутреннего сгорания (конструкции и расчёты). М.: Транспорт, 1968.

  3. Возницкий И.В., Камкин С.В., Шмелев В.П., Осташенков В.Ф. Рабочие процессы судовых дизелей. М.: Транспорт, 1979.

  4. Грицай Л.Л. Справочник судового механика: в 2 т. М.: Транспорт, 1973.

  5. Гогин А.Ф., Кивалкин Е.Ф., Богданов А.А. Судовые дизели. М.: Транспорт, 1988.

  6. Чиняев И.А. Судовые системы. М.: Транспорт, 1984.

  7. Лопырев Н.К. Технология судоремонта. М.: Транспорт, 1981.

  8. Сумеркин Ю.В. Технология судоремонта. СПб.: СПГУВК, 2001.

  9. Конаков Г.А., Васильев Б.В. Судовые энергетические установки и техническая эксплуатация флота. М.: Транспорт, 1980.

  10. Справочник по серийным транспортным судам: в 8 т. М.: Транспорт, 1988.

  11. Правила Речного Регистра РСФСР: в 3 т. М.: Транспорт, 1989.

  12. Печененко В.И., Козьминых Г.В. Автоматика регулирования и управления судовых силовых установок. М.: Транспорт, 1969.

  13. Сыромятников В.Ф. Наладка автоматики судовых энергетических установок. М.: Транспорт, 1989.

  14. Лазарев А.Н., Филиппов Н.М. Экономическое обоснование дипломных проектов по двигателям внутреннего сгорания для судов речного флота. Методические указания. СПб.: СПбГУВК, 1996.

  15. Лазарев А.Н., Филиппов Н.М. Экономическое обоснование дипломных проектов по судовым энергетическим установкам судов речного флота. Методические указания. СПб.: СПбГУВК, 1999.

  16. Скорняков В.П. Безопасность жизнедеятельности. Методика прогнозирования и оценки химической обстановки при заражении сильнодействующими ядовитыми веществами. Учебно-методическое пособие. СПб.: СПбГУВК, 2000.

  17. Данные компьютерной сети Internet.



Overview

Лист1
Диаграмма1
Лист2


Sheet 1: Лист1

Пояснение
к выполнению раздела дипломного проекта по охране труда


"Расчёт уровней вибрации (по ускорению) опорных поверхностей дизеля
в октавных полосах частот и выбор виброизолирующего крепления"


Программа "Диплом[вибрация дизеля]" - Excel 97


Последовательность выполнения раздела "Охрана труда"


1. Открыть программу (Лист2, п.2.) и занести в название п.2 марку дизеля.
2. Ввести в программу(п.2.1.) исходные данные - характеристики дизеля и винта.
При вводе данных необходимо иметь ввиду следующее: ячейки с формулами
защищены от изменений, поэтому при ошибочном выделении таких ячеек на
экране появляется предупреждающее окно и для продолжения работы по
программе необходимо щёлкнуть "ОК" или нажать "Enter".
3. Определить спектр уровней вибрации дизеля и занести его в таблицу 1.
4. По таблицам 3,4,5 выбрать тип виброизолятора, нагрузку в зависимости от мас-
сы дизеля и жёсткость; задать принимаемое число виброизоляторов равное
рекомендуемому.
5. Определить по программе частоты возмущающих сил дизеля и гребного винта
и частоту свободных вертикальных колебаний дизеля.
6. При совпадении частоты свободных колебаний дизеля с частотами возмуща-
ющих сил можно увеличить количество виброизоляторов не более чем на 2 или
изменить схему виброизоляции и повторить расчёт.
Количество виброизоляторов принимают чётное.
7. По п. 2.5. производится подготовка исходных данных и автоматически строит-
ся график на листе "Диаграмма1". Щелчком правой клавиши мыши на поле диа-
граммы открывается окно, затем "Параметры диаграммы", где в название доба-
вляется марка дизеля.
8. Формулируются выводы по работе.
На печать выводятся 4 страницы Листа2 и Диаграмма на отдельном листе.


Если в программе отсутствует шаблон Диаграмма, то ознакомиться с порядком
её построения можно ниже, на примере построения спектров шума.


Порядок построения спектров
уровней звуковой мощности механического шума и шума газотурбонаддува


1. Выделить данные.
2. Щёлкнуть левой клавишей мыши по кнопке "Мастер диаграмм", расположенной
на панеле инструментов.
3. В окне Шага1 отметить тип диаграммы "Точечная" и вид диаграммы - нижняя
правая; щёлкнуть по Далее.
4. В окне Шага2 - щёлкнуть по Далее.
5. В окне Шага3 написать название графика, название осей и отметить линии
сетки. Например: Уровни звуковой мощности механического шума(ряд1) и
шума наддува(ряд2) дизеля 6ЧРПН 36/45;
название оси категорий(X) - Частота, Гц, а оси значений(Y) - L,дБ;
линии сетки - отметить ось X - основные и промежуточные.
Щёлкнуть - Далее.
6. В окне Шага4 отметить -" На отдельном листе" и щёлкнуть - Готово.
7. Правой клавишей мыши щёлкнуть по оси X и по Формат оси; в окне Формат
оси щёлкнуть левой клавишей мыши - Шкала.

Установить:

минимальное значение - 10;

максимальное значение - 10000;

цена основных делений - 10;

цена промежуточных делений - любая;

ось Y пересекает в значении 0;

шкала - логарифмическая.
Щёлкнуть "ОК".
8. Щёлкнуть правой клавишей мыши по оси Y , далее - Формат оси и установить
такое минимальное значение, чтобы кривые располагались примерно в центре
графика.
Щёлкнуть "ОК".
9. Щёлкнуть правой клавишей мыши по кривой ряда1 и левой клавишей по Фор-
мат рядов данных, затем - Вид; установить цвет - чёрный и толщину сплошной
линии, а потом щёлкнуть "ОК".
10. Щёлкнуть правой клавишей мыши по кривой ряда2 и левой клавишей по Фор-
мат рядов данных, затем - Вид; установить цвет линии - чёрный, маркер -
Другой; чёрный, фон - чёрный, а потом щёлкнуть "ОК".

Sheet 2: Диаграмма1



Sheet 3: Лист2

5. Охрана труда









Расчёт уровней вибрации опорных поверхностей дизеля
в октавных полосах частот и выбор виброизоляторов









5.1. Общие сведения




Уровни вибрации Nа(дБ) опорных поверхностей дизеля в октавных
полосах частот можно определить по формуле:












где Д - диаметр цилиндра дизеля, м;




n - число оборотов вала дизеля, об/мин;




Z - число цилиндров дизеля;





Nf - составляющая, учитывающая характер спектра вибрации


дизеля, которая зависит от отношения частот f/fmax, дБ;


f - средняя частота октавной полосы (63, 125, 250, 500, 1000, 2000,


4000, 8000Гц);






fmax -частота, на которой наблюдается максимальный уровень


вибрации, которая определяется по формуле










ного уровня в зависимости от числа оборотов вала дизеля;


k - коэффициент тактности дизеля, который для 4-х тактного


дизеля равен 0,5, а для двухтактного - 1;


Nd - поправка, учитывающая число оборотов вала дизеля, дБ.
Частоты возмущающих сил 1, 2, 3 порядков определяются по
формулам:








Дизель
















Гребной винт














Частота свободных вертикальных колебаний дизеля вдоль оси Z:















Число опорных виброизоляторов:
















где nв, Zв - число оборотов и число лопастей винта;



М - масса дизеля, кг;





С - общая динамическая жёсткость виброизоляторов, Па*м;


F - номинальная нагрузка на один виброизолятор, кг.









5.2. Программа расчёта уровней вибрации дизеля 6ЧНСП18/22
в октавных полосах частот












"Диплом[вибрация дизеля]" - Excel 97













5.2.1. Исходные данные





Мощность дизеля N, квт




440

Диаметр цилиндра дизеля Д, м




0.18

Число оборотов вала дизеля n, об/мин




1000

Число цилиндров дизеля Z




6

Коэффициент тактности дизеля k




0.5

Масса дизеля М, кг




4500

Число оборотов гребного вала nв, об/мин




350

Число лопастей гребного винта Zв




4









5.2.2. Расчёт уровней вибрации опорных поверхностей
дизеля в октавных полосах частот










Расчёт почастотных составляющих спектра вибрации







63 125 250 500 1000 2000 4000 8000

78 80 82 87 94 98 60 -191

97 97 97 97 97 97 96 94
Спектр уровней вибрации дизеля заносится в таблицу1

Для определения спектра Nа необходимо в строку 88 до средней частоты







2000 включительно, внести с клавиатуры значения уровней вибрации






из строки 79, обозначенной прямоугольником, а на других частотах из







строки 80, обозначенной треугольником до частоты 8000Гц.













Таблица 5.1
Частота,Гц 63 125 250 500 1000 2000 4000 8000
Nа, дБ 78 80 82 87 94 98 96 94









5.2.3. Выбор виброизолятора для дизеля
Уровни виброускорения опорных поверхностей дизеля сравниваются с предельными значениями [N], представленными в табл. 5.2. Предельные значения устанавливают уровни вибрации лап дизеля, при которых уровни структурного шума в ближайших к машинному отделению помещениях судна не будут превышать нормативного спектра шума для жилых помещений.







Таблица 5.2
Частота,Гц 63 125 250 500 1000 2000 4000 8000
[N], дБ 68 69 70 73 77 84 90 96
Nа, дБ 78 80 82 87 94 98 96 94









Тип виброизолятора выбирается таким образом, чтобы его акустическая эффективность (табл. 5.3) была бы не ниже величины W превышения уровней вибрации дизеля Nа над допустимым значением [N]. Несоблюдение этого условия допускается в одной октаве. При полной невозможности выполнения этого условия производят выбор наиболее эффективного для этого дизеля виброизолятора и указывают на необходимость применения дополнительных средств снижения структурного шума. К средствам снижения структурного шума относятся: усиленные двустенные конструкции ограждений ("плавающие"), вибропоглощающие покрытия, виброизолирующие крепления надстроек и др.
Расшифровка марок виброизоляторов и их нагрузка представлены в табл. 5.4.














Таблица 5.3
Акустическая эффективность виброизоляторов, дБ
Частота,Гц 63 125 250 500 1000 2000 4000 8000
АКСС-М 0 0 10 5 7 12 15 18
АКСС-И 18 15 12 17 20 23 24 25
РН 14 12 10 15 17 18 20 20
АПрС 23 20 15 20 23 25 25 25
W, дБ 10 11 12 14 17 14 6 -2







Таблица 5.4
Марка Расшифровка марки виброизолятора




Нагрузка, кг
АКСС-М - амортизатор корабельный со страховкой (резина жёсткая);




220 400
АКСС-И - амортизатор корабельный со страховкой (резина мягкая);




220 400
РН - амортизатор резиновый наклонный;




200 650
АПрС - амортизатор пружинный со страховкой.




200 400
Дизель-генераторы устанавливают на виброизоляторы АПрс или АКСС-И, а







главные двигатели - на РН или АКСС-И.







Выбирается виброизолятор:


марка АКСС-И нагрузка
400





жёсткость (табл. 5.5)

5200000
Рекомендуемое число опорных виброизоляторов





12
Принимаемое число опорных виброизоляторов





12









5.2.4. Проектирование системы виброизоляции
При проектировании системы виброизоляции необходимо обеспечить высокую







акустическую эффективность крепления и надёжность его работы.







Следует стремиться к тому, чтобы частота свободных колебаний виброизолированного двигателя была бы как можно ниже; не допускается совпадение частот свободных колебаний и возмущающих сил.
Частота свободных колебаний двигателя зависит от динамической жёсткости







виброизоляторов (табл. 5.5), их количества и массы механизма.














Таблица 5.5
Номинальная нагрузка на виброизоляторы и их динамическая жёсткость С







Марка АКСС-М АКСС-И РН АПрС
Нагрузка,кг 220 400 220 400 200 650 200 400
С, Па*м 9700000 10300000 3900000 5200000 3300000 10300000 140000 267000

Расчёт частот колебаний







Частота (Гц) возмущающих сил для дизеля:





первого порядка
17



второго порядка
50

Частота (Гц) возмущающих сил для гребного винта:




первого порядка
6



второго порядка; 4-х лопастные винты 12



третьего порядка

23
Частота свободных вертикальных колебаний дизеля





19









Частота свободных вертикальных колебаний дизеля не должна совпадать с частотами возмущающих сил, чтобы не вызвать опасных резонансов и усиления колебаний. При совпадении частот можно уменьшить количество виброизоляторов на 2, относительно рекомендуемого, или изменить систему виброизоляции, а затем повторить расчёт.
5.2.5. Подготовка данных для построения спектров вибрации
Частота,Гц 63 125 250 500 1000 2000 4000 8000
Nа, дБ 78 80 82 87 94 98 96 94
[N], дБ 68 69 70 73 77 84 90 96
АКСС-И 18 15 12 17 20 23 24 25
Nф, дБ 60 65 70 70 74 75 72 69
Примечание Nф - уровни вибрации на фундаменте после виброизоляторов.






В таблицу п. 5.2.5. (строка 171) копируется марка и эффективность выбранного виброизолятора из табл. 5.3 и автоматически строится точечный график на отдельном листе, где вносится марка дизеля.
Выводы:

Виброизоляция дизеля необходима



(необходимость виброизоляции дизеля, марка, нагрузка, количество виброизоляторов) Марка виброизоляторов - АКСС-И



Нагрузка - 400 кг



Количество - 12 шт.





2. Система охлаждения дизеля 6ЧНСП18/22

2.1. Общие сведения

При работе дизеля его детали нагреваются вследствие трения или соприкосновения с горячими газами. Допустимая температура их нагревания ограничена жаростойкостью материалов, свойствами смазочных масел, надёжностью работы отдельных узлов или условиями протекания рабочего процесса в цилиндрах. Для отвода излишков теплоты и поддержания оптимального уровня температуры деталей дизели охлаждают. В зависимости от вида теплоносителя различают жидкостные, воздушные и испарительные системы охлаждения. Для охлаждения судовых дизелей используют только жидкостные системы, в которых основным теплоносителем является забортная вода.

Наиболее простой по конструкции является проточная система, в которой забортная вода с помощью насоса поступает в полости охлаждения, затем сливается за борт. Однако забортная вода содержит значительное количество взвешенных частиц, а также растворённых минеральных веществ, выпадающих в осадок при нагревании выше 55С, т. е. в этом случае не обеспечивается высокая экономичность и надёжность дизеля. Поэтому для охлаждения современных дизелей используют различные промежуточные теплоносители, для цилиндровых втулок и крышек цилиндров – чистую пресную воду или специально приготовленные охлаждающие жидкости; для подшипников – избыточное количество масла, подаваемого масляным насосом смазочной системы, этим же маслом охлаждают поршни тронковых дизелей; для форсунок – топливо, подаваемое топливоподкачивающим насосом в избыточном количестве.

Промежуточный теплоноситель предназначен для охлаждения нагретых деталей и передачи теплоты основному теплоносителю, транспортирующему воспринятую при этом теплоту за пределы судна и рассеивающему его в окружающей среде. Обмен теплоты между ними происходит в специальных теплообменниках-охладителях (холодильниках).

Промежуточные теплоносители, постоянно циркулируя в замкнутом контуре, многократно используются для охлаждения дизеля. Поэтому системы с промежуточными теплоносителями называют замкнутыми.

При значительном нагревании двигателя снижается прочность деталей, становится невозможным смазывание цилиндра, наблюдается заедание деталей. Однако с охлаждающей жидкостью уносится часть теплоты, выделившейся при сгорании, т. е. увеличатся её потери, в связи с чем охлаждать дизель следует лишь в той степени, насколько это необходимо для его надёжной работы.

Важно выбрать оптимальный температурный режим охлаждения:

  • во-первых, разность температур выходящей из двигателя и входящей в него воды (перепад температур) должна быть минимальной, не более 20С. При большом перепаде температур детали охлаждаются неравномерно, в них появляются значительные тепловые напряжения, ухудшаются условия их работы;

  • во-вторых, следует стремится к тому, чтобы средняя температура воды в двигателе была по возможности высокой, ибо в этом случае уменьшается теплопередача и, следовательно, количество теплоты, уносимой водой. При повышении температуры воды снижаются тепловые напряжения и уменьшается изнашивание втулок цилиндра. Последнее объясняется, прежде всего, уменьшением работы трения вследствие снижения вязкости масла. Кроме того, при высокой температуре воды повышается температура стенки цилиндра, что препятствует конденсации водяного пара в цилиндре и, значит, образованию во взаимодействии с сернистыми газами кислот, ускоряющих изнашивание втулки. Поэтому повышать температуру воды особенно целесообразно при работе дизеля на сернистом топливе. Наконец, с повышением температуры воды уменьшается жёсткость работы двигателя. При работе дизеля с частичной нагрузкой желательно поддерживать постоянный, достаточно высокий температурный уровень охлаждения.

О температурном режиме охлаждения судят по температуре выходящей из дизеля воды. У существующих конструкций дизелей оптимальная температура воды 75–85С для среднеоборотных и 85–95С для высокооборотных дизелей. Встречаются двигатели с системами высокотемпературного (свыше 95С) охлаждения. Замкнутый контур системы охлаждения таких двигателей оборудован специальным паровоздушным клапаном, поддерживающим повышенное давление в системе с целью предотвращения образования паровых мешков и местного перегревания деталей.

2.2. Система охлаждения дизеля

Управление тепловым состоянием двигателя осуществляется совокупностью устройств охлаждения-подогрева элементов остова и деталей движения и теплоносителей (охлаждающей жидкости, наддувочного воздуха, масла, топлива), которые часто связаны с системой утилизации теплоты.

От эффективности работы этой сложной многофункциональной системы зависит экономичность и ресурс дизелей.

Системы с умеренным уровнем температуры (70–90С) – двухконтурные, являются преобладающими среди применяемых в настоящее время на судовых дизелях. Они вполне оправданы для нефорсированных дизелей, что не исключает, однако, необходимости дальнейшего повышения их эффективности.

Уже ряд десятилетий ведутся работы над высокотемпературными и испарительными системами охлаждения, потенциально обладающие рядом существенных достоинств.

В общем случае, при высокотемпературном охлаждении оптимальной температурой принято считать такую, при которой наблюдается поверхностное кипение

Высокотемпературное охлаждение повышает КПД дизелей, уменьшает вероятность охлаждения зеркала цилиндра ниже точки росы продуктов сгорания топлива, в 3–5 раз уменьшает размеры водяных охладителей, повышает износостойкость цилиндровых втулок.

Высокотемпературное охлаждение с энергетической точки зрения выгоднее любых других систем охлаждения. Однако, переход на высокотемпературное охлаждение, естественно, сопровождается некоторым ростом температуры деталей ЦПГ, что может нарушить качественную смазку цилиндров. Несколько ухудшается воздухоснабжение дизеля при работе на номинальной нагрузке из-за уменьшения коэффициента наполнения цилиндров свежим зарядом воздуха. Затрудняется обеспечение бескавитационной работы циркуляционных насосов.

В настоящее время все большее количество фирм начинают применять системы высокотемпературного охлаждения.

Внедрение высокотемпературного охлаждения целесообразно проводить одновременно с внедрением систем глубокой утилизации теплоты. При этом резко возрастающие требования к обеспечению надежности систем охлаждения, к качеству технического обслуживания и профессионализму обслуживающего персонала будут оправданы повышением экономичности СЭУ.

При таком охлаждении, прежде всего, необходимо обеспечить герметичность системы, функционирующей при давлениях 0,3–0,5 МПа, что делает особенно важным повышение качества охлаждающей жидкости, исключающей существенную коррозию и кавитационную эрозию деталей, образующих зарубашечное пространство, и других элементов системы охлаждения и утилизации теплоты.

Особенностью этой системы является трехконтурность, причем низкотемпературный и высокотемпературный контуры постоянно сообщаются друг с другом. В системе два регулятора температуры, теплообменники включены в схему параллельно друг другу.

Кроме охлаждения на рабочих нагрузках деталей двигателей, возникает необходимость прогрева деталей и увеличения температуры рабочих сред.

Так, перед запуском необходим прогрев деталей остова для снижения тепловых напряжений, улучшения процессов смесеобразования и воспламенения топлива.

Предусмотренное на всех высокофорсированных двигателях охлаждение наддувочного воздуха, при котором в систему охлаждения отводится до 15% подведенной теплоты, все чаще основывается на применении комбинированных или двухсекционных теплообменников с тем, чтобы наддувочный воздух мог либо охлаждаться, либо подогреваться на холостом ходу и малых нагрузках.

Подогрев воздуха на частичных нагрузках повышает топливную экономичность двигателя, снижает динамичность рабочего процесса, а также уровень вибраций, порождаемый рабочим процессом двигателей повышенной и высокой оборотности.

Следует отметить, что увеличение глубины охлаждения наддувочного воздуха на рабочих нагрузках сопровождается ростом габаритов охладителя наддувочного воздуха и его гидравлического сопротивления, что негативно отражается на коэффициенте наполнения дизелей, их экономичности и требует поиска новых способов охлаждения.

2.3. Гидравлический расчёт систем охлаждения

Для определения характеристик трубопроводов и параметров насосов системы охлаждения производится гидравлический расчет.

Современные достижения в гидромеханике позволяют производить достаточно точные гидравлические расчеты судовых систем, однако непрерывное развитие техники, применение новых схем и способов охлаждения судовых дизелей, о некоторых из которых сказано выше, требует дальнейшего исследования процессов, протекающих в системах охлаждения с целью их уточнения и разработки новых методик их расчета.

В общем случае любая судовая система, представляющая собой единый комплекс, состоящий из трубопровода и гидравлической машины (насоса), может выполнять свои функции только при условии, если параметры системы и насоса будут соответствовать друг другу.

Для достижения установившегося режима работы системы необходимо, чтобы массовый расход жидкости в системе был равен массовой производительности насоса .

В частном случае, когда рабочей средой системы является несжимаемая жидкость, это условие будет удовлетворено при равенстве объемного расхода в системе и объемной производительности насоса.

Из уравнения энергетического баланса комплекса насос-трубопровод следует, что потребляемая системой энергия, равная ее полезной мощности:

,

должна равняться приращению энергии, сообщаемой жидкости в процессе энергообмена, т. е. величине:

,

где – плотность жидкости, кг/м3.

Поэтому установившийся режим работы системы возможен лишь при условии равенства напора , развиваемого насосом, полному напору в трубопроводе системы .

Определение условий, при которых трубопровод системы в заданном расчетном режиме будет работать устойчиво при использовании данного насоса, и составляет задачу гидравлического расчета.

По сложности гидравлические расчеты судовых систем можно условно разделить на две группы:

  1. Гидравлические расчеты “простых” трубопроводов;

  2. Гидравлические расчеты “сложных” (разветвленных и неразветвленных) трубопроводов.

Простым трубопроводом называется трубопровод с постоянными известными характеристиками, например, напором Н, внутренним диаметром D, средней по сечению скорости V или Q.

Сложным трубопроводом называется трубопровод, состоящий из магистральной линии и отводов от нее, причем магистраль состоит из участков в виде простых трубопроводов, каждый из которых характеризуется постоянными заданными по длине характеристиками. Независимо от сложности трубопровода, в нем всегда можно выделить отдельные участки, в пределах которых величины расходов и внутренние диаметры труб постоянны. Поэтому любой сложный трубопровод сводится к расчету большого числа простых трубопроводов; такие трубопроводы, выделенные из сложного, называют расчетными участками.

В зависимости от заданных (известных) характеристик все случаи расчета трубопроводов сводятся к решению двух типовых задач: прямой и обратной.

В прямой задаче требуется определить расходы по ответвлениям, а заданными являются характеристики насоса (производительность, напор) и трубопровод с ответвлениями (диаметр и длина труб, тип и количество арматуры и фасонных частей).

Обратная задача состоит в нахождении геометрических параметров элементов трубопровода и характеристик насоса при заданных расходах жидкости по потребителям.

Правильно спроектированная система должна удовлетворять следующим условиям:

  1. расход жидкости к потребителям должен практически соответствовать заданному;

  2. средняя по сечению скорость жидкости в трубопроводе не должна превышать предельных значений.

При проектировании систем гидравлический расчет трубопроводов производится в предположении, что общие потери давления в системе равны сумме потерь давления на трение в прямолинейных участках трубопровода , потерь давления в местных сопротивлениях (арматуре, фасонных элементах и т. д.) и статического сопротивления (геометрическая высота, подпор в цистерне) .

Определение величин , , производится соответственно по формулам:

,

,

,

где – коэффициент сопротивления трения по длине;

– коэффициент местного сопротивления;

– длина прямолинейных участков трубопровода;

– внутренний диаметр трубопровода;

– ускорение свободного падения;

– геометрическая высота – разность входа и выхода трубопровода.

Если в процессе эксплуатации системы режим ее работы изменяется (за расчет изменения количества потребителей или изменения количества потребляемой жидкости), необходимо производить гидравлические расчеты всех возможных вариантов работы системы.

В связи с тем, что гидравлические расчеты судовых систем являются в достаточной мере трудоемкими, во многих случаях могут быть применены различного рода упрощенные способы, графики и таблицы заранее вычисленных величин.

Для гидравлического расчета системы охлаждения заданным является расход теплоносителя через потребители (теплообменники) по ответвлениям, а также схема расположения трубопровода и арматуры.

В результате расчета требуется определить диаметры трубопроводов и характеристику насоса, обеспечивающие заданные расходы по потребителям.

Для выполнения этой задачи разработана следующая последовательность расчета:

  1. Выбирается расчетная схема трубопровода и определяется состав арматуры, фасонных и прямолинейных элементов и потребителей.

  2. Выделяется основная магистраль и ответвления. За основную магистраль применяется такое последовательное расположение элементов трубопровода от конца его до насоса, которое по предварительной оценке имеет наибольшее сопротивление.

  3. На схеме намечаются узловые точки. Узловой точкой трубопровода является точка, имеющая два или более расходящихся или сходящихся потока жидкости, а также точка, в которой заканчивается основная магистраль или ответвление.

  4. Часть магистрали, находящаяся между двумя ближайшими узловыми точками, является группой сопротивления.

  5. Ответвление может состоять из одной линии трубопровода или иметь дополнительные ответвления.

  6. Разбивается каждая группа сопротивлений на участки – последовательные соединения элементов трубопровода, в которых скорость воды и ее расход остаются постоянными.

  7. Указываются на схеме для каждого участка требуемый расход (Q), скорость воды (V), длины прямых участков трубопроводов (l) и расчетный диаметр трубопровода (D).

  8. Определяются конструктивные значения диаметров труб системы.

  9. По справочным таблицам определяются величины коэффициентов местных сопротивлений и рассчитываются потери давления от местных сопротивлений по каждому участку.

  10. Если в узловой точке находится тройник, то в каждую из соединяющихся групп включается сопротивление соответствующего отростка этого тройника.

  11. Производится определение потерь давления от трения по участкам. Затем рассчитывается суммарная потеря давления (от местных сопротивлений и от потерь на трение) по каждому из участков и групп сопротивления, в результате чего определяются узловые давления.

  12. Узловое давление определяется как сумма среднего узлового давления в предшествующей точке и потери давления между предшествующей и данной узловыми точками.

  13. Устанавливаются давления в узловой точке, подсчитанные по основной магистрали и ответвлению. Если они различаются меньше, чем на 5%, то расчетное узловое давление принимается равным среднему арифметическому из двух значений. Если же различие больше 5%, то давление следует уравнять.

  14. Для уравнивания давлений наиболее целесообразно изменить поперечное сечение одного из ответвлений (в пределах обеспечения допустимых скоростей). При невозможности этого устанавливают в ответвлении с меньшим сопротивлением дроссельные устройства, простейшим из которых является дроссельная диафрагма.

  15. Определяется коэффициент местного сопротивления дроссельного устройства, для чего следует разность между величинами узлового давления, подсчитанными по магистрали и ответвлению, разделить на динамическое давление потока жидкости в месте установки устройства.

  16. Подсчитывается давление в напорном патрубке насоса, которое равно сумме узлового давления последней узловой точки основной магистрали и потерь давления по основной магистрали от последней узловой точки до насоса.

  17. Рассчитывается аналогично напорному патрубку сопротивление приемной магистрали.

  18. Определяется давление, развиваемое насосом, как алгебраическая разность полных давлений в напорном и всасывающем патрубках насоса.

  19. Подбирается насос по общей производительности и давлению, которые определены расчетом.

Гидравлический расчет судовых систем дает общую точность в пределах 10%, обусловленную теми погрешностями, которые заключены в исходных данных и эмпирических коэффициентах, принимаемых в расчете. Разработанная на основе изложенного подхода программа расчетов и проектирования судовых систем позволяет рассматривать протекающие в них процессы взаимосвязанными, моделировать режимы работы и выбирать оптимальные конструктивные и эксплутационные параметры систем охлаждения.

2.4. Модель эрозионно-коррозионных разрушений в системах ййййжидкостного охлаждения дизелей

Процессы эрозионно-коррозионных разрушений в зарубашечном пространстве дизелей зависят от свойств и параметров как деталей остова (амплитуды и частоты колебаний, эрозионной и коррозионной стойкости материалов, напряжённо-деформированного и теплового состояния), охлаждающей жидкости (плотности, скорости звука, вязкости, поверхностного натяжения, состава и количества растворённых примесей и ингибиторов, температуры и давления), так и свойств границ раздела поверхностей и жидкости (шероховатости и смачиваемости).

Вибрации втулок и блоков цилиндров определяются несколькими факторами разной природы и интенсивности. Они содержат широкий спектр колебаний – от низкочастотных, кратных частоте вращения коленчатого вала (вынужденные колебания, обусловленные перекладкой поршня), до высокочастотных собственных колебаний втулки.

Кавитационные разрушения есть результат воздействия на охлаждающую жидкость двух колебательных процессов – собственных высокочастотных колебаний втулок цилиндров модулированных вынужденными вибрациями, порождаемыми ударами при перекладках поршней.

Вибрации поверхностей зарубашечного пространства – важнейший, но не единственный фактор, обуславливающий образование парогазовых пузырьков. Вторым фактором является поверхностное кипение недогретой охлаждающей жидкости, так как на значительной части наружной стороны втулок температура превышает 100С при статическом давлении, близком к атмосферному.

Таким образом, интенсивность образования разрывов сплошности определяет сочетание звукового давления, порождаемого вибрирующими поверхностями (динамический фактор), статического давления охлаждающей жидкости (статический фактор) и давления насыщения (тепловой фактор).

Статическое давление в жидкости препятствует образованию и росту пузырьков (разрывов сплошности), способствует их захлопыванию, тем самым минимизирует интенсивность тепловых потерь и, при определённом сочетании других параметров, кавитационных разрушений.

Динамический фактор в первый полупериод разряжения способствует образованию зародышей кавитации, росту парогазовых пузырьков, а во второй – их захлопыванию. На поверхности втулки тепловой фактор способствует росту пузырьков и препятствует их захлопыванию.

Паровые пузырьки, образующиеся на поверхности втулок, обладают наибольшей разрушающей силой, так как находятся под воздействием звукового поля максимальной интенсивности.

При определённых условиях может преобладать тот или иной фактор, что и определяет локализацию, интенсивность фазовых переходов и эрозионных разрушений.

Кинетику роста и захлопывания пузырьков в этих условиях можно представить следующим образом.

Возникающие под воздействием теплового потока и динамических импульсов, вызванных колебаниями втулок, паровые пузырьки быстро растут, их объём увеличивается в тысячи раз в течение сотых долей секунды. Достигнув некоторого размера определяемого интенсивностью теплового потока, свойствами и параметрами охлаждающей жидкости, пузырьки или отрываются от поверхности и, попадая в недогретое ядро потока, полностью или частично конденсируются, или в результате повышения звукового давления захлопываются, вызывая эрозионные разрушения.

При этом пузырьки, находящиеся как на стенках втулок, так и на стенках блоков, испытывают воздействие звукового излучения широкого спектра частот, порождаемых вибрациями как поверхностей втулок, так и блока цилиндров, что сказывается на динамике их роста и захлопывания и интенсивности воздействия на стенку.

Одновременно происходит интенсивный молярный отток теплоты от нагретой поверхности и приток к ней относительно холодной воды, содержащей в большом количестве растворённые примеси, прежде всего, агрессивные газы, анионы и катионы, усиливающие коррозию металла и накипеобразование.

Если на поверхности втулки, например из-за случайно возникшего технологического дефекта образовалась язвина, имеющая глубину больше средней, то, чем глубже язвина, тем выше температура в её вершине, тем с большей интенсивностью идёт процесс образования пузырьков, интенсивно захлопывающихся в глубине эрозионного кратера.

Однако процесс идёт до тех пор, пока динамический фактор преобладает над тепловым. Такие процессы характерны для высокооборотных, а, следовательно, виброактивных дизелей.

В результате кавитации и поверхностного кипения во внутреннем контуре системы охлаждения циркулирует двухфазный (жидкость-пар) поток, в котором объёмная доля парогазовых включений изменяется от минимального значения на входе в блок цилиндров до максимума на его выходе.

Увеличение концентрации парогазовых пузырьков в зарубашечном пространстве за пределами пограничного слоя резко уменьшает скорость звука в воде, а, следовательно, интенсивность воздействия звуковых волн, генерируемых втулкой цилиндра на пузырьки, находящиеся на внутренней поверхности блока, и наоборот.

Поэтому переход к охлаждению остова двухфазным пароводяным потоком, например при высокотемпературном охлаждении, может уменьшить интенсивность эрозионных разрушений.

На интенсивность кипения в пристенной области оказывает влияние шероховатость поверхности. В начальный период разрушения новых втулок центрами образования дискретной фазы служат микровпадины, которые на наружной поверхности чугунных втулок после изготовления имеют величину, достигающую 40 мкм.

В дальнейшем шероховатость поверхности будет зависеть от интенсивности эрозионно-коррозионных разрушений и накипеобразования, причём последний процесс изменяет не только шероховатость поверхности, но и теплопроводность втулки.

В зависимости от физико-химических свойств воды в системе охлаждения могут образовываться гипсовые, карбонатные, силикатные, железистые, органические и смешанные отложения. Из-за низкой теплопроводности они существенно ухудшают теплоотдачу и тем самым уменьшают эффективность функционирования дизелей.

Известно, что толщина накипи в 1 мм способна увеличить температуру зеркала втулки на 50С и более, что негативно сказывается на обеспечении гидродинамического режима смазки и увеличивает изнашивание в сопряжении втулка – поршневая группа.

Третьим фактором, определяющим интенсивность изнашивания, является напряжённое состояние вибрирующих деталей.

Детали остова, прежде всего втулки цилиндров, подверженные эрозионно-коррозионному изнашиванию, в процессе изготовления, сборки и работы двигателя испытывают монтажные, механические, тепловые и вибрационные напряжения, неравномерно распределённые по окружности втулок.

Кроме постоянно действующих или медленно меняющихся напряжений, важное значение играют локальные и импульсные напряжения, возникающие в результате действия нормальной составляющей силы и ударов о втулку поршня при перекладках.

В наибольшей степени неравномерность напряжённого и теплового состояния проявляется на поверхностях втулок в плоскости качания шатуна, причём влияние контактных напряжений в расчётных моделях эрозионно-коррозионных разрушений не учитывается.

Таким образом, детали, образующие зарубашечное пространство, находятся в сложном напряжённом состоянии, причём поверхности, подверженные разрушению, испытывают действие растягивающих напряжений.

Четвёртым фактором в процессе разрушения является коррозия.

В отличие от кавитационной эрозии, которая возникает только в работающем двигателе, коррозионные разрушения разной интенсивности протекают всё время от момента завершения его изготовления до списания, в том числе во время транспортировки и хранения двигателей, межнавигационного отстоя и ремонта судов (атмосферная коррозия), в периоды простоев, при ожидании погрузки или разгрузки, шлюзования и т. п.

По современным представлениям, водная среда является основным фактором в установлении скачка потенциала на границе раздела жидкой и твёрдой фаз, а, следовательно, и электрохимической коррозии.

При контакте металла с водой вся его поверхность самопроизвольно разбивается на большое количество микро- и макрогальванических элементов. Образовавшиеся коррозионные элементы состоят из растворимых электродов (анодов) и нерастворимых электродов (катодов).

Существенную роль в формировании двойного электрического слоя, возникающего в месте контакта металла с жидкостью, играют диэлектрическая постоянная, активность и гидратация ионов и ряд других показателей, сильно зависящих от температуры воды.

Для втулок и блоков цилиндров особенно опасной является язвенная (питтинговая) коррозия, так как этой коррозии особенно подвержены легкопассивирующиеся металлы – железо и алюминий, а также сплавы на их основе.

Язвенная коррозия возникает, как правило, в растворах, в которых содержится окислитель – кислород, и одновременно присутствуют активирующие анионы , .

Важную роль в протекании процесса коррозии играет тепловое и напряжённое состояние деталей остова. По данным ряда исследователей между поверхностями с различными температурами и тепловыми напряжениями может возникать электрический ток такого направления, при котором места с максимальными тепловыми напряжениями будут выполнять функцию анода.

Применительно к конструкции судового дизеля таким участком на поверхности втулки является плоскость качания шатуна, где возникают наибольшие напряжения и температуры, обусловленные максимальным порывом газов и контактными теплообменом и напряжениями, возникающими под воздействием нормальной составляющей силы.

В этой связи одним из косвенных факторов, влияющих на интенсивность эрозионно-коррозионных разрушений, являются утечки рабочего тела из надпоршневого пространства.

Растягивающие средние напряжения цикла в условиях коррозии весьма резко снижают сопротивление усталости, вследствие чего предел выносливости при отнулевом цикле растяжения в 10 раз ниже аналогичного предела при сжатии. При этом в поверхностных слоях металла возникают трещины коррозионной усталости, в основном, внутрикристаллитные. Около небольших местных коррозионных повреждений поверхности создается концентрация напряжений, причем на дне коррозионной полости они достигают максимума. Это приводит к более интенсивному развитию коррозии и к постепенному углублению трещины.

Дополнительным фактором, способствующим образованию макрогальванических пар и усиливающим коррозионные разрушения, является трибоэлектричество, возникающее при трении поршня и втулки и имеющее максимальную величину в тех зонах, где выполняющий функции изолятора слой масла имеет минимальную толщину, т. е. также в полости качания шатуна.

Наряду с макрогальваническими парами, которые образованы зонами, охватывающими участки втулки с различными уровнями напряжений и температур, возникают микрогальванические пары, в которых анодными участками являются микрозоны, испытавшие воздействие кавитационных струй и ударных волн, и окружающие их катодные участки.

Другим фактором, обуславливающим появление микрогальванических пар и усиливающее величину анодного тока, являются различия в тепловом состоянии вершины (дна) и стенок питтингов.

В зазорах посадочных поясов между отрицательно заряженным блоком и положительно заряженными втулками цилиндров протекает коррозионный ток. Наибольшим разрушениям подвержен материал блока, который является анодом.

Эрозия и коррозия взаимно усиливают интенсивность разрушения втулок: коррозия ослабляет механическую прочность слоя, который затем более легко удаляется под воздействием захлопывающихся кавитационных пузырьков. В свою очередь, металл, незащищённый окислами, в большей степени подвержен коррозии.

Кроме того, кавитация вызывает усиление химической активности растворов за счёт образования окислителей (, , и др.), что усиливает процесс коррозии.

В последние годы появились работы, в которых показано возникновение звукохимических реакций и физико-химических эффектов при низких звуковых (15–100 Гц) частотах, т. е. в диапазоне, совпадающем с частотой вынужденных колебаний втулок и блоков цилиндров.

Сочетание высокочастотных и низкочастотных колебаний усиливает интенсивность звукохимических реакций.

Очевидно, что эти процессы протекают с наибольшей интенсивностью в двигателях, имеющих максимальную виброактивность.

Интенсивность разрушения поверхностей зарубашечного пространства определяется количеством действующих неблагоприятных факторов, а их локализация – факторами детерминированной и статической природы, причём первые определяют положения зон разрушения, а вторые – положение питтингов в этих зонах.

Зоны разрушения определяются локализацией ударных нагрузок, повышенными тепловым, механо- и теплонапряжённым состоянием деталей и т. д.

Положение эрозионно-коррозионных питтингов в этих зонах связано со случайным характером распределения микронеровностей, структурной неоднородностью материала, заключающейся в вариациях размеров и очертаний отдельных кристаллов (зерён) металла, направлений их кристаллографических плоскостей, в наличии различных фаз, включений, дефектов и т. д.

Шестым фактором, влияющим на эрозионно-коррозионные разрушения, является изменение состояния дизеля в процессе эксплуатации.

Необходимо отметить, что по мере износа деталей цилиндро-поршневой группы уменьшается не только механический и индикаторный КПД двигателя, но и увеличивается скорость эрозионно-коррозионного разрушения зарубашечного пространства.

Определяющим в этом процессе является изнашивание зеркала цилиндра и тронка поршня, способствующее увеличению радиального зазора и вибраций, потери герметичности камеры сгорания и увеличению температуры стенок при прорыве газов.

К числу других эксплуатационных факторов, влияющих на скорость разрушения, относится увеличение гидравлического сопротивления контуров системы охлаждения, сопровождающееся снижением статического давления охлаждающей жидкости, ухудшением регулирования температуры охлаждающей жидкости и теплового состояния остова дизелей.

Вариации скорости эрозионно-коррозионных разрушений у различных экземпляров двигателей одного типа объясняются случайным характером технологических отклонений, прежде всего размеров деталей цилиндро-поршневой группы, качеством сборки, условий и режимов эксплуатации.

Степень интенсивности этих разрушений у двигателей различных типов также неодинакова: в одних случаях они являются причиной преждевременного выхода из строя деталей, в других, создавая концентраторы напряжений, оказывают косвенное влияние на ресурс остова или элементов системы охлаждения, но, в любом случае, увеличивают затраты, связанные с непроизводительными простоями судов и ремонтом двигателей.


С

Масляный

холодильник

Охладитель

наддувочного

воздуха

Водо-водяной

холодильник

Р

Т

Р

Т

Двигатель

истема охлаждения дизеля 6ЧНСП18/22











забортная вода









Лист







Изм.

Лист

№ докум.

Подп.

Дата


6. Поведение экипажа в чрезвычайных ситуациях

6.1. Общие сведения

Современный человек живёт в мире опасностей: природных, техногенных, антропогенных, экологических. Количество стихийных бедствий на Земле возросло, число аварий и катастроф тоже не уменьшается. Это приводит к большим человеческим жертвам, нарушению экологии, среды обитания и наносит огромный материальный урон.

Главнейшей задачей общества является безопасность жизни человека. Однако даже в мирное время его постигают опасности, вызываемые производственными и транспортными авариями, катастрофами и стихийными бедствиями. За последнее десятилетие число аварий и катастроф, особенно в промышленности и на транспорте, значительно возросло. Это связано со сложностью современной промышленной технологии, недостаточной квалификацией персонала, низким качеством используемого оборудования, слабой технологической и трудовой дисциплиной. Достаточно часто чрезвычайная ситуация может возникнуть при разрушении равновесия человека и окружающей среды, итогами которого являются разрушения, затопления, пожары, химические заражения, радиоактивные загрязнения и т.п. Последствия, как правило, трагические, проявляющиеся в поражениях, увечьях, гибели людей, нанесении огромного материального ущерба. Следует иметь в виду, что каждая чрезвычайная ситуация имеет свою причину, особенность и характер развития.

Мореплавание исторически было и остаётся одной из главнейших и необходимых сфер деятельности человека, несмотря на то, что риск для жизни человека на морском транспорте значительно выше, чем на железнодорожном и авиационном.

Анализ прошедших крупных аварий и катастроф на море показывает, что 10% аварий возникает по причине стихийных бедствий, 15% – как следствие недостатков конструкций судов, но большинство чрезвычайных ситуаций на море (75%) происходит по вине людей и, прежде всего, по причинам неправильной эксплуатации судна. К ним следует отнести:

  • отсутствие чувства ответственности, беспечность, пренебрежение мерами безопасности;

  • недостаточную профессиональную подготовку;

  • плохую организацию судовой и спасательной служб.

Все члены экипажа должны быть готовы к действиям на море в чрезвычайных ситуациях, уметь бороться за живучесть судна, а в случае его гибели эффективно использовать все имеющиеся спасательные средства в экстремальных условиях. В этом решающую роль играет профессиональная и морально-психологическая подготовка. Основными последствиями аварий, катастроф водного транспорта на акваториях, в портах являются взрывы опасных грузов, пожары, приводящие к потоплению судов. При этом разрушаются порты, пристани, гибнут пассажиры и экипажи судов, работники портов, наносится значительный материальный урон морскому и речному флоту. В результате разлива нефтепродуктов наносится огромный экологический ущерб окружающей среде.

С учётом мировых статистических данных аварии, катастрофы на водном транспорте можно разделить на следующие основные группы:

  • аварии с повреждением корпуса судна (столкновения, штормовые повреждения, удары о рифы и т.п.);

  • пожары и взрывы;

  • повреждения механизмов.

Наибольшее количество аварий возникает по причинам повреждения корпуса судна и в результате повреждения механизмов.

Для предупреждения возникновения чрезвычайных ситуаций на водном транспорте рекомендуется проводить ежегодный технический надзор в судостроении и судоходстве с освидетельствованием каждого судна, проверять готовность членов экипажа к выполнению своих обязанностей, особенно в возможных авариях, катастрофах и т.п.

6.2. Прогнозирование и оценка химической обстановки при (ййй)заражении СДЯВ

Сильнодействующие ядовитые вещества широко применяются в современном производстве. На химически опасных объектах экономики используются, производятся, складируются и транспортируются огромные количества СДЯВ. Большое число людей, работающих на подобных предприятиях, могут подвергнутся значительному риску при возникновении аварий и различных чрезвычайных ситуаций.

Прогнозирование возможных последствий чрезвычайных ситуаций позволяет своевременно принять необходимые меры по повышению устойчивости работы объекта, способствует предотвращению человеческих жертв и уменьшению экономического ущерба. Заблаговременное прогнозирование позволяет выявить критичные элементы объекта экономики, определить возможные последствия чрезвычайной ситуации, в том числе и последствия вторичных поражающих факторов, и на их основе подготовить рекомендации по защите гражданского населения от этих последствий.

Угроза поражения людей СДЯВ требует быстрого и точного выявления и оценки химической обстановки. Под химической обстановкой понимают масштабы и степень химического заражения местности, оказывающие влияние на действия формирований гражданской обороны, работу объекта экономики и жизнедеятельность населения. Под оценкой химической обстановки понимается определение масштаба и характера заражения СДЯВ, анализ их влияния на деятельность объекта экономики, сил гражданской обороны и населения.

Задача

В морском порту днём произошла авария необвалованной ёмкости без поддона с сжиженным аммиаком в количестве 200 тонн, местность закрытая. На расстоянии 5 километров от порта на рейде находится пассажирское судно. Члены экипажа и пассажиры в количестве 800 человек находятся в помещениях. Рабочие и служащие порта в количестве 200 человек обеспечены противогазами на 60%. Провести прогноз площади зоны возможного заражения. Оценить химическую обстановку в порту и на судне, если направление ветра на объект, скорость ветра 3 метра в секунду, состояние погоды – “ясно”, температура воздуха 10С. Время после начала аварии – 4 часа.

Решение

С учётом данных метеосводки определяем степень вертикальной устойчивости воздуха – конвекция.

Находим время поражающего действия СДЯВ (время испарения):

ч мин,

где м – толщина слоя жидкости для СДЯВ;

т/м3 – плотность СДЯВ;

– коэффициент, учитывающий физико-химические свойства СДЯВ;

– коэффициент, зависящий от скорости ветра;

– коэффициент, учитывающий влияние температуры воздуха.

При выбросе сжиженных СДЯВ для расчёта глубины и площади заражения необходимо знать количественные характеристики выброса сжиженных газов, которые определяются эквивалентными количествами веществ по первичному и вторичному облаку.

Определяется эквивалентное количество СДЯВ в первичном облаке:

т,

где – коэффициент, зависящий от условий хранения СДЯВ;

– коэффициент, равный отношению пороговой токсодозы хлора к пороговой токсодозе аммиака;

– коэффициент, учитывающий степень вертикальной устойчивости воздуха;

т – общее количество СДЯВ, выброшенного (разлившегося) при аварии.

Определяется эквивалентное количество СДЯВ во вторичном облаке:

т,

где – коэффициент, зависящий от времени, прошедшего с начала аварии.

Находятся глубины зон заражения и в зависимости от эквивалентного количества выброшенного и вылившегося аммиака с учётом скорости ветра:

км; км.

Полная глубина зоны заражения:

км,

где – наибольший из размеров и ;

– наименьший из размеров и .

Определяется предельно возможная глубина переноса заражённого воздуха:

км,

где ч – время от начала аварии;

км/ч – скорость переноса заражённого облака.

За окончательную глубину зоны химического заражения СДЯВ принимается расчётная глубина , определяемая наименьшим значением при сравнении величин и :

км.

Площадь зоны фактического химического заражения:

км2,

где – поправочный коэффициент, зависящий от степени вертикальной устойчивости воздуха.

Определяется ширина зоны химического заражения СДЯВ с учётом расчётной глубины и степени вертикальной устойчивости воздуха:

км.

По результатам расчётов строится фактическая зона химического заражения (рис. 6.1).


Рис 6.1. Зона химического заражения

Пассажирское судно в зону химического заражения не попадает.

Возможные потери людей в порту:

количество поражённых: чел.

Из них: со смертельным исходом – чел;

поражения средней и тяжёлой степени – чел;

лёгкой степени – чел.

Мероприятия по предотвращению химического заражения:

  • оповещение об аварии рабочих, руководящего состава подразделений гражданской обороны и населения, попадающего в зону химического заражения;

  • ведение химической разведки с обозначением границ очага химического заражения;

  • оцепление зоны химического заражения и организация патрулирования на дорогах;

  • использование средств индивидуальной и коллективной защиты для укрытия рабочих и служащих;

  • локализация и ликвидация аварии;

  • постановка водяных завес на запланированных рубежах;

  • поиск, вынос поражённых и оказание им первой медицинской помощи;

  • эвакуация рабочих, служащих и населения из очага химического заражения и угрожающей зоны;

  • дегазация мест разлива СДЯВ;

  • санитарная обработка личного состава, специальная обработка техники и помещений.


6. Поведение экипажа в чрезвычайных ситуациях

6.1. Общие сведения

Современный человек живёт в мире опасностей: природных, техногенных, антропогенных, экологических. Количество стихийных бедствий на Земле возросло, число аварий и катастроф тоже не уменьшается. Это приводит к большим человеческим жертвам, нарушению экологии, среды обитания и наносит огромный материальный урон.

Главнейшей задачей общества является безопасность жизни человека. Однако даже в мирное время его постигают опасности, вызываемые производственными и транспортными авариями, катастрофами и стихийными бедствиями. За последнее десятилетие число аварий и катастроф, особенно в промышленности и на транспорте, значительно возросло. Это связано со сложностью современной промышленной технологии, недостаточной квалификацией персонала, низким качеством используемого оборудования, слабой технологической и трудовой дисциплиной. Достаточно часто чрезвычайная ситуация может возникнуть при разрушении равновесия человека и окружающей среды, итогами которого являются разрушения, затопления, пожары, химические заражения, радиоактивные загрязнения и т.п. Последствия, как правило, трагические, проявляющиеся в поражениях, увечьях, гибели людей, нанесении огромного материального ущерба. Следует иметь в виду, что каждая чрезвычайная ситуация имеет свою причину, особенность и характер развития.

Мореплавание исторически было и остаётся одной из главнейших и необходимых сфер деятельности человека, несмотря на то, что риск для жизни человека на морском транспорте значительно выше, чем на железнодорожном и авиационном.

Анализ прошедших крупных аварий и катастроф на море показывает, что 10% аварий возникает по причине стихийных бедствий, 15% – как следствие недостатков конструкций судов, но большинство чрезвычайных ситуаций на море (75%) происходит по вине людей и, прежде всего, по причинам неправильной эксплуатации судна. К ним следует отнести:

  • отсутствие чувства ответственности, беспечность, пренебрежение мерами безопасности;

  • недостаточную профессиональную подготовку;

  • плохую организацию судовой и спасательной служб.

Все члены экипажа должны быть готовы к действиям на море в чрезвычайных ситуациях, уметь бороться за живучесть судна, а в случае его гибели эффективно использовать все имеющиеся спасательные средства в экстремальных условиях. В этом решающую роль играет профессиональная и морально-психологическая подготовка. Основными последствиями аварий, катастроф водного транспорта на акваториях, в портах являются взрывы опасных грузов, пожары, приводящие к потоплению судов. При этом разрушаются порты, пристани, гибнут пассажиры и экипажи судов, работники портов, наносится значительный материальный урон морскому и речному флоту. В результате разлива нефтепродуктов наносится огромный экологический ущерб окружающей среде.

С учётом мировых статистических данных аварии, катастрофы на водном транспорте можно разделить на следующие основные группы:

  • аварии с повреждением корпуса судна (столкновения, штормовые повреждения, удары о рифы и т.п.);

  • пожары и взрывы;

  • повреждения механизмов.

Наибольшее количество аварий возникает по причинам повреждения корпуса судна и в результате повреждения механизмов.

Для предупреждения возникновения чрезвычайных ситуаций на водном транспорте рекомендуется проводить ежегодный технический надзор в судостроении и судоходстве с освидетельствованием каждого судна, проверять готовность членов экипажа к выполнению своих обязанностей, особенно в возможных авариях, катастрофах и т.п.

6.2. Прогнозирование и оценка химической обстановки при (ййй)заражении СДЯВ

Сильнодействующие ядовитые вещества широко применяются в современном производстве. На химически опасных объектах экономики используются, производятся, складируются и транспортируются огромные количества СДЯВ. Большое число людей, работающих на подобных предприятиях, могут подвергнутся значительному риску при возникновении аварий и различных чрезвычайных ситуаций.

Прогнозирование возможных последствий чрезвычайных ситуаций позволяет своевременно принять необходимые меры по повышению устойчивости работы объекта, способствует предотвращению человеческих жертв и уменьшению экономического ущерба. Заблаговременное прогнозирование позволяет выявить критичные элементы объекта экономики, определить возможные последствия чрезвычайной ситуации, в том числе и последствия вторичных поражающих факторов, и на их основе подготовить рекомендации по защите гражданского населения от этих последствий.

Угроза поражения людей СДЯВ требует быстрого и точного выявления и оценки химической обстановки. Под химической обстановкой понимают масштабы и степень химического заражения местности, оказывающие влияние на действия формирований гражданской обороны, работу объекта экономики и жизнедеятельность населения. Под оценкой химической обстановки понимается определение масштаба и характера заражения СДЯВ, анализ их влияния на деятельность объекта экономики, сил гражданской обороны и населения.

Задача

В морском порту днём произошла авария необвалованной ёмкости без поддона с сжиженным аммиаком в количестве 200 тонн, местность закрытая. На расстоянии 5 километров от порта на рейде находится пассажирское судно. Члены экипажа и пассажиры в количестве 800 человек находятся в помещениях. Рабочие и служащие порта в количестве 200 человек обеспечены противогазами на 60%. Провести прогноз площади зоны возможного заражения. Оценить химическую обстановку в порту и на судне, если направление ветра на объект, скорость ветра 3 метра в секунду, состояние погоды – “ясно”, температура воздуха 10С. Время после начала аварии – 4 часа.

Решение

С учётом данных метеосводки определяем степень вертикальной устойчивости воздуха – конвекция.

Находим время поражающего действия СДЯВ (время испарения):

ч мин,

где м – толщина слоя жидкости для СДЯВ;

т/м3 – плотность СДЯВ;

– коэффициент, учитывающий физико-химические свойства СДЯВ;

– коэффициент, зависящий от скорости ветра;

– коэффициент, учитывающий влияние температуры воздуха.

При выбросе сжиженных СДЯВ для расчёта глубины и площади заражения необходимо знать количественные характеристики выброса сжиженных газов, которые определяются эквивалентными количествами веществ по первичному и вторичному облаку.

Определяется эквивалентное количество СДЯВ в первичном облаке:

т,

где – коэффициент, зависящий от условий хранения СДЯВ;

– коэффициент, равный отношению пороговой токсодозы хлора к пороговой токсодозе аммиака;

– коэффициент, учитывающий степень вертикальной устойчивости воздуха;

т – общее количество СДЯВ, выброшенного (разлившегося) при аварии.

Определяется эквивалентное количество СДЯВ во вторичном облаке:

т,

где – коэффициент, зависящий от времени, прошедшего с начала аварии.

Находятся глубины зон заражения и в зависимости от эквивалентного количества выброшенного и вылившегося аммиака с учётом скорости ветра:

км; км.

Полная глубина зоны заражения:

км,

где – наибольший из размеров и ;

– наименьший из размеров и .

Определяется предельно возможная глубина переноса заражённого воздуха:

км,

где ч – время от начала аварии;

км/ч – скорость переноса заражённого облака.

За окончательную глубину зоны химического заражения СДЯВ принимается расчётная глубина , определяемая наименьшим значением при сравнении величин и :

км.

Площадь зоны фактического химического заражения:

км2,

где – поправочный коэффициент, зависящий от степени вертикальной устойчивости воздуха.

Определяется ширина зоны химического заражения СДЯВ с учётом расчётной глубины и степени вертикальной устойчивости воздуха:

км.

По результатам расчётов строится фактическая зона химического заражения (рис. 6.1).


Рис 6.1. Зона химического заражения

Время подхода заражённого воздуха к судну:

мин,

где км – расстояние от места аварии до пассажирского судна.

Возможные потери людей на судне:

количество поражённых: чел.

Из них: со смертельным исходом – чел;

поражения средней и тяжёлой степени – чел;

лёгкой степени – чел.

Возможные потери людей в порту:

количество поражённых: чел.

Из них: со смертельным исходом – чел;

поражения средней и тяжёлой степени – чел;

лёгкой степени – чел.

Мероприятия по предотвращению химического заражения:

  • оповещение об аварии рабочих, руководящего состава подразделений гражданской обороны и населения, попадающего в зону химического заражения;

  • ведение химической разведки с обозначением границ очага химического заражения;

  • оцепление зоны химического заражения и организация патрулирования на дорогах;

  • использование средств индивидуальной и коллективной защиты для укрытия рабочих и служащих;

  • локализация и ликвидация аварии;

  • постановка водяных завес на запланированных рубежах;

  • поиск, вынос поражённых и оказание им первой медицинской помощи;

  • эвакуация рабочих, служащих и населения из очага химического заражения и угрожающей зоны;

  • дегазация мест разлива СДЯВ;

  • санитарная обработка личного состава, специальная обработка техники и помещений.


Содержание

Ведение 5

1. Модернизация судового дизеля 6

1.1 Выбор основных направлений модернизации 6

1.2. Тепловой расчёт цикла модернизируемого дизеля 8

1.3. Расчёт кинематики и динамики КШМ 14

1.3.1. Построение индикаторной диаграммы 14

1.3.2. Расчёт и построение кривой сил инерции, диаграммы касательных сил и

суммарной диаграммы касательных сил 15

1.3.3. Определение массы маховика 22

1.4. Расчёт на прочность основных деталей модернизируемого дизеля 24

1.4.1. Расчёт на прочность коленчатого вала 24

1.4.2. Расчёт на прочность поршня, поршневого пальца и поршневых колец 33

1.4.2.1. Расчёт поршня 33

1.4.2.2. Расчёт поршневого пальца 35

1.4.2.3. Расчёт поршневого кольца 38

1.4.3. Расчёт на прочность шатуна 41

1.4.4. Расчёт цилиндров и рабочих втулок 45

1.4.5. Расчёт на прочность клапана 48

1.5. Определение основных параметров топливной аппаратуры 51

2. Система охлаждения дизелей 6ЧНСП18/22 54

2.1. Общие сведения 54

2.2. Система охлаждения дизеля 55

2.3. Гидравлический расчёт систем охлаждения 57

2.4. Модель эрозионно-коррозионных разрушений в системах жидкостного

охлаждения дизелей 60

3. Техническая эксплуатация и обслуживание дизеля 65

3.1. Испытания модернизируемого дизеля 65

3.2. Подготовка дизеля к пуску после межнавигационного отстоя или ремонта 66

3.2.1. Общие сведения 66

3.2.2. Расконсервация 67

3.2.3. Проверка монтажа 67

3.2.4. Подготовка системы охлаждения 68

3.2.5. Подготовка топливной системы 68

3.2.6. Подготовка смазочной системы 68

3.2.7. Подготовка устройств 69

3.2.8. Подготовка к пуску дизеля после кратковременной стоянки 69

3.3. Влияние условий эксплуатации на основные технико-экономические

показатели дизеля 71

3.3.1. Влияние метеорологических условий 71

3.3.2. Влияние условий плавания 72

3.4. Выбор оптимальных режимов работы дизеля 74

3.4.1. Обоснование эксплуатационных режимов работы главного двигателя 74

3.4.2. Выбор режима работы главного двигателя 75

3.5. Охрана окружающей среды при эксплуатации дизеля 79

3.6. Теплотехнический контроль дизеля во время эксплуатации 80

3.7. Диагностирование состояния дизеля по физико-химическим свойствам

моторного масла 81

3.8. Оценка работоспособности деталей дизелей с дефектами 82

3.9. Регулирование дизеля 84

3.9.1. Методы регулирования 84

3.9.2. Основные операции регулирования 85

3.10. Диагностирование дизелей методом эндоскопии 87

3.10.1. Общие сведения 87

3.10.2. Классификация эндоскопов 88

3.10.3. Жёсткие эндоскопы 88

3.10.4. Гибкие эндоскопы 91

3.10.5. Осветители 94

3.10.6. Видеоскопы 94

3.10.7. Цифровые измерительные системы 95

3.10.8. Использование эндоскопов 95

4. Технологический раздел 98

4.1. Монтаж двигателей внутреннего сгорания 98

4.2. Технологический процесс монтажа главного двигателя 99

4.3. Сборочные единицы крепления ДВС 102

4.3.1. Определение размеров прокладок при монтаже ДВС 102

4.3.2. Расчёт количества призонных болтов при монтаже ДВС 102

4.3.3. Установка призонных болтов 105

5. Охрана труда 107

5.1. Общие сведения 107

5.2. Программа расчёта уровней вибрации дизеля 6ЧНСП18/22 в октавных

полосах частот 108

5.2.1. Исходные данные 108

5.2.2. Расчёт уровней вибрации опорных поверхностей дизеля в октавных

полосах частот 108

5.2.3. Выбор виброизолятора для дизеля 108

5.2.4. Проектирование системы виброизоляции 109

5.2.5. Подготовка данных для построения спектров вибрации 110

6. Поведение экипажа в чрезвычайных ситуациях 112

6.1. Общие сведения 112

6.2. Прогнозирование и оценка химической обстановки при заражении СДЯВ 113

7. Экономическое обоснование проекта модернизации 116

7.1. Общие сведения 116

7.2. Выбор и обоснование судна-прототипа 116

7.3. Выбор и расчёт эксплуатационных показателей 117

7.4. Расчёт годового объёма продукции 117

7.5. Определение расчётной цены двигателя 118

7.6. Расчёт строительной стоимости судов 119

7.7. Расчёт эксплуатационных затрат на годовой объём продукции 120

7.7.1. Расчёт годовых эксплуатационных издержек 120

7.7.2. Расчёт затрат на топливо и энергию 121

7.7.3. Расчёт амортизационных отчислений 122

7.7.4. Расчёт затрат на ремонт 122

7.8. Расчёт сопутствующих капитальных вложений 122

7.9. Расчёт основных показателей экономической эффективности 123

Заключение 125

Список использованной литературы 126


7. Экономическое обоснование проекта модернизации

7.1. Общие сведения

Важной задачей высшей школы является подготовка специалистов, обладающих не только глубокими техническими знаниями, но и знаниями основ экономики производства, умением использовать их в практической работе.

В данном разделе дипломного проекта производятся расчёты, связанные с экономическим обоснованием проектируемого двигателя внутреннего сгорания при условии установки его на заранее выбранное судно.

Данный расчёт предполагает, что новый двигатель, по сравнению установленным на судне-прототипе, обеспечивает выполнение одного или нескольких ниже перечисленных условий:

  • снижение строительной стоимости ДВС (общей или на единицу мощности);

  • снижение удельных расходов топлива и масла на единицу мощности;

  • увеличение технического ресурса двигателя до капитального ремонта (списания);

  • увеличение скорости хода судна.

В расчёте не учитывается экономический эффект от следующих факторов:

  • изменения грузоподъёмности судна за счёт изменения массы ДВС, запасов топлива и масла;

  • изменения затрат времени на неплановые ремонты и т.д.

7.2. Выбор и обоснование судна-прототипа

При выполнении экономического обоснования выбирается судно проекта 14891, на котором предполагается установить спроектированный дизель.

Чтобы в дальнейшем отличать идентичные показатели судна-прототипа и судна со спроектированным двигателем, условимся ставить для них разные надстрочные символы: п – для судна-прототипа, н – для того же судна с новым двигателем. Также для краткости условимся называть судно, на которое будет установлен спроектированный двигатель, – новое судно. После выбора судна-прототипа составляется табл. 7.1 с краткой характеристикой нового судна и судна-прототипа. Данные о строительной стоимости судов заносятся после выполнения соответствующих разделов.

Таблица 7.1

Основные технико-эксплуатационные показатели сравниваемых судов

Наименование показателя

Величина показателя

Судно-прототип Новое судно
Грузоподъёмность Q, т 810

Основные размерения LBH; T, м

7210,68; 2,31

Марка главного двигателя по ГОСТ и мощность установки , кВт

26ЧНСП18/22

2220

6ЧНСП18/22

440

Род и удельный расход топлива ГД, кг/(кВтч)

дизельное

0,231

дизельное

0,209

Скорость судна , км/ч

19
Численность экипажа, чел 10
Строительная стоимость судна Ц, млн. руб. 56,21 55,49

7.3. Выбор и расчёт эксплуатационных показателей

При выполнении экономического обоснования необходимо обеспечить сопоставимость условий эксплуатации судов, основными из которых являются: линия (район) эксплуатации судов в течение навигационного периода; род перевозимого груза; длительность годового эксплуатационного периода; доля ходового времени в грузу и порожнем; производительность и механовооружённость погрузочно-разгрузочных работ и т.п.

При выполнении экономического обоснования определяется не абсолютная эффективность нового судна при перевозке некоторого конкретного рода груза из пункта А в пункт Б, а его эффективность в сравнении с использованием для этих целей судна-прототипа. Поэтому в выполняемых расчётах допустимо принимать усредненные значения таких эксплуатационных показателей, как длительность годового эксплуатационного периода, нагрузка на 1 тонну грузоподъёмности, судоходные условия, определяющие техническую скорость судна, долю ходового времени с грузом и т.д.

Так как суммарная мощность установки не меняется, то:

км/ч.

Техническая скорость нового судна с грузом также будет равна технической скорости судна-прототипа:

км/ч.

Численные значения принятых эксплуатационных показателей заносятся в табл. 7.2.

Таблица 7.2

Эксплуатационные показатели сравниваемых судов

Судно

Эксплуатационные показатели

Длительность эксплуатационного периода, сут. Техническая скорость, км/ч Нагрузка на 1 тонну грузоподъ-ёмности

Всего

в том числе с грузом порожнем

ходовое время с грузом

ходовое время порожнем

прочие составляю-щие

прототип

210 73,5 21 115,5 17,5 19 0,8

новое

210 73,5 21 115,5 17,5 19 0,8

7.4. Расчёт годового объёма продукции

За среднегодовой объём продукции принимается транспортная работа выраженная в тонно-километрах. Так как все составляющие в формуле равны для судна-прототипа и нового судна, то получим:

ткм,

где сут. – ходовое время с грузом;

км/ч – техническая скорость судна с грузом;

– нагрузка на 1 тонну грузоподъёмности;

т – грузоподъёмность.


7.5. Определение расчётной цены двигателя

Цена любого промышленного изделия определяется на основе сметной калькуляции на его производство в условиях конкретного предприятия и внешних ценообразующих факторов.

Однако, определение стоимости двигателя с использованием метода счётной калькуляции довольно трудоёмкий процесс, поэтому при выполнении проектных наработок целесообразнее использовать менее трудоёмкий, но обеспечивающий достаточную точность расчётов параметрический метод. Этот метод предусматривает определение цены продукции на основе укрупненных измерителей стоимости, являющихся связующим звеном между ценой и некоторыми, заранее выбранными, технико-эксплуатационными параметрами изделия.

Для обеспечения сопоставимости рассматриваемых вариантов расчёт стоимости должен выполняться параллельно для нового двигателя и для двигателя-прототипа.

Анализ зависимости цены двигателя от различных технико-эксплуатационных параметров либо производных величин этих параметров показал, что в качестве параметров можно рекомендовать следующие:

  • удельная (на один оборот коленчатого вала) мощность двигателя, кВт/(об/мин):

,

где – мощность двигателя, кВт;

– число оборотов коленчатого вала;

  • условный рабочий объём, м3:

,

где – диаметр цилиндра, м;

– ход поршня, м;

– число цилиндров;

– степень наддува;

  • расчётный объём работы за период наработки до капитального ремонта, млн.кВтч:

,

где – технический ресурс до капитального ремонта, ч.

Далее определяется расчётная цена двигателя, тыс.руб.:

,

где – цена двигателя, определённая (по графикам) по i-му расчётному параметру, тыс.дол.;

– удельный вес i-того ценообразующего параметра:

; ; ;

– курс доллара в рублях на момент расчёта цены судна.

Данные и результаты расчёта приведены в табл. 7.3.

Таблица 7.3

Определение расчётной цены двигателя

Параметры

, кВт

, об/мин

, ч

, кВт/(об/мин)

, тыс.дол.

, м3

, тыс.дол.

, млн.кВтч

, тыс.дол.

, тыс.руб.

6ЧНСП18/22 220 750 1,40 30000

0,293

40000

0,027

16000

6,60

60000

1104
6ЧНСП18/22 440 1000 2,46 45000

0,440

55000

0,047

35000

19,8

95000

1778

7.6. Расчёт строительной стоимости судов

Представим строительную стоимость судна-прототипа в виде двух слагаемых:

,

где – строительная стоимость судна-прототипа без главных двигателей;

– строительная стоимость главных двигателей судна-прототипа, определённая по фактическим ценам на двигатели.

Однако условия сопоставимости затрат на постройку двигателей требуют расчёта цен на существующий и спроектированный двигатели по единой методике. Следовательно, и строительная стоимость судна-прототипа в целом должна быть откорректирована. Для этого может быть использована формула:

,

где – строительная стоимость главных двигателей судна-прототипа, определённая на основе расчётных цен.

Аналогично представим строительную стоимость нового судна:

,

где – строительная стоимость главных двигателей нового судна, определённая на основе расчётных цен.

Расчёт величин , , ведётся в форме таблицы (табл. 7.4).

Таблица 7.4

Расчёт строительной стоимости главных двигателей

Наименование составляющих стоимости

Расчётная формула, источник или норматив

Размер составляющих

судно-прототип

новое судно,

тыс. руб.

фактическая цена, тыс. руб. расчётная цена, тыс. руб.
  1. Цена главных двигателей

Раздел 7.5, данные судовладельца 1370 1104 1778
  1. Затраты на сооружение фундаментов

7% от п.1 137,0 110,4 177,8
  1. Стоимость запасных частей

3% от п.1 41,1 33,1 53,3
  1. Заготовительно-складские расходы

5% от суммы затрат по п.1 и п.3 70,6 56,9 91,6
  1. Затраты на транспортировку

15% от суммы затрат по п.1 и п.3 211,7 170,6 274,7
  1. Плановая прибыль судостроительного предприятия

27% от суммы затрат по п.1-5 457,6 368,7 593,9
Итого строительная стоимость главного двигателя 2288 1844 2969

По данным судовладельца:

млн.руб.

Произведём расчёт строительной стоимости судна-прототипа и нового судна:

млн.руб;

млн.руб.

7.7. Расчёт эксплуатационных затрат на годовой объём продукции

7.7.1. Расчёт годовых эксплуатационных издержек

Наибольшую долю затрат имеют такие статьи, как затраты на оплату труда экипажа, расходы на топливо, амортизационные отчисления и затраты на ремонт судов. Так как у нового судна, по сравнению с судном-прототипом, некоторые статьи затрат на содержание судов в эксплуатации не изменяются по величине или изменяются незначительно, то представляется целесообразным разбить годовые эксплуатационные издержки на две составляющие:

,

где – расходы по содержанию судна в эксплуатации по i-той статье затрат, зависящие от технико-эксплуатационных показателей судов;

– расходы на содержание судна в эксплуатации по i-той статье затрат, не зависящие от технико-эксплуатационных показателей судов;

– коэффициент распределяемых расходов по управлению и обслуживанию флота.

В нашем случае к изменяющимся элементам себестоимости содержания судов в эксплуатации можно отнести:

  • расходы на топливо и энергию ;

  • амортизацию основных фондов ;

  • затраты на ремонт .

К не изменяющимся статьям затрат относятся: зарплата экипажу, материалы, износ малоценных и быстроизнашивающихся предметов, платежи за хозяйственное и техническое обслуживание флота, прочие расходы, налоги, сборы и т.д.

Затраты на годовой объём перевозок определяются по нижеследующим выражениям.

По судну-прототипу на годовой объем продукции:

тыс.руб.,

где – затраты на перевозки по i-му изменяющемуся элементу, тыс. руб.;

– доля i-й статьи затрат в себестоимости перевозок, %.

По новому судну на годовой объём перевозок:

тыс.руб.

Так как объёмы продукции нового судна и судна-прототипа равны, то и:

тыс.руб.

Расчёт величин , , приведён ниже.


7.7.2. Расчёт затрат на топливо и энергию

Расходы на топливо и энергию включают в себя затраты, собственно, на топливо и затраты на масло , тыс.руб.:

.

В общем случае затраты на топливо могут быть рассчитаны по выражению, тыс.руб.:

,

где тыс.руб. – цена тонны топлива для главных и вспомогательных двигателей;

и – расход топлива за навигацию главными и вспомогательными двигателями, т.

В свою очередь, расход топлива пропорционален времени работы двигателей, их мощности, удельному расходу топлива и коэффициенту использования мощности, т:

,

или, с учетом размерности величин, входящих в выражение для определения затрат на топливо:

,

где – удельный расход топлива главными двигателями, г/(кВтч);

– суммарная мощность главных двигателей, кВт;

, – коэффициент использования мощности главных двигателей на ходу с грузом и порожнем;

, – ходовое время с грузом и порожнем, сут.;

– коэффициент, учитывающий расход топлива во время швартовок и манёвров.

Расход топлива вспомогательными двигателями рассчитывается из выражения, т:

,

где кВт – мощность вспомогательного двигателя;

– количество вспомогательных двигателей на судне;

г/(кВтч) – удельный расход топлива вспомогательными двигателями;

– коэффициент использования мощности судовой электростанции;

– коэффициент, учитывающий одновременность работы вспомогательных двигателей;

– длительность эксплуатационного периода, сут.

Расходы на масло состоят также из двух слагаемых, тыс.руб.:

.

Затраты на масло для главных двигателей определяются из выражения, тыс.руб.:

,

где тыс.руб. – цена тонны масла;

– удельный расход масла главными двигателями:

г/(кВтч), г/(кВтч).

Затраты на масло для вспомогательных двигателей, тыс.руб.:

,

где – расход топлива вспомогательными двигателями, т:

,

где г/(кВтч) – расход масла вспомогательным двигателем.

Результаты расчёта представлены в виде таблицы (табл. 7.5).


Таблица 7.5

Расчёт затрат на топливо и энергию

Параметры

, т

, т

, тыс.руб.

, тыс.руб.

, тыс.руб.

, тыс.руб.

, тыс.руб.

прототип 171,8 61,0 1280 118 31 149 1429
новое судно 155,5 1190 62 93 1283

7.7.3. Расчёт амортизационных отчислений

Размер амортизационных отчислений на реновацию (в дальнейшем просто амортизационных отчислений) зависит от типа, стоимости и срока службы судна. Размер этих отчислений устанавливается в процентах от стоимости судна.

Величина по судну-прототипу определяется из выражения:

тыс.руб.,

где % – норма амортизационных отчислений;

тыс.руб. – строительная стоимость судна-прототипа.

По новому судну размер амортизационных отчислений находится аналогичным образом с корректировкой на возможное изменение срока службы:

тыс.руб.,

где – поправочный коэффициент к норме отчислений, учитывающий изменение срока службы нового судна;

тыс.руб. – строительная стоимость нового судна.

7.7.4. Расчёт затрат на ремонт

Размер отчислений на ремонт судов зависит от типа, стоимости и срока службы судна. Аналогично отчислениям на реновацию размер отчислений в ремонтный фонд устанавливается в процентах от стоимости судна и находится по выражениям:

тыс.руб.;

тыс.руб.,

где – норма отчислений в ремонтный фонд.

7.8. Расчёт сопутствующих капитальных вложений

Важным экономическим показателем при сравнительной оценке транспортных средств является скорость доставки грузов, от которой зависит среднегодовой размер оборотных средств, заключённый в грузах во время их нахождения в транспортной сети, а, следовательно, и общий размер капитальных вложений.

Размер оборотных средств в грузах пропорционален продолжительности нахождения грузов на транспорте:

,

где – среднегодовой размер оборотных средств в грузах, тыс.руб.;

тыс.руб. – средняя цена тонны груза;

– время доставки груза, сут.

– годовой объём перевозок грузов:

т,

где В – грузооборот судна, ткм;

км – средняя протяжённость линии.

Время доставки грузов включает в себя собственно ходовое время с грузом, время выполнения всех прочих транспортных операций, связанных с выгрузкой и погрузкой, а также время хранения грузов на складе до момента отправления или выдачи их получателю. Для его расчёта может быть использована эмпирическая зависимость, согласно которой время доставки грузов судном-прототипом определяется следующим образом:

сут.,

где сут. – ходовое время с грузом;

сут. – прочие составляющие эксплуатационного периода;

0,75 – коэффициент, учитывающий наличие в затрат времени, не связанных с доставкой грузов;

– среднегодовое количество рейсов:

,

где км/ч – скорость судна с грузом.

Среднегодовой размер оборотных средств в грузах:

тыс.руб.

В нашем случае среднегодовой размер оборотных средств для судна-прототипа и нового судна будет одинаков.

7.9. Расчёт основных показателей экономической эффективности

Для оценки экономической эффективности в нашем случае достаточно рассчитать экономию капитальных вложений, удельные капитальные вложения на единицу продукции, производительность труда экипажа и себестоимость перевозок.

Планируемая экономия капитальных вложений:

тыс.руб.

Удельные капитальные вложения на единицу продукции:

руб./(ткм);

руб./(ткм).


Производительность труда экипажа:

млн.ткм/(челгод),

где ткм – годовой объём продукции;

– численность экипажа.

Эффективность транспортных судов может также оцениваться сопоставлением величины себестоимости перевозок, рассчитываемой по формуле:

,

где И – годовые эксплуатационные издержки, тыс.руб.

руб./(ткм);

руб./(ткм).

Рассчитанные значения основных показателей экономической эффективности заносятся в таблицу (табл. 7.6).

Таблица 7.6

Сопоставление технико-экономических показателей судов

Наименование показателя

Величина показателя

Соотно-шение

судно-прототип

новое судно

Исходные данные


1. Тип и мощность главных двигателей, кВт


26ЧНСП18/22

2220

6ЧНСП18/22

440


100%

2. Число оборотов коленчатого вала, об/мин 750 1000

3. Род и удельный расход топлива ГД, кг/(кВтч)


дизельное

0,231

дизельное

0,209


90,48%

4. Технический ресурс до капитального ремонта, ч 30000 45000 150%

5. Техническая скорость судна:

порожнем, км/ч

в грузу, км/ч

Расчётные показатели


19

17,5


19

17,5


100%

100%

1. Строительная стоимость судна, тыс.руб. 56208 55489 98,72%

2. Годовой объём продукции, млн.ткм

20,0 20,0 100%

3. Эксплуатационные затраты на сопоставимый аааобъём продукции, тыс.руб.

13991 13813 98,73%

4. Среднегодовой размер оборотных средств, ааатыс.руб.

2703 2703 100%
5. Экономия капитальных вложений, тыс.руб. ––– 719

6. Удельные капитальные вложения на единицу ааапродукции, руб./(ткм)

2,945 2,909 98,78%

7. Производительность труда экипажа, ааамлн.ткм/(челгод)

2,00 2,00 100%

8. Себестоимость перевозок, руб./(ткм)

0,6994 0,6905 98,73%

Сопоставление технико-экономических показателей судов

Наименование показателя

Величина показателя

Соотно-шение

судно-прототип

новое судно

Исходные данные


1. Тип и мощность главных двигателей, кВт

26ЧНСП18/22

2220

6ЧНСП18/22

440


100%

2. Число оборотов коленчатого вала, об/мин 750 1000

3. Род и удельный расход топлива ГД, кг/(кВтч)

дизельное

0,231

дизельное

0,209


90,48%

4. Технический ресурс до капитального ремонта, ч 30000 45000 150%

5. Техническая скорость судна:

порожнем, км/ч

в грузу, км/ч

Расчётные показатели


19

17,5


19

17,5


100%

100%

1. Строительная стоимость судна, тыс.руб. 56208 55489 98,72%

2. Годовой объём продукции, млн.ткм

20,0 20,0 100%
3. Эксплуатационные затраты на сопоставимый объём продукции, тыс.руб. 13991 13813 98,73%
4. Среднегодовой размер оборотных средств, тыс.руб. 2703 2703 100%
5. Экономия капитальных вложений, тыс.руб. ––– 719

6. Удельные капитальные вложения на единицу продукции, руб./(ткм)

2,945 2,909 98,78%

7. Производительность труда экипажа, млн.ткм/(челгод)

2,00 2,00 100%

8. Себестоимость перевозок, руб./(ткм)

0,6994 0,6905 98,73%

3. Техническая эксплуатация и обслуживание дизеля

3.1. Испытания модернизируемого дизеля

По результатам испытаний анализируют работу энергетической установки. Её экономичность, тяговые и скоростные качества судна зависят от протекания рабочего цикла в цилиндрах дизеля, от размера непроизводительных потерь теплоты и от работы движительного комплекса.

Нормальная работа главного двигателя обеспечивается правильной регулировкой и сборкой, согласованностью винта с ним и исправностью движительного комплекса.

В зависимости от цели испытания выполняют при различных условиях эксплуатации судна и с различным объемом, характеризующимся количеством измеряемых параметров.

Приёмо-сдаточные испытания

Вновь построенные дизели после окончания сборки, регулирования и обкатки испытывают на стенде завода-изготовителя по специальным программам. На судне двигатели испытывают под нагрузкой при работе по прямому назначению. Приёмо-сдаточные испытания проводят после монтажа механизмов и оборудования при постройке или ремонте судна с целью проверки соответствия фактических показателей работы дизеля установленным требованиям.

Различают следующие виды приемо-сдаточных испытаний:

  • швартовые, проводимые с целью проверки правильности сборки и качества монтажа главных двигателя, валовой линии и обслуживающих их механизмов, систем и устройств;

  • ходовые, проводимые с целью проверки основных показателей работы энергетической установки и соответствия их требованиям утвержденной технической документации.

Если ходовые условия работы гребного винта и ходовая винтовая характеристика главного двигателя могут быть воспроизведены при неподвижном судне с помощью методов и средств имитации, то вместо швартовых и ходовых испытаний допускается производить имитационные испытания на идентичных режимах нагрузки.

Эксплуатационные испытания

Различают следующие виды эксплуатационных испытаний:

  • паспортные, проводимые с целью установления регистрационной мощности, эксплуатационно-технических нормативов и показателей или согласования характеристик движителей с характеристиками главных двигателей;

  • специальные, проводимые с целью выявления эффективности внедряемых модернизационных и организационно-технических мероприятий, изыскания рациональных методов эксплуатации, отработки и доводки новых конструкций механизмов и оборудования;

  • контрольные, проводимые с целью проверки выполнения судном и главными двигателями установленных нормативных эксплуатационно-технических показателей.

По номенклатуре измеряемых параметров различают испытания судов:

  • динамометрические (скоростные), проводимые с целью выявления тяговых и скоростных показателей судов;

  • тепловые, проводимые с целью выявления энергетических показателей работы энергетической установки;

  • теплодинамометрические, содержащие работы обоих предыдущих видов испытания.

По объёму и полноте определяемых показателей испытания можно разделить на:

  • сокращённые, проводимые на одном скоростном режиме при ограниченной номенклатуре контролируемых тепловых параметров;

  • прогрессивные, проводимые на последовательно изменяющихся режимах работы энергетической установки при движении судна с одной и той же заданной нагрузкой или составом;

  • полные, состоящие из серии прогрессивных испытаний, проводимых при различных осадках судна или с различными составами.

Контрольные испытания

Теплотехнический контроль главных двигателей серийных теплоходов и дизель-электроходов в судовых условиях проводит судовой экипаж под руководством и при непосредственном участии механика.

При теплотехническом контроле:

  • проверяют качество работы топливной аппаратуры двигателя (форсунок и топливных насосов);

  • проверяют давление сжатия и максимальное давление сгорания по цилиндрам двигателя;

  • регулируют двигатели по максимальному давлению сгорания и температуре выпускных газов цилиндров;

  • проверяют зазоры в клапанных механизмах двигателей;

  • проводят контрольные измерения температур, давлений, частоты вращения и расхода топлива;

  • анализируют показатели, полученные при изменениях, выявляют недостатки и разрабатывают мероприятия по улучшению работы двигателей.

3.2. Подготовка дизеля к пуску после межнавигационного отстоя фффили ремонта

3.2.1. Общие сведения

Подготовка дизеля к пуску включает: проверку комплектности сборки и соответствия крепления регулировки узлов и деталей требованиям нормативно-технической документации; проверку исправности систем управления, автоматизации, сигнализации и защиты; экипировку (заправку) дизеля охлаждающей жидкостью, маслом и топливом; установку в рабочее положение пробок и вентилей арматуры систем, обслуживающих дизель и опробование дизеля в действии.

От полноты и тщательности выполнения всех подготовительных работ в значительной степени зависит надежность и безопасность, как пуска, так и последующей работы дизеля. Фактически выполняемый объём подготовительных работ зависит от того, в каком состоянии находился дизель в период хранения (стоянки).

В начале навигации, т.е. после зимнего ремонта с частичной или полной разборкой дизеля, в судовых условиях выполняют полный объём подготовительных работ.

После агрегатной замены дизеля на новый, прошедший регулировку, обкатку и испытания на стенде, объём подготовительных работ сокращается за счёт исключения проверок крепления и регулировок узлов, выполненных дизелестроительным заводом. Однако при этом увеличивается продолжительность расконсервации в связи с необходимостью полного удаления до пуска дизеля всех защитных покрытий и специальных смазочных материалов.

Если выполнялись работы по техническому обслуживанию и ремонту в период навигации, то тщательно проверяют только те системы и узлы, которые разбирались или проверка которых предусмотрена инструкцией по эксплуатации. После кратковременной стоянки исправного двигателя в период навигации выполняют наружный осмотр, работы по подготовке систем, обслуживающих дизель.

Проверка лёгкости движения деталей и исправности систем управления, пробный пуск двигателя являются обязательными операциями во всех случаях.

3.2.2. Расконсервация

Перед первым пуском дизеля после монтажа, ремонта или длительной стоянки выполняют его расконсервацию: снимают заглушки с фланцев, устанавливают на место трубопроводы и контрольно-измерительную аппаратуру, удаляют консервационный смазочный материал, промывают трубопроводы, картеры и маслосборники.

Для удаления консервационного смазочного материала с внутренних поверхностей дизель прогревают водой, нагретой до 90–95С; при этом её прокачивают через зарубашечное пространство с помощью резервного насоса. Если на судне нет специальных устройств для прогревания дизеля, горячую воду заливают в последний через горловину расширительного бака или через верхний фланец трубопровода охлаждения и периодически сливают остывшую воду.

Равномерность прогревания обеспечивают сливом наиболее холодной воды из нижней части системы охлаждения через краник циркуляционного насоса. Для уменьшения потерь теплоты дизель нужно накрыть брезентом. Нагретый консервационный смазочный материал стекает в картер, затем его отводят в специальную ёмкость. Для полного удаления консервационного смазочного материала дизель должен быть прогрет до температуры не ниже 65С. Время, необходимое для полного прогревания и стекания смазочного материала(6–10 часов) зависит от массы дизеля и температуры греющей воды.

Из цилиндров консервационный материал удаляют после окончательного прогревания дизеля. Для этого снимают форсунки, осматривают полости цилиндра через форсуночное отверстие и в случае необходимости, шприцом отсасывают излишки масла и продувают цилиндр воздухом при нахождения поршня в в. м. т. Для полного удаления консервационного смазочного материала из цилиндров проворачивают коленчатый вал сначала вручную на 2–3 оборота, а затем электростартёром или воздухом (без подачи топлива).

При расконсервации наружных поверхностей консервационный материал удаляют ветошью, смоченной дизельным топливом, после чего протирают насухо чистой ветошью. Подогревать дизель, при расконсервации обдувая его паром, не разрешается, так как при этом возможно появление конденсата, который вызывает коррозию деталей. Для расконсервации топливных насосов и форсунок их прокачивают дизельным топливом.

Особо тщательно следует удалять смазочный материал из рабочих цилиндров и узлов пускового устройства, т.к. оставшееся в них масло может быть причиной серьёзной аварии (гидравлических ударов в цилиндрах, отказов при пуске, разрыва воздушных трубопроводов).

3.2.3. Проверка монтажа

После расконсервации дизель осматривают, удаляют находящиеся поблизости и не требующийся для пуска инструмент, приспособления и детали, проверяют исправность механизмов, систем и устройств, а также сборку дизеля.

Правильность сборки дизеля определяют наружным осмотром, при котором убеждаются в комплектности и тщательности монтажа всех узлов и трубопроводов, в том, что в картере двигателя и в близи движущихся деталей нет посторонних предметов. Через отверстие для форсунок осматривают внутренние полости цилиндра, т.е. проверяют их чистоту и отсутствие посторонних предметов во впускных и выпускных коллекторах. Одновременно проверят затяжку и шплинтовку гаек шатунных болтов, анкерных связей, фундаментных болтов, шпилек рамовых подшипников, центрирование валопровода и состояние амортизаторов. Затем с помощью ломика удостоверяются в легкости хода и плотности посадки впускных и выпускных клапанов, устанавливают нормальные зазоры в механизме газораспределения, проверяют правильность моментов открытия и закрытия клапанов, осматривают контрольно-измерительную аппаратуру, обращая внимание на наличие и дату клейм и пломб.

Окончив внешний осмотр, и проверку правильности сборки, последовательно подготавливают к действию системы и устройства дизеля, начиная с системы охлаждения.

3.2.4. Подготовка системы охлаждения

Заполняют систему охлаждения водой и проверяют, нормально ли она поступает по трубопроводам внешнего и внутреннего контуров. При заполнении водой внутреннего контура необходимо спустить воздух из системы через спускные краны. После этого следует убедиться в плотности всех соединений и отсутствии водотечных свищей и трещин, для чего систему охлаждения опрессовывают водой с давлением, указанным в инструкции по эксплуатации.

С особым вниманием следует проверять плотность резиновых уплотнений в нижних поясах втулок цилиндров, течь воды через которые приводит к попаданию её в масляную систему, нарушению режима смазывания и повреждению подшипников. Также тщательно необходимо проверять, не проникает ли вода в цилиндры дизеля через трещины в крышках и втулках цилиндров. Для этого следят, не покажется ли вода из открытых индикаторных кранов при проворачивании коленчатого вала дизеля валопроводным устройством. Вода в цилиндре дизеля может привести к гидравлическому удару при пуске и повреждению деталей (крышки цилиндра, поршня, шатуна, коленчатого вала и блока цилиндров).

Расширительный бак системы внутреннего охлаждения должен быть очищен от ила и осадков, фильтры забортной воды промыты и установлены на место.

После проверки исправности системы охлаждения дизеля устанавливают все клинкеты, краны, вентили в рабочее положение и готовят к пуску насосы, работающие независимо от дизеля.

Систему внутреннего контура охлаждения заполняют умягчённой водой. В охлаждающую воду, если это предусмотрено заводской инструкцией, вводят специальные добавки (эмульсол и хромпик и др.), предотвращающие коррозию охлаждающей воды.

У дизелей, температура охлаждающей жидкости которых может достигать 100С (аварийные дизель генераторы с радиаторной системой охлаждения), проверяют исправность действия паровоздушного клапана.

3.2.5. Подготовка топливной системы

Процесс начинают с проверки качества очистки расходных цистерн, качества очистки и правильности сборки топливных фильтров грубой и тонкой очистки, исправности сепараторов и системы подогревания топлива, легкости хода поплавковых приёмников топлива. С помощью дежурного топливного насоса в расходные цистерны закачивают топливо и проверяют плотность всей арматуры и топливных трубопроводов.

Плотность топливного трубопровода проверяют под напором, т.е. давлением столба топлива находящегося в топливной цистерне, или создают его независимым топливоподкачивающим насосом. Предварительно из топливной системы удаляют воздух и убеждаются в поступлении топлива ко всем топливным насосам.

Прокачивают топливные насосы чистым топливом при отсоединённых форсуночных трубках, затем их опрессовывают, проверяют угол опережения подачи топлива и нулевую подачу.

Снимают форсунки с дизеля, присоединяют к топливным насосам и также прокачивают с целью промывки, одновременно проверяя качество распыливания. Если давление открытия форсунок до установки их на дизель не проверяли, то это следует делать на ручном прессе, после чего поставить форсунки на место.

3.2.6. Подготовка смазочной системы

После систем охлаждения и топливной приступают к проверке масляной системы дизеля. Такая очередность позволяет исключить возможность попадания воды и топлива в маслосборник дизеля во время подготовки его к пуску.

В подготовку масляной системы входит проверка качества очистки расходных масляных цистерн, маслосборников, маслохолодильников и картера дизеля, качество очистки и правильности сборки масляных фильтров грубой и тонкой очистки, плотности системы подогревания масла и легкости хода поплавковых приёмников масла.

После проверки заполняют расходные масляные цистерны и маслосборники маслом, отсоединяют все трубы, подводящие его к рамовым подшипникам и другим местам смазывания, отводят трубки в сторону и прокачивают масло ручным или резервно-масляным насосом для промывки, затем ставят их на место.

Окончив промывку трубок, прокачивают масляную систему, проверяют плотность соединений, спускают воздух из системы, контролируют поступление масла к каждой смазываемой детали во всех точках. Во время прокачивания коленчатый вал дизеля проворачивают валоповоротным устройством на два-три оборота. Убедившись в исправности циркуляционно-смазочной системы, заполняют маслом регуляторы, турбокомпрессоры, колпачковые маслёнки. Колпачковые маслёнки необходимо поджать и смазать вручную те детали, которые в этом нуждаются. Реверс-редуктор заливают маслом и проверяют подачу масла к узлам трения.

3.2.7. Подготовка устройств

Процесс начинают с заливки масла в цилиндры и баллоны сервомоторов и смазывания трущихся деталей. После этого проверяют лёгкость хода и правильность действия всех приводов из местного поста управления, пломбировку упоров ограничения максимальной подачи топлива, регулятора, контрольно-измерительных приборов, аппаратуры, аварийно-предупредительной сигнализации и защиты и других узлов, отрегулированных на заводе, а также затяжку крепления контактов электрооборудования, трубопроводов дистанционного автоматического управления, соединений механических передач.

Если в двигателе предусмотрен реверс-редуктор, то проверяют лёгкость хода и исправность действия приводов. После этого проверяют работу дистанционного управления, устраняют слабину канатов и люфты в соединениях приводов, проверяют сопротивление кабельных трасс, состояние контактов электродвигателей, реле и микровыключателей электрических ДАУ, наличие масла в сервомоторах гидравлических ДАУ, опрессовывают на рабочее давление трубопроводы, проверяют чистоту воздушных и масляных фильтров, исправность клапанов, сервомоторов и пневмореле ДАУ.

Убедившись в исправности дистанционного и местного постов управления, проверяют согласованность положений “Стоп”, “Пуск”, “Работа” на передний и на задний ход указателей местного и дистанционных постов управления. Одновременно опробуют привод аварийной остановки дизеля.

При воздушном пуске заполняют воздухом баллоны, продувают из них воду, опрессовывают на рабочее давление, пусковой трубопровод и пусковые клапаны, проверяют действие редукционных и предохранительных клапанов. Перед опрессовкой необходимо отсоединить воздушный трубопровод от воздухораспределителя и заглушить его.

На этом заканчивают проверку исправности и качества сборки дизеля. Заключительные операции по подготовке дизеля совпадают с операциями после кратковременной его стоянки.

3.2.8. Подготовка к пуску дизеля после кратковременной стоянки

После стоянки исправного дизеля более 12 часов подготовку к пуску проводят в следующем порядке:

  • измеряют уровень масла в маслосборниках дизеля, регулятора, турбокомпрессора, реверс-редуктора, опорных и упорных подшипниках валопровода, поджимают колпачковые масленки, смазывают детали, для которых предусмотрено ручное смазывание;

  • контролируют уровень топлива в расходных баках, спускают отстой, открывают кран расходного бака и заполняют топливом систему, открывают пробные и спускные краны на фильтрах и спускают воздух из системы, прокачивают топливные насосы и форсунки. Чтобы избежать попадания большого количества топлива в цилиндры и последующих взрывов его паров при пуске, перед прокачиванием топливных насосов необходимо ослабить пробные вентили на форсунках или присоединительные гайки нагнетательных трубопроводов;

  • проверяют давление воздуха в пусковых баллонах, продувают их;

  • контролируют уровень воды в расширительном баке, устанавливают в рабочее положение вентили и краны системы охлаждения;

  • убеждаются в том, что нет посторонних предметов и инструментов на крышках цилиндров и вблизи движущихся деталей дизеля и валопровода;

  • прокачивают дизель маслом с помощью ручного или резервно-маслянного насоса (если у него не предусмотрено автоматическое прокачивание маслом перед пуском), ставят в рабочее положение вентили и краны смазочной системы;

  • проворачивают дизель с помощью валоповоротного устройства на 2–3 оборота, убеждаются в отсутствии заеданий и свободном перемещении подвижных деталей, особенно реек топливных насосов и дистанционного управления;

  • проводят пробный пуск (с поста управления в машинном отделении) и реверс дизеля при открытых индикаторных кранах и выключенных топливных насосов, проверяют исправность действия пусковых и реверсивных устройств;

  • проверяют исправность действия машинного телеграфа и других средств связи между машинным отделением и рубкой, закрывают индикаторные краны, включают в действие дистанционное управление и докладывают вахтенному начальнику о готовности двигателя к работе.

При стоянке дизеля менее 1–1,5 часов пуск осуществляется с дистанционного поста управления без специальной подготовки. Если она превышает указанное время, то перед пуском дизеля, не оборудованного системой пускового автоматического прокачивания масла, необходимо прокачать масло ручным или резервно-масляным насосом.


3.10. Диагностирование дизелей методом эндоскопии

3.10.1. Общие сведения

Идея создания эндоскопов для осмотра внутренних полостей возникла не случайно. Эндоскопия развивалось и развивается как перспективное направление в науке технике, как закономерное требование технического прогресса, как результат тех качественных изменений, которые наблюдаются в процессе развития науки и техники.

Создание дорогостоящих, во многих случаях уникальных сооружений, объектов, механизмов – атомных реакторов, сверхмощных турбогенераторов, газотурбинных установок, дизелей и тому подобное – может быть оправданно только в случае, если все жизненно важные узлы и их детали будут бесперебойно работать в течение всего эксплуатационного периода времени. Ибо экономическая эффективность любого нового усовершенствования, любой новой машины, агрегата или конструкции определяется не только и не столько превосходством достигнутых при этом отдельных технических параметров, сколько долговечностью и надёжностью всего устройства.

Поддержание устройств в технически исправном состоянии, необходимом для нормальной эксплуатации, достигается путем технического обслуживания и ремонта. Техническое обслуживание и ремонт производят с предварительным контролем или без него.

Основным методом проведения контрольных работ является диагностика, которая служит для определения технического состояния агрегатов без разборки.

Цель диагностики при техническом обслуживании заключается в определении действительной потребности в производстве работ, выполняемых при каждом обслуживании, и прогнозировании момента возникновения отказа или неисправности.

Цель диагностики при ремонте заключается в выявлении причин отказа или неисправности и установлении наиболее эффективного способа их устранения.

По результатам диагностирования и при известной закономерности изменения параметров в зависимости от времени эксплуатации агрегата, узла, можно прогнозировать изменение его технического состояния, тем самым, определяя количество времени эксплуатации до ремонта или замены.

Использование средств технической диагностики дизелей направлено на увеличение ресурсных характеристик дизелей и продление межремонтного периода их эксплуатации.

Технико-экономическая эффективность СТД дизелей обуславливается:

  • снижением затрат на техническое обслуживание, благодаря уменьшению числа разборок и вскрытий дизелей при переходе от планово-технических норм обслуживания и ремонта к обслуживанию и ремонту по их фактическому состоянию;

  • снижением затрат на ремонт за счет выявления потенциальных отказов на ранней стадии их возникновения;

  • сокращением расхода топлива путем своевременного обнаружения разрегулировки топливной аппаратуры.

Анализ эксплуатационных качеств элементов судовых энергетических установок судов показывает, что наибольшие эксплуатационные потери связаны с отказами дизель-редукторных агрегатов и дизелей. При этом 70–90% всех отказов приходится на главные дизели и 3–18% – на вспомогательные дизели. Отказы главных редукторов и разобщительных муфт составляют до 5% полного числа отказов элементов СЭУ.

Наиболее частые отказы дизелей связаны с системой топливоподачи (форсунки и ТНВД), клапанами газораспределения, рамовыми и мотылевыми подшипниками, нарушением уплотнений цилиндровой втулки с блоком и крышкой цилиндра, кавитационно-коррозионными разрушениями и трещинами опорных буртов втулок.

Усложнение устройства современных машин и механизмов и возложение на них более ответственных функций делает задачу исследования их внутренних полостей, не доступных для обычного осмотра из-за наличия перегородок, кожухов и других конструктивно непрозрачных элементов, все более актуальной.

Одним из методов технической диагностики таких элементов является эндоскопическая диагностика, использующая оптоволоконные приборы, с помощью которых быстро и высококачественно производят визуальные исследования.

Усовершенствование подлежащих исследованию объектов неизбежно привело к совершенствованию средств для их контроля и в настоящее время разработано множество эндоскопов различных конструкций, позволяющих решить практически любую диагностическую задачу не прибегая к дорогостоящим операциям разборки и демонтажа.

3.10.2. Классификация эндоскопов

С конструкторской точки зрения, эндоскоп представляет собой двухканальную оптическую систему.

Первый канал – осветительный (как правило, световолоконный) – передает свет от вспомогательного блока – осветителя – на исследуемый объект. Отраженный исследуемым объектом свет поступает во второй канал – информационный, который строит изображение исследуемого объекта на сетчатке глаза оператора или на электронном приемнике изображения другого вспомогательного блока – телевизионной системы.

В зависимости от используемых в информационном канале оптических сред и конструкции рабочей (погружаемой внутрь объекта) части, эндоскопы можно разделить на следующие основные группы:

  1. жесткие эндоскопы на основе линзовой оптики (рис. 3.4);

  2. жесткие эндоскопы на основе градиентной оптики (рис. 3.4);

  3. гибкие эндоскопы на основе волоконных жгутов (рис 3.5).

Гибкие в свою очередь бывают с управляемым и неуправляемым изгибом дистального конца.

Для каждой из этих групп можно выделить основные особенности оптических и конструкционных характеристик, руководствуясь которыми можно определить целесообразность применения той или иной системы.

3.10.3. Жёсткие эндоскопы

Информационный канал жестких эндоскопов на основе линзовой оптики состоит из линзового объектива, линзовых оборачивающих систем и окуляра. Диаметр рабочей части не менее 4 мм, длина рабочей части до 100 ее диаметров, поле зрения от 10 до 100.

По сравнению с другими типами эндоскопов, линзовые системы позволяют получить наивысшее разрешение, светосилу и позволяют наиболее широко комбинировать оптические параметры (увеличение, поле зрения, направление наблюдения, и т. д.) для решения конкретных задач диагностики.

Информационный канал жестких эндоскопов на основе градиентной оптики состоит из градиентного объектива, градиентных оборачивающих систем и линзового окуляра. Диаметр рабочей части от 1 мм до 5 мм, длина рабочей части до 100 ее диаметров, поле зрения от 40° до 60°. Эндоскопы этой группы имеют более низкие, чем у линзовых эндоскопов, разрешающую способность, контраст изображения. Возможности комбинирования оптических параметров ограничены.

Жесткие эндоскопы характеризуются четырьмя основными параметрами:

  • диаметром рабочей части (наиболее распространённые диаметры рабочей части 1,5; 2; 2,5; 4; 6; 8 и 10 мм);

  • длиной рабочей части (длина жестких эндоскопов обычно находится в пределах от 100 до 1000 мм и изменяется с шагом 200–300 мм);

  • углом направления наблюдения (основные углы направления наблюдения 0; 30; 45; 75; 90 и 110. Угол направления наблюдения может быть и плавно изменяемым в эндоскопах с качающейся призмой – от 30 до 110);

  • углом поля зрения (угол поля зрения, как правило, варьируется от 50 до 90. При этом необходимо учитывать, что увеличение поля зрения приводит к уменьшению детализации, то есть можно видеть много и мелко или мало и крупно).

Основное преимущество жестких эндоскопов – высокая разрешающая способность.

3.10.4. Гибкие эндоскопы

Информационный канал гибких эндоскопов на основе волоконно-оптических жгутов состоит из линзового (реже градиентного) объектива, регулярного волоконно-оптического жгута, представляющего собой пучок моноволоконных световодов диаметром 5–15 мкм с полированными торцами, и линзового окуляра.

При этом изображение строится объективом на входном торце жгута и рассматривается через окуляр на выходном торце жгута. Эндоскопы этой группы наиболее разнообразны по конструкции и по своим возможностям, однако, разрешающая способность ограничена диаметром моноволокна в жгуте. Диаметр рабочей части от 4 мм до 10 мм, длина рабочей части до 2 м и более.

Принцип передачи света по волокну – световоду диаметром в несколько десятков микрон заключается в его полном внутреннем отражении: луч света, попавший на конец длинного волокна, последовательно отражается от его внутренних стенок и полностью выходит на противоположном конце (рис. 3.7). Светоотдача осуществляется при любом изгибе.

Для того чтобы исключить потери света и улучшить его отражение от стенок, каждое волокно покрывают слоем стекла с низким показателем преломления. Отдельное волокно передает изображение одной точки объекта. Волокна складывают в жгуты, из них формируют волоконно-оптическую систему эндоскопа, которую покрывают защитной оболочкой и размещают внутри гибкого тубуса. Расположение торцов волокон на входе кабеля точно должно соответствовать их расположению на входе, то есть должна быть регулярная укладка (рис. 3.8).

Изображение, полученное на конце кабеля, рассматривается через окуляр, имеющий диоптрийную подвижку для подстройки под глаза.

Канал для передачи света представляет собой, как правило, светорассеивающую линзу, вклеенную в головку прибора, световолоконный жгут с нерегулярно уложенными волокнами толщиной 25 мкм. Конец световолоконного жгута вмонтирован в специальный наконечник, подключающийся к осветителю.

Эндоскопы этой группы должны быть гибкими, подвижными, с управляемым дистальным концом, хорошо передавать свет (яркое освещение объекта) и давать цветное изображение, иметь инструментальный канал, для гибкого инструмента при необходимости осуществления манипуляций, например:

  • захвата предметов;

  • взятия пробы.

Управляемый дистальный конец, может изгибаться в одной или двух плоскостях. Как правило, это определяется диаметром рабочей части. Обычно в эндоскопах малого диаметра (6 мм и менее) изгиб осуществляется в одной плоскости, а в более крупных эндоскопах – в двух.

В эндоскопах угол изгиба бывает от 90 до 180. К тому же эндоскопы могут комплектоваться насадками или объективами бокового наблюдения. Это важно, если есть необходимость осматривать, например, стенки труб малого диаметра, где изгиб дистального конца невозможен.

Основным недостатком гибких эндоскопов по сравнению с жесткими эндоскопами является более низкая разрешающая способность.

При выборе гибкого эндоскопа руководствуются двумя основными параметрами:

  • диаметром;

  • длиной рабочей части.

Наиболее распространенные диаметры 0,5; 2; 4; 6; 8 и 10 мм. Длины рабочей части изменяются от 500 до 3000 мм с шагом, как правило, 500 мм. Угол поля зрения составляет 50 – 60. При необходимости он может быть увеличен до 90 – 100.

Гибкие эндоскопы имеют герметичную маслобензостойкую рабочую часть с покрытием из нержавеющей стали.

3.10.5. Осветители

Наиболее часто применяются осветители с галогенной лампой мощностью 100 -150 Вт в качестве источника света.

Основное преимущество – дешевизна.

Недостатки – высокое энергопотребление при относительно невысоком световом потоке, малый срок службы лампы, порядка 50 часов, и смещенный в желтую область спектр.

Металлогалоидные осветители имеют 24 Вт лампу. Они значительно дороже галогенных, однако обладают рядом достоинств:

  • низкое энергопотребление при световом потоке, сравнимом с 200 Вт галогенной лампой;

  • длительный срок службы лампы – 600–800 часов;

  • спектр, приближенный к естественному белому свету;

В отдельных случаях:

  • большие расстояния до исследуемого объекта;

  • освещение большого поля зрения;

  • низкая отражающая способность исследуемой поверхности,

целесообразно применять более мощные осветители.

Ксеноновые осветители – наиболее мощные осветительные системы, но и самые дорогие.

Для повышения контраста изображения и для ряда специальных задач в осветителях могут применяться лампы со специальными спектральными характеристиками или светофильтры для выделения необходимого спектрального диапазона.

3.10.6. Видеоскопы

Значительно снижается трудоемкость исследований при использовании телевизионных систем.

Прекрасная оптика, малые искажения и высокая четкость изображения – основные качества видеоскопов. Для максимального удобства осмотра имеются различные функции: полная герметичность, маслостойкость и переменная гибкость рабочей части эндоскопа, увеличивают эффективность диагностики в целом.

Изображение через объектив передается на ПЗС матрицу, которая преобразует оптический сигнал в сигнал электрический. Этот сигнал поступает в блок преобразования, и далее, на ТВ монитор.

Отличительной чертой этой группы приборов является высокое качество изображения, которое достигается благодаря использованию ПЗС-матрицы и разнообразных оптических адаптеров, а наличие встроенного микрофона позволяет записывать текстовые комментарии.

Особенности видеоскопов:

  • наличие адаптеров одновременно с прямым и боковым обзором;

  • универсальность применения благодаря широкому выбору оптических адаптеров;

  • возможность записи;

  • круговой обзор благодаря изгибу в четырех направлениях;

  • дистанционное управление;

  • высокая надежность и долговечность;

  • легкая вводимость и хорошая устойчивость.

Однако прогресс не стоит на месте, и сейчас, разработаны и разрабатываются цифровые измерительные системы визуальной диагностики, работающие совместно с видеоскопами, которые меняют ранее принятые подходы эндоскопического контроля.

3.10.7. Цифровые измерительные системы

Помимо эндоскопического осмотра и записи изображений, цифровая измерительная система позволяет, путем несложных процедур, проводить точные измерения дефектов в широком диапазоне ракурсов их наблюдения через эндоскоп.

Система позволяет находить и квалифицировать все виды дефектов внутренних полостей конструкции.

Намного увеличена эффективность и удобство работы контролера – эндоскописта.

Измерительный блок позволяет сохранять результаты осмотра на внутреннем или внешнем диске и далее переносить их на персональный компьютер – в базу данных или для пересылки по электронной почте.

Легкость проведения измерений и надежная сохранность результатов дают возможность контролеру уделить больше внимания анализу дефекта и принять безошибочное решение.

Цифровая измерительная система использует принцип бинокулярного зрения высших животных и человека. Расстояние до объекта и его размеры определяются по смещению изображений, проецируемых правым и левым объективами на матрицу ПЗС видеоскопа – аналог сетчатки глаза.

Анализируя взаимное расположение проекций, процессор решает тригонометрическую задачу и определяет координаты объекта относительно эндоскопа, а затем и размеры дефекта – его протяженность, глубину или высоту со средней погрешностью около 3%. Минимально определяемые размеры дефектов – от 0,15 мм, по любой оси.

Цифровая измерительная система не имеет ограничений по расположению эндоскопа относительно осматриваемого объекта. В отличие от обычных методов эндоскопических измерений, в которых необходимо стремиться к перпендикулярному наблюдению плоскости дефекта, данная система работает практически в любом ракурсе, под любым углом к объекту.

Другой особенностью известных методов измерений является необходимость наложения различных шкал, сеток или штрихов вдоль изображения дефекта. Эта процедура, требующая длительного времени, исключена при работе с цифровой измерительной системой.

Система имеет программное обеспечение, созданное специально для обработки и анализа эндоскопических изображений.

Установив его на персональный компьютер, можно хранить, архивировать, обрабатывать полученные снимки, производить повторные замеры, а также передавать результаты измерений или отдельные снимки по электронной почте, что позволяет быстро обмениваться результатами диагностики на больших расстояниях и ускоряет принятие решений в спорных случаях.

3.10.8. Использование эндоскопов

Эндоскопическая диагностика – один из наиболее универсальных и эффективных средств неразрушающего контроля. Метод широко применяется для контроля состояния различных типов машин и механизмов, в том числе и для контроля судовых ДВС. Например, при осмотре цилиндра через форсуночное отверстие хорошо просматриваются стенки, днище поршня, клапаны (рис. 3.10).

На рис. 3.11 показаны фрагменты изображений, полученных с помощью эндоскопа.

Возможность обнаружения дефекта зависит от качества и количества передаваемой эндоскопом информации, что, в свою очередь, прежде всего, зависит от типа применяемого эндоскопа.

Учет приведенных выше характеристик различных групп эндоскопов, а так же общих принципов подхода к выбору диагностической системы, таких как:

  • применение эндоскопов максимально возможного диаметра;

  • применение эндоскопов минимально возможной длины;

  • применение по возможности, жестких эндоскопов,

приводит к повышению производительности труда оператора, повышению вероятности обнаружения дефекта и снижению вероятности поломки эндоскопа.

Оптимальное сочетание оптических характеристик эндоскопа с характеристиками исследуемого объекта и условиями диагностики так же скажется в повышении производительности и качества труда оператора.

При этом необходимо учитывать в комплексе:

  1. технические характеристики эндоскопа:

  • поле зрения;

  • увеличение;

  • разрешающую способность;

  • светосилу;

  • цветопередачу;

  1. условия осмотра:

  • коэффициент рассеяния исследуемой поверхности;

  • расстояние до нее;

  • минимальные размеры и форму исследуемого дефекта, и другие параметры исследуемого объекта.






Рис. 3.4. Жёсткие эндоскопы




Рис. 3.5. Гибкие эндоскопы


3.3. Влияние условий эксплуатации на основные технико-оооооэкономические показатели дизеля

3.3.1. Влияние метеорологических условий

Влияние метеорологических условий на мощность и экономичность дизеля обычно отражается в инструкции по его эксплуатации. В ней же приводится методика определения предельной мощности, которою можно получить без перегрузки. Ориентировочно можно считать, что располагаемая мощность дизеля с наддувом уменьшается на 1 процент:

  • при повышении температуры воздуха на всасывании на каждые 10;

  • при понижении барометрического давления на каждые 1,33 кПа;

  • при увеличении относительной влажности воздуха на каждые 10%.

У дизелей без наддува, более чувствительных к изменению условий на всасывании, уменьшение располагаемой мощности может в 3–4 раза превышать указанные значения. Более точно значение располагаемой мощности определяют по указаниям заводов-изготовителей, приведенных в инструкциях по эксплуатации дизелей. Существуют и аналитические методы расчета располагаемой мощности для любых атмосферных условий.

В летний период при эксплуатации дизелей в южных бассейнах при повышенной температуре наружного воздуха их располагаемая мощность может быть значительно меньше номинальной, указанной в судовых документах. Так при барометрическом давлении 100 кПа и температуре воздуха в машинном отделении 45С располагаемая мощность дизеля 6ЧНСП18/22 составит 98%.

Во избежание перегрузки в этих условиях частота вращения главного дизеля должна быть снижена на 1–1,5% на каждые 3% снижения располагаемой мощности.

Под влиянием ветра и волнения существенно снижается скорость и изменяются условия работы главных двигателей судна, что необходимо учитывать при эксплуатации судов как на море, так и на крупных водохранилищах и озерах. При движении судна в условиях волнения сопротивление воды периодически изменяется, и в отдельных случаях может возрасти на 80–100% по сравнению с сопротивлением при движении по спокойной воде. В связи с этим периодически изменяются вращающий момент и мощность двигателя. Появляются колебания цикловой подачи топлива в цилиндры, частоты вращения вала двигателя и ротора турбокомпрессора. Моменты инерции масс узлов в том или другом из перечисленных видов колебаний различны. Следовательно, фазы колебания подачи топлива, частоты вращения вала двигателя и ротора турбокомпрессора будут сдвинуты одни относительно других, что может привести к нарушению нормального процесса сгорания топлива. В таких случаях при той же средней мощности, что во время движения по спокойной воде, повышается температура выпускных газов на 10–15%. В тяжелых условиях работает всережимный регулятор дизеля, непрерывно воздействующий на рейки топливных насосов. При отсутствии или неисправности его включается в действие предельный регулятор.

При качке судна на детали дизеля увеличиваются нагрузки в узлах трения (на 5–10% на подшипники и до 30–35% на поршневые кольца и на стенки цилиндра). Деформация корпуса судна вызывают деформации рамы дизеля и валопровода. Но они обычно невелики и не опасны для прочности деталей. Однако вследствие деформации рамы дизеля изменяются зазоры в подшипниках, что отрицательно сказывается на условиях смазывания, температурном режиме и изнашивании. Поэтому к надежности энергетических установок судов, допускаемых к выходу в море, и к тщательности проведения их технического обслуживания предъявляют повышенные требования.

3.3.2. Влияние условий плавания

Гребной винт считается согласованным с главным двигателем, если он потребляет номинальную мощность при номинальной частоте вращения. Проверку согласованности проводят путём совмещения на одном графике внешней (ограничительной характеристики номинальной мощности с винтовой характеристикой двигателя). Внешняя характеристика дизеля зависит от его конструктивных особенностей и при неизменных метеорологических условиях и нормальном техническом состоянии дизеля всегда занимает одно и то же положение на графике. В то же время гребной винт с неизменяемым шагом лопастей может иметь множество винтовых характеристик, поскольку потребляемая им мощность при одной и той же частоте вращения зависит от относительной скорости, упора, глубины погружения и других показателей изменяющихся при эксплуатации судна. Поэтому винт фиксированного шага оказывается согласованным с главным двигателем только в том случае, если условия его работы строго соответствуют расчетным. За расчетные условия для грузовых и пассажирских судов обычно принимают режим движения с полным грузом на глубокой воде. Во всех остальных случаях винт будет или гидродинамически “легким” (будет потреблять при номинальной частоте вращения мощность меньше номинальной), или гидродинамически “тяжёлым” (будет потреблять при номинальной частоте вращения мощность больше номинальной). Разумеется, что изменение геометрии и шероховатости поверхности по сравнению с проектными так же изменяют его гидродинамические качества.

На рис. 3.1 приведены винтовые характеристики “тяжёлого” (кривая 0–3), согласованного (0–4), и “лёгкого” (0–5) винтов, а также внешняя (кривая 1–5) характеристика дизеля. Из рисунка видно, что: при работе с номинальной частотой вращения “тяжёлый” винт перегружает (точка 3), а “легкий” недогружает (точка 7) дизель.

При работе с номинальной мощностью “тяжелый” винт перегружает дизель по среднему эффективному давлению при недостаточной частоте вращения (точка 2), а “легкий” недогружает его по среднему эффективному давлению при повышенной частоте вращения (точка 6).

При работе по внешней характеристики с “тяжёлым” винтом дизель не развивает мощности при пониженной частоте вращения (точка 1), а с “легким” винтом развивает повышенную мощность при высокой частоте вращения (точка 5). При работе с согласованным винтом на всех перечисленных режимах дизель развивает номинальную мощность при номинальной частоте вращения (точка 4).

Режимы работы судна с “лёгким” винтом при расчетной нагрузке или c согласованным винтом, но при малой нагрузке, безопасны для дизеля, но приводят к недоиспользованию мощности.

Режимы работы судна с “тяжелым” винтом при расчётной нагрузке или с согласованным винтом, но при повышенной нагрузке, могут привести к значительной перегрузке дизеля.

Во избежание перегрузки и повреждения дизеля частота вращения в этих случаях должна быть снижена на 10–15% номинальной с таким расчетом, чтобы фактически температура выпускных газов не превышала допустимой. Более точно допустимый режим работы дизеля устанавливают по паспортной характеристике дизеля с учётом имеющихся в них ограничений.


3.4. Выбор оптимальных режимов работы дизеля

3.4.1. Обоснование эксплуатационных режимов работы главного двигателя

Для обоснования области эксплуатационных режимов работы главного двигателя необходимо выполнить расчёт ограничительных характеристик главных двигателя (табл. 3.1).

Координаты характеристик могут быть определены с помощью следующих зависимостей.

Внешней номинальной мощности:

,

где – механический КПД двигателя на номинальном режиме;

– адаптивная поправка к КПД.

Ограничительной по тепловой напряжённости:

.

Ограничительной по механической напряжённости:

.

Винтовой облегчённой:

.

Винтовой нормальной:

.

Винтовой швартовной:

,

где – значение координаты внешней характеристики номинальной мощности при .

Таблица 3.1

Расчёт координат характеристик судового дизеля

Параметры, единицы измерения

Значения

Исходные данные
марка дизеля 6ЧНСП18/22

номинальная эффективная мощность , кВт

440

номинальная частота вращения , мин-1

1000

механический КПД на номинальном режиме

0,88
РАСЧЁТНЫЕ ДАННЫЕ





доля номинальной частоты вращения 1 0,9 0,8 0,6 0,4 0,3

долевая частота вращения , мин-1

1000 900 800 600 400 300

адаптивная поправка к КПД

0 0,02 0,01 -0,03 -0,08 -0,11

Продолжение табл. 3.1

Параметры, единицы измерения

Значения

ОГРАНИЧИТЕЛЬНЫЕ ХАРАКТЕРИСТИКИ





внешняя номинальной мощности , кВт

440 409 365 270 175 129

по тепловой напряжённости , кВт

440 381 323 205 88 29

по механической напряжённости , кВт

440 396 352 264 176 132
ВИНТОВЫЕ ХАРАКТЕРИСТИКИ





облегчённая , кВт

352 257 180 76 23 10

нормальная , кВт

440 321 225 95 28 12

швартовная , кВт

––– ––– ––– 268 80 34

Для обоснования возможных режимов работы главного двигателя в эксплуатации по рассчитанным координатам строятся ограничительные и винтовые характеристики на одном чертеже (рис. 3.2). Совмещение характеристик позволяет установить область эксплуатационных режимов работы главного двигателя, которая для судовых дизелей с наддувом ограничивается:

  • сверху: частью линии швартовной характеристики и ограничительной по тепловой напряжённости;

  • справа: линией номинальной частоты вращения коленчатого вала;

  • снизу: линией облегченной винтовой характеристики;

  • слева: линией минимально-устойчивой частоты вращения коленчатого вала.

3.4.2. Выбор режима работы главного двигателя

Для выбора рационального режима работы главного двигателя предварительно выполняется расчёт изменения его параметров при работе главного двигателя по винтовой характеристике (табл. 3.2).

Показатели главного двигателя на долевых режимах могут быть определены с помощью следующих зависимостей.

Долевая мощность:

.

Эффективный КПД на режиме:

.

Удельный расход топлива на режиме:

.

Часовой расход топлива:

.

Среднее эффективное давление на режиме:

,

где – коэффициент тактности дизеля ( – для четырёхтактных);

– число цилиндров;

м – диаметр цилиндра;

м – ход поршня.

Таблица 3.2

Расчёт параметров главных двигателей по винтовой характеристике

Параметры, единицы измерения

Значения

Исходные данные
марка дизеля 6ЧНСП18/22

номинальная эффективная мощность , кВт

440

номинальная частота вращения , мин-1

1000

удельный расход топлива , кг/(кВтч)

0,209

механический КПД на номинальном режиме

0,88

диаметр цилиндра , м

0,18

ход поршня , м

0,22

число цилиндров

6
РАСЧЁТНЫЕ ДАННЫЕ





доля номинальной частоты вращения 1 0,9 0,8 0,6 0,4 0,3

долевая частота вращения , мин-1

1000 900 800 600 400 300

адаптивная поправка к КПД

0 0,02 0,01 -0,03 -0,08 -0,11

мощность двигателя на режиме , кВт

440 321 225 95 28 12

эффективный КПД на режиме

0,412 0,414 0,403 0,369 0,321 0,286

удельный расход топлива , кг/(кВтч)

0,209 0,208 0,213 0,233 0,268 0,301

часовой расход топлива , кг/ч

91,96 66,6 48,02 22,12 7,55 3,57

среднее эффективное давление , МПа

1,52 1,22 0,957 0,516 0,202 0,092

По результатам расчётов необходимо построить графики изменения показателей главного двигателя при работе его по винтовой характеристике (рис. 3.3).

Определяем наиболее экономичный режим работы двигателя (режим с ) и значения параметров на этом режиме:

об/мин; кВт; ;

кг/(кВтч); кг/ч; МПа.


3.5. Охрана окружающей среды при эксплуатации дизеля

В данном разделе рассматривается сравнение влияния конструктивных особенностей дизеля находящегося в эксплуатации (6ЧНСП18/22; 220 кВт; 750 об/мин) и спроектированного (6ЧНСП18/22; 440 кВт; 1000 об/мин).

На процесс сгорания и состав отработавших газов существенно влияют следующие показатели: размер цилиндра, степень сжатия, частота вращения, тип камеры сгорания, работа системы охлаждения, завихрение воздушного заряда, удельный расход топлива и т.д.

Рассмотрим влияние некоторых показателей на состав отработавших газов.

Влияние степени сжатия

Степень сжатия отражает энергетическое состояние воздушного заряда. С термодинамической точки зрения энергетическое состояние заряда оценивается давлением сжатия и температурой сгорания, с физико-химической – способностью вступать в реакцию. С повышением давления и температуры молекулы кислорода воздуха переходят из нормального, химически не активного, в химически активное состояние, становясь исключительно реакционно-способными. Попавшее в такую среду топливо быстро окисляется и процесс воспламенения ускоряется. Таким образом, с повышением степени сжатия сокращается задержка воспламенения и продолжительность сгорания топлива.

Спроектированный двигатель имеет более высокую степень сжатия, чем находящийся в эксплуатации, что обуславливает более низкую дымность отработавших газов.

Влияние частоты вращения

Дымность отработавших газов находится в прямой зависимости от частоты вращения. С понижением её дымность уменьшается, что связано с увеличением времени, выделяемым на процессы смесеобразования и сгорания и, как следствие, более полным качественным сгоранием топлива. Частота вращения старого дизеля составляет 750 об/мин, а спроектированного дизеля – 1000 об/мин. Следовательно, для нового двигателя характерно некоторое повышение дымности при рассмотрении данного параметра.

Влияние камеры сгорания

Уровень дымности отработавших газов также во многом зависит от способа смесеобразования и типа камеры сгорания. Установлено, что в дизелях с разделёнными камерами сгорания образование NOx существенно меньше, чем в дизелях с открытыми и полуразделенными камерами. У обоих двигателей камеры сгорания неразделённые, и оба двигателя имеют камеру сгорания ЦНИДИ. Следовательно, при рассмотрении этого параметра преимущества не будет иметь не старый не новый двигатель.

Таким образом, на основе сравнения некоторых параметров рабочего процесса и конструктивных особенностей дизелей можно сделать вывод, что показатели дымности и токсичности отработавших газов спроектированного двигателя будут лучше, чем у старого двигателя, а потому спроектированный двигатель можно считать более экологичным.


3.6. Теплотехнический контроль дизеля во время эксплуатации

Теплотехнический контроль главных двигателей серийных теплоходов и дизель-электроходов в судовых условиях проводит судовой экипаж под руководством и при непосредственном участии механика.

При теплотехническом контроле:

  • проверяют качество работы топливной аппаратуры двигателя (форсунок и топливных насосов);

  • проверяют давление сжатия и максимальное давление сгорания по цилиндрам двигателя;

  • регулируют двигатели по максимальному давлению сгорания и температуре выпускных газов цилиндров;

  • проверяют зазоры в клапанных механизмах двигателей;

  • проводят контрольные измерения температур, давлений, частоты вращения и расхода топлива;

  • анализируют показатели, полученные при изменениях, выявляют недостатки и разрабатывают мероприятия по улучшению работы двигателей.

Установлен порядок, согласно которому теплотехнический контроль проводят на теплоходах. Двигатели, конструкции которых не позволяют проводить теплотехнический контроль в полном объёме, проверяют по сокращенной программе.

Теплотехнический контроль судовых двигателей проводят не реже одного раза в месяц и, кроме того, после каждой замены гребного винта новым или исправлением поврежденного у транспортных судов.

Контрольные испытания необходимо проводить в дневное время на прямых глубоководных участках при скорости ветра 3,4–5,2 м/с. Глубина в районе испытаний должна быть больше средней осадки в 6–8 раз. На судах с паспортными характеристиками, отработанными на мелководье, контрольные испытания следует проводить на тех же глубинах, для которых были построены паспортные характеристики.

Контроль проводят при движении грузового теплохода с грузом при полной грузовой осадке. Измерения при техническом контроле необходимо начинать не ранее чем через час после пуска холодного двигателя, чтобы установился его температурный режим. Если был изменён режим работы двигателя, то к контрольным измерения можно приступить через 20 минут после установления необходимой частоты вращения.

Как правило, контроль проводят при работе двигателя с номинальной частотой вращения. Если при этом температура выпускных газов окажется недопустимо высокой, то контроль проводят при пониженной частоте вращения с тем, чтобы температура выпускных газов не превышала значения, допустимого для двигателей данной марки. Температуру охлаждающей воды и масла в системах двигателя при контроле нужно поддерживать номинальной, согласно руководству по его эксплуатации.

При проведении контроля по каждому двигателю определяют:

  • частоту вращения коленчатого вала;

  • температуру выпускных газов по цилиндрам;

  • температуру охлаждающей воды на выходе из двигателя;

  • температуру воздуха поступающего в двигатель;

  • температуру масла на выходе из двигателя;

  • давление масла после фильтров;

  • плотность топлива;

  • время расхода топлива из мерного бачка.


3.7. Диагностирование состояния дизеля по физико-химическим ррррсвойствам моторного масла

Как известно, существует определенная связь показателей моторного масла с некоторыми неисправностями дизеля. Некоторые из этих закономерностей представлены в табл. 3.3.

Таблица 3.3

Связь неисправностей дизеля с показателями качества масла

Неисправность

Изменение показателей качества масла

1.Значительный прорыв газов в картер Резкое увеличение вязкости и высокое содержание нерастворимого осадка
2.Неполное сгорание топлива Резкое увеличение вязкости; потемнение центрального ядра и сокращение зоны диффузии в капельной пробе
3.Плохо работают масляные фильтры; плохо работают воздушные фильтры; местный перегрев масла Резкое увеличение вязкости, масляное пятно коричневого цвета; повышения содержания Si в масле
4.Попадание топлива с вязкостью большей, чем у масла Резкое увеличение вязкости; большая разность нерастворимого в толуоле и бензине осадка; резкое изменение плотности
5.Попадание топлива с вязкостью меньшей, чем у масла Резкое снижение вязкости и снижение температуры вспышки
6.Плохо отрегулирован сепаратор; течь масляного холодильника; неплотность системы охлаждения цилиндра Повышение содержания воды; снижение общего щёлочного числа
7.Использование топлив с большим содержанием серы; плохая регулировка температуры охлаждения Снижение общего щёлочного числа

Для определения физико-химических свойств моторного масла в свою очередь существуют разнообразные способы, как в лабораторных, так и в судовых условиях. Например, для установления браковочных значений моторного масла в судовых условиях используют СЛЭК (судовая лаборатория экспресс оценки качества топлива и масла), вискозиметры, ИКМ (индикатор воды в масле и общего щелочного числа) и др.


3.8. Оценка работоспособности деталей дизелей с дефектами

Установлено, что одной из причин выхода из строя деталей дизелей, работающих при циклических нагрузках, является усталость металла. Разрушение деталей от усталости наступает, как правило, вследствие наличия скрытых дефектов металла, некачественной термической обработки, грубых следов резца на поверхности, некачественной сборки и т. д.

На основании многочисленных исследований известно, что процесс изнашивания металла от усталости проходит три характерных этапа.

Под действием напряжений, даже меньше предела текучести материала, в отдельных кристаллах возникают пластические деформации, характеризующиеся появлением линий скольжения. Пластические деформации вызывают наклеп – упрочнение металла, блокирующее развитие линий скольжения. Процессу упрочнения металла противодействует другой процесс – разрушение, заключающееся в образовании пустот в кристаллической решетке.

Когда способность металла упрочняться исчерпывается, доминирующим процессом становится разупрочнение, приводящее в конечном итоге к образованию субмикроскопической трещины, длина которой соизмерима с размерами зерна металла. Субмикроскопическая трещина под действием циклических нагрузок перерастает в микроскопическую.

Основную часть процесса развития усталостного разрушения составляет второй этап, когда трещина растет примерно с постоянной скоростью в направлении, перпендикулярном наибольшим нормальным напряжениям. Этот этап называется стабильным или докритическим развитием трещины. В зависимости от материала детали, характера ее нагружения, напряженности и влияния окружающей среды, второй этап может продолжаться длительное время, отмечаются случаи даже полной остановки трещин.

На третьем этапе, когда трещина достигает критического размера, скорость ее роста быстро увеличивается, и происходит практически мгновенное хрупкое разрушение.

Изложенное подтверждается опытом эксплуатации машин, механизмов и конструкций.

Таким образом, появление трещин в эксплуатации не приводит к мгновенному разрушению, а долговечность детали, подвергающейся усталостному изнашиванию, определяется периодом развития трещины до критического размера.

Вопросы оценки работоспособности деталей дизелей с дефектами могут быть решены с позиций механики разрушения.

Методы механики разрушения позволяют при известных характеристиках трещиностойкости материала определить критический размер дефекта, после которого происходит разрушение детали, предельный, т. е. допустимый размер дефекта к концу срока эксплуатации и начальный, обеспечивающий работоспособность детали в течение заданного промежутка времени. Установленные размеры начальных дефектов могут быть приняты в качестве основы для назначения критериев браковки деталей в технических нормах.

Для практического решения вопроса об оценке работоспособности деталей дизеля с дефектами необходимо выбрать неразрушающий метод контроля, позволяющий обнаруживать трещины весьма малых размеров, которые относятся к разряду начальных, а также с его помощью вести наблюдение в процессе эксплуатации за развитием дефекта.

Для указанной цели, прежде всего, пригодны физические неразрушающие методы контроля, позволяющие выявлять дефекты типа трещин, причем трещин поверхностных, так как развитие усталостных процессов, как правило, начинается с поверхности детали.

К таким методам относятся: магнитопорошковый, капиллярные (люминесцентный и цветной), ультразвуковой и вихретоковый.

Магнитопорошковый метод предназначен для обнаружения поверхностных и подповерхностных дефектов на деталях, изготовленных из ферромагнитных материалов. Его физическое существо состоит в создании магнитного поля рассеивания над дефектом при его намагничивании и выявлении этого поля с помощью магнитного порошка или магнитной суспензии. Для получения индикаторных следов дефектов используются, как правило, черные или темные магнитные порошки. Магнитопорошковый метод позволяет выявлять на деталях дефекты протяженностью более 2 мм. Таким образом, магнитопорошковый метод по своей физической природе пригоден для выявления трещин на деталях дизелей, изготовленных из стали и чугуна, но имеющих светлую поверхность. Выявлять мелкие трещины на темной поверхности деталей, изготовленных из чугуна (фундаментные рамы, блоки цилиндров), этим методом весьма затруднительно.

Капиллярные методы контроля – люминесцентный и цветной предназначены для обнаружения только поверхностных дефектов на деталях, изготовленных в основном из цветных металлов и сплавов. Однако этими методами могут быть выявлены трещины и на деталях стальных и чугунных, но чувствительность их ниже, чем магнитопорошкового метода.

Физическое существо капиллярных методов контроля основано на проникновении специальных составов в полости дефектов вследствие их капиллярных свойств, и последующего извлечения жидкости с помощью проявителей для создания индикаторного следа дефекта на поверхности детали.

Капиллярными методами надежно выявляются дефекты, если полость их свободна от загрязнения: масла, продуктов коррозии, краски, и т. к. большинство деталей дизелей эксплуатируется в условиях жидкостной смазки, поэтому при недостаточно тщательной подготовке к контролю использование капиллярных методов для обнаружения трещин на таких деталях может оказаться малоэффективным.

Ультразвуковой метод контроля предназначен в основном для обнаружения внутренних дефектов на деталях, изготовленных из любых материалов. Метод основан на отражении ультразвуковых колебаний от границы раздела двух сред, если они обладают различными акустическими сопротивлениями.

Вихретоковый метод предназначен для обнаружения поверхностных дефектов на деталях, изготовленных из черных и цветных металлов. Физическая природа вихретокового метода основана на создании в металле с помощью индуктивных датчиков вихревых токов. Поскольку трещина является препятствием для прохождения тока, то наличие в полости дефекта любых загрязнений не влияет на чувствительность метода. С помощью вихретокового метода можно выявлять дефекты протяженностью в половину диаметра индуктивной катушки датчика, т. е. чувствительность метода достаточно высока.

На основе проведенного анализа можно сделать следующие выводы. Для обнаружения начальных трещин и контроля за их развитием на деталях, изготовленных из стали (коленчатые валы, шатуны и т. д.), следует использовать магнитопорошковый метод. Контроль деталей, изготовленных из чугуна и цветных сплавов, целесообразно производить вихретоковым методом.

Для расчета долговечности деталей с трещинами кроме их протяженности необходимо знать еще один параметр – глубину трещины. Выбранные методы контроля – магнитопорошковый и вихретоковый не дают возможности по индикации дефектов определить их глубину. Для этой цели следует использовать приборы, измеряющие электросопротивление в месте расположения дефекта.

Использование средств неразрушающего контроля, принцип работы которых основан на физических закономерностях, положенных в основу выбранных методов, позволит иметь достоверную информацию для оценки работоспособности деталей дизелей с дефектами.


3.9. Регулирование дизеля

3.9.1. Методы регулирования

Длительная работа двигателя с заданной экономичностью и надежностью в значительной степени зависит от совершенства и стабильности рабочего процесса в цилиндрах. У реального дизеля это достигают высокой точностью изготовления деталей и сборки узлов дизеля, установкой оптимального газораспределения, стабильной работой топливной аппаратуры и систем, обслуживающих дизель, своевременным изменением режимов их работы в зависимости от изменения внешних условий и устранением возникающих в процессе эксплуатации отклонений и недостатков.

Комплекс работ по установлению и поддержанию основных параметров рабочего процесса в заданных пределах называют регулированием дизеля. Работы по регулированию состоят из операции проверки контролируемых параметров, анализа полученных при этом результатов и соответствующего изменения взаимодействия узлов дизеля в целью получения нормативных значений контролируемых параметров.

В качестве контролируемых параметров могут быть использованы как технические характеристики сборки и взаимодействия отдельных узлов дизеля, предусмотренные чертежами и косвенно характеризующие его рабочий процесс, так и основные показатели индикаторного процесса, прямо характеризующие его совершенство.

В зависимости от принятого метода контроля различают статическое и динамическое регулирование дизеля.

Статическое регулирование заключается в проверке технических характеристик сборки механизма газораспределения и других узлов у неработающего дизеля, а также в проверке качества работы топливной аппаратуры на специальных стендах и в доведении у проверяемых величин нормативных значений.

Статическое регулирование проводят с точностью, определяемой значениями допусков и техническими требованиями на изготовление деталей и сборку узлов дизеля. В результате этого дизель приводится в работоспособное состояние и может быть запущен в работу под нагрузкой.

В случае если сборка с точностью в пределах технологических допусков и стендовая проверка не обеспечивают значений заданных показателей надежности и экономичности работы дизеля, дополнительно к статическому проводят динамическое регулирование, заключающееся в проверке параметров индикаторного процесса каждого цилиндра и дизеля в целом при работе под нагрузкой и доведении их до оптимальных значений, установленных заводом-изготовителем.

Динамическое регулирование проводят с точностью, определяемой значениями допусков на основные параметры индикаторного процесса. Правильно отрегулированный дизель должен развивать номинальную мощность и иметь показатели экономичности, маневренности и надежности в соответствии с техническими условиями на поставку.

С течением времени первоначальная регулировка дизеля нарушается вследствие естественного изнашивания и старения деталей. Поэтому в процессе эксплуатации периодически проверяют и регулируют дизель с целью поддержания его надежности и экономичности в заданных пределах. Объем выполняемых при этом работ определяют по степени износа деталей. В случае ремонта дизеля с заменой деталей обычно выполняют те же работы по регулированию, что и после первоначальной сборки. Рациональное сочетание методов статического и динамического регулирования способствует снижению их общей трудоемкости.

3.9.2. Основные операции регулирования

При регулировании рабочего процесса реального дизеля целенаправленно изменяют размеры зазоров или взаимное расположение деталей и узлов механизмов газораспределения и топливоподачи.

При статическом регулировании выполняют следующие работы:

  • проверяют исправность турбонагнетателя, чистоту воздушных фильтров и плотность наддувочного трубопровода;

  • проверяют герметичность цилиндров (плотности соединений клапанов и поршневых колец);

  • регулируют зазоры в приводе открытия клапанов и углы их открытия и закрытия;

  • проверяют на стенде и регулируют топливные насосы и форсунки;

  • проверяют и регулируют нулевое положение топливных насосов;

  • регулируют угол опережения подачи топлива.

После окончания статического регулирования проверяют полученные результаты, определяя показатели индикаторного процесса при установившемся режиме работы дизеля на номинальной мощности.

Показатели, характеризующие правильность регулировки равномерность распределения мощности по цилиндрам, приведены в табл. 3.4.

Таблица 3.4

Параметры дизеля и способы их регулирования

Показатели

Допустимые отклонения параметров от нормативных или средних значений

Способ регулирования

Температура выпускных газов по цилиндрам

5С

Изменением количества топлива, подаваемого в цилиндр
Максимальное давление сгорания по цилиндрам 4% Изменением угла опережения подачи топлива
Давление конца сжатия по цилиндрам 2,5% Изменением высоты камеры сжатия
Давление масла после фильтра 40 кПа Изменением регулировки редукционного клапана
Температура масла на выходе из двигателя

5С

Изменением настройки терморегулятора (изменением количества охлаждающей воды, проходящей через холодильник)
Температура воды на выходе из крышек цилиндров

5С

Изменением открытия вентилей на патрубках отходящей воды
Температура воды на выходе из двигателя

10С

Изменением настройки терморегулятора (изменением количества охлаждающей или охлаждаемой воды, проходящей через холодильник)

Если при этом будет установлено несоответствие фактических значений контролируемых величин, установленным нормативам, проводят дополнительное, более точное, динамическое регулирование дизеля. Способы регулирования, зависящие от конструкции дизеля, указаны в инструкции по его эксплуатации.

Чтобы избежать перегрузки дизеля, регулирование начинают с наиболее нагруженных цилиндров.



Overview

График 1
График 2
Данные


Sheet 1: График 1



Sheet 2: График 2



Sheet 3: Данные

1000
440 440 440
352 440

900
409 381 396
257 321

800
365 323 352
180 225 271 602
600
270 205 264
76 95 268 600
400
175 88 176
23 28 80 400
300
129 29 132
10 12 34 300

































412 209 91.96 152





414 208 66.6 122





403 213 48.02 95.7





369 233 22.12 51.6





321 268 7.55 20.2





286 301 3.57 9.2



Обобщённые характеристики главного двигателя


ИЗМЕНЕНИЕ ПАРАМЕТРОВ ГЛАВНОГО ДВИГАТЕЛЯ

Оценить/Добавить комментарий
Имя
Оценка
Комментарии:
Срочная помощь учащимся в написании различных работ. Бесплатные корректировки! Круглосуточная поддержка! Узнай стоимость твоей работы на сайте 64362.ru
19:49:06 10 сентября 2021
Если Вам нужна помощь с учебными работами, ну или будет нужна в будущем (курсовая, дипломная, отчет по практике, контрольная, РГР, решение задач, онлайн-помощь на экзамене или "любая другая" учебная работа...) - обращайтесь: https://clck.ru/P8YFs - (просто скопируйте этот адрес и вставьте в браузер) Сделаем все качественно и в самые короткие сроки + бесплатные доработки до самой сдачи/защиты! Предоставим все необходимые гарантии.
Руслан02:06:42 23 июня 2020
Привет студентам) если возникают трудности с любой работой (от реферата и контрольных до диплома), можете обратиться на FAST-REFERAT.RU , я там обычно заказываю, все качественно и в срок) в любом случае попробуйте, за спрос денег не берут)
Olya22:16:26 24 августа 2019
.
.22:16:26 24 августа 2019
.
.22:16:25 24 августа 2019

Смотреть все комментарии (18)
Работы, похожие на Реферат: Модернизация двигателя мощностью 440 квт с целью повышения их технико-экономических показателей

Назад
Меню
Главная
Рефераты
Благодарности
Опрос
Станете ли вы заказывать работу за деньги, если не найдете ее в Интернете?

Да, в любом случае.
Да, но только в случае крайней необходимости.
Возможно, в зависимости от цены.
Нет, напишу его сам.
Нет, забью.



Результаты(286390)
Комментарии (4153)
Copyright © 2005-2021 HEKIMA.RU [email protected] реклама на сайте