Банк рефератов содержит более 364 тысяч рефератов, курсовых и дипломных работ, шпаргалок и докладов по различным дисциплинам: истории, психологии, экономике, менеджменту, философии, праву, экологии. А также изложения, сочинения по литературе, отчеты по практике, топики по английскому.
Полнотекстовый поиск
Всего работ:
364139
Теги названий
Разделы
Авиация и космонавтика (304)
Административное право (123)
Арбитражный процесс (23)
Архитектура (113)
Астрология (4)
Астрономия (4814)
Банковское дело (5227)
Безопасность жизнедеятельности (2616)
Биографии (3423)
Биология (4214)
Биология и химия (1518)
Биржевое дело (68)
Ботаника и сельское хоз-во (2836)
Бухгалтерский учет и аудит (8269)
Валютные отношения (50)
Ветеринария (50)
Военная кафедра (762)
ГДЗ (2)
География (5275)
Геодезия (30)
Геология (1222)
Геополитика (43)
Государство и право (20403)
Гражданское право и процесс (465)
Делопроизводство (19)
Деньги и кредит (108)
ЕГЭ (173)
Естествознание (96)
Журналистика (899)
ЗНО (54)
Зоология (34)
Издательское дело и полиграфия (476)
Инвестиции (106)
Иностранный язык (62791)
Информатика (3562)
Информатика, программирование (6444)
Исторические личности (2165)
История (21319)
История техники (766)
Кибернетика (64)
Коммуникации и связь (3145)
Компьютерные науки (60)
Косметология (17)
Краеведение и этнография (588)
Краткое содержание произведений (1000)
Криминалистика (106)
Криминология (48)
Криптология (3)
Кулинария (1167)
Культура и искусство (8485)
Культурология (537)
Литература : зарубежная (2044)
Литература и русский язык (11657)
Логика (532)
Логистика (21)
Маркетинг (7985)
Математика (3721)
Медицина, здоровье (10549)
Медицинские науки (88)
Международное публичное право (58)
Международное частное право (36)
Международные отношения (2257)
Менеджмент (12491)
Металлургия (91)
Москвоведение (797)
Музыка (1338)
Муниципальное право (24)
Налоги, налогообложение (214)
Наука и техника (1141)
Начертательная геометрия (3)
Оккультизм и уфология (8)
Остальные рефераты (21692)
Педагогика (7850)
Политология (3801)
Право (682)
Право, юриспруденция (2881)
Предпринимательство (475)
Прикладные науки (1)
Промышленность, производство (7100)
Психология (8692)
психология, педагогика (4121)
Радиоэлектроника (443)
Реклама (952)
Религия и мифология (2967)
Риторика (23)
Сексология (748)
Социология (4876)
Статистика (95)
Страхование (107)
Строительные науки (7)
Строительство (2004)
Схемотехника (15)
Таможенная система (663)
Теория государства и права (240)
Теория организации (39)
Теплотехника (25)
Технология (624)
Товароведение (16)
Транспорт (2652)
Трудовое право (136)
Туризм (90)
Уголовное право и процесс (406)
Управление (95)
Управленческие науки (24)
Физика (3462)
Физкультура и спорт (4482)
Философия (7216)
Финансовые науки (4592)
Финансы (5386)
Фотография (3)
Химия (2244)
Хозяйственное право (23)
Цифровые устройства (29)
Экологическое право (35)
Экология (4517)
Экономика (20644)
Экономико-математическое моделирование (666)
Экономическая география (119)
Экономическая теория (2573)
Этика (889)
Юриспруденция (288)
Языковедение (148)
Языкознание, филология (1140)

Реферат: Молекулярно кинетическая теория

Название: Молекулярно кинетическая теория
Раздел: Рефераты по физике
Тип: реферат Добавлен 07:41:57 20 сентября 2005 Похожие работы
Просмотров: 14499 Комментариев: 24 Оценило: 31 человек Средний балл: 3.7 Оценка: 4     Скачать

ОГЛАВЛЕНИЕ

1) Основные положения молекулярно-кинетической теории, ее опытные обоснования 2

2) Размеры молекул.............................................................................................................. 6

3) Микро- и макропараметры системы.............................................................................. 7

4) Основные уравнения молекулярно-кинетической теории идеального газа для давления 9

5) Скорости газовых молекул........................................................................................... 12 ...................................................................................................................................................... ......................................................................................................................................................

6) Энергия поступательного движения молекул газа.................................................... 13

7) Уравнение состояния идеального газа - уравнение Менделеева-Клапейрона....... 14

8) Опытные газовые законы. Давление смеси идеальных газов (закон Дальтона).... 15

1.Основные положения молекулярно-кинетической теории, ее опытные обоснования.

Согласно молекулярно-кинетической теории все вещества состоят из мельчайших частиц - молекул. Молекулы находятся в непрерывном движении и взаимодействуют между собой. Молекула - наименьшая частица вещества, обладающая его химическими свойствами. Молекулы состоят из более простых частиц - атомов химически элементов. Молекулы различных веществ имеют различный атомный состав.

Молекулы обладают кинетической энергией Wкин и одновременно потенциальной энергией взаимодействия Wпот . В газообразном состоянии Wкин > Wпот . В жидком и твердом состояниях кинетическая энергия частиц сравнима с энергией их взаимодействия (Wкин Wпот ).

Поясним три основных положения молекулярно - кинетической теории.

1. Все вещества состоят из молекул, т.е. имеют дискретное строение, молекулы разделены промежутками.

2. Молекулы находятся в непрерывном беспорядочном (хаотическом) движении.

3. Между молекулами тела существуют силы взаимодействия .

Молекулярно-кинетическая теория обосновывается многочисленными опытами и огромным количеством физических явлений.

Существование молекул блестяще подтверждается законом кратных отношений. Он гласит: "при образовании из двух элементов различных соединений (веществ) массы одного из элементов в разных соединениях относятся как целые числа, т.е. находятся в кратных отношениях ". Например, азот и кислород дают пять соединений: N2 O, N2 O2 , N2 O3 , N2 O4 , N2 O5 . В них с одним и тем же количеством азота кислород вступает в соединение в количествах, находящихся между собой в кратных отношениях 1:2:3:4:5. Закон кратных отношений легко объяснить. Всякое вещество состоит из одинаковых молекул, имеющих соответствующий атомный состав . Так как все молекулы данного вещества одинаковы, то отношение весовых количеств простых элементов , входящих в состав всего тела, такое же, как и в отдельной молекуле, и, значит, является кратным атомных весов, что и подтверждается опытом.

Наличие промежутков между молекулами следует, например из опытов смещения различных жидкостей: объем смеси всегда меньше суммы объемов смешанных жидкостей.

Приведем некоторые из доказательств беспорядочного (хаотического) движения молекул :

а) стремление газа занять весь предоставленный ему объем (распространение пахучего газа по всему помещению);

б) броуновское движение - беспорядочное движение мельчайших видимых в микроскоп частиц вещества, находящихся во взвешенном состоянии и нерастворимых в ней. Это движение происходит под действием беспорядочных ударов молекул, окружающей жидкости, находящихся в постоянном хаотическом движении;

в) диффузия - взаимное проникновение молекул соприкасающихся веществ. При диффузии молекулы одного тела, находясь в непрерывном движении, проникают в промежутки между молекулами другого соприкасающегося с ним тела и распространяются между ними. Диффузия проявляется во всех телах - в газах, жидкостях и твердых телах, - но в разной степени.

Диффузию в газах можно наблюдать если сосуд с пахучим газом открыть в помещении. Через некоторое время газ распространится по всему помещению.

Диффузия в жидкостях происходит значительно медленнее, чем в газах. Например, в стакан нальем раствор медного купороса, а затем, очень осторожно добавим слой воды и оставим стакан в помещении с постоянной температурой и где он не подвергается сотрясениям. Через некоторое время будем наблюдать исчезновение резкой границы между купоросом и водой, а через несколько дней жидкости перемешаются, несмотря на то, что плотность купороса больше плотности воды. Так же диффундирует вода со спиртом и прочие жидкости.

Диффузия в твердых телах происходит еще медленнее, чем в жикостях (от нескольких часов до нескольких лет). Она может наблюдаться только в хорошо пришлифованных телах когда расстояния между поверхностями пришлифованных тел близки к расстояниям между молекулами (10-8 см). При этом скорость диффузии увеличивается при повышении температуры и давления.

Разновидностью диффузии является ОСМОС - проникновение жидкостей и растворов через пористую перегородку. Диффузия и осмос играют большую роль в природе и технике. В природе благодаря диффузии осуществляется питание растений из почвы. Организм человека и животных всасывает через стенки пищеварительного тракта питательные вещества. В технике с помощью диффузии поверхностный слой металлических изделий насыщается углеродом (цементация).

Доказательства силового взаимодействия молекул :

а) деформация тел под влиянием силового воздействия;

б) сохранение формы твердыми телами;

в) поверхностное натяжение жидкостей и, как следствие, явление смачивания и капиллярности.

Между молекулами существуют одновременно силы притяжения и силы отталкивания (рис. 1). При малых расстояниях между молекулами преобладают силы отталкивания. По мере увеличения расстояния r между молекулами как силы притяжения, так и силы отталкивания убывают, причем силы отталкивания убывают быстрее. Поэтому при некотором значении r0 (расстояние между молекулами) силы притяжения и силы отталкивания взаимно уравновешиваются.

Рис. 1

Если условиться отталкивающим силам приписывать положительный знак, а силам притяжения - отрицательный и произвести алгебраическое сложение сил отталкивания и притяжения, то получаем график, изображенный на рис. 2.

Рис. 2 Рис. 3

На рис. 3 дан график зависимости потенциальной энергии взаимодействия молекул от расстояния между ними. Расстояние r0 между молекулами соответствует минимуму их потенциальной энергии (рис. 3). Для изменения расстояния между молекулами в ту или другую сторону требуется затратить работу против преобладающих сил притяжения или отталкивания. На меньших расстояниях (рис. 2) кривая круто поднимается вверх; эта область соответствует сильному отталкиванию молекул (обусловленному главным образом кулоновским отталкиванием сближающихся ядер). На больших расстояниях молекулы притягиваются. Расстояние r0 соответствует устойчивому равновесному взаимному положению молекул. Из рис. 2 видно, что при увеличении расстояния между молекулами, преобладающие силы притяжения восстанавливают равновесное положение, а при уменьшении расстояние между ними равновесие восстанавливается преобладающими силами отталкивания.

Современные экспериментальные методы физики (рентгеноструктурный анализ, наблюдения с помощью электронного микроскопа и др.) позволили наблюдать микроструктуру веществ.


2.Размеры молекул

Число граммов вещества, равное молекулярному весу этого вещества, называется грамм-молекулой или молем . Например, 2 г водорода составляет грамм-молекулу водорода; 32 г кислорода составляют грамм-молекулу кислорода. Масса одного моля вещества называется молярной массой этого вещества . Обозначается через m. Для водорода ; для кислорода ; для азота и т.д.

Число молекул, содержащихся в одном моле разных веществ одинаково и называется числом Авогадро (NA ).

Число Авогадро чрезвычайно велико. Чтобы почувствовать его колоссальность, представьте себе, что в Черное море высыпали число булавочных головок (диаметр каждой около 1 мм), равное числу Авогадро. При этом оказалось бы, что в Черном море уже не остается места для воды: оно не только до краев, но и большим избытком оказалось бы заполненным этими булавочными головками. Авогадровым числом булавочных головок можно было бы засыпать площадь, равную, например, территории Франции, слоем толщиной около 1 км. И такое огромное число отдельных молекул содержится всего лишь в 18 г воды; в 2 г водорода и т.д.

Установлено, что в 1 см3 любого газа при нормальных условиях (т.е. при 00 С и давлении 760 мм. рт. ст.) содержится 2,71019 молекул .

Если взять число кирпичей, равное этому числу, то, будучи плотно уложенными эти кирпичи покрыли бы поверхность всей суши Земного шара слоем высотой 120 м. Кинетическая теория газов позволяет вычислить лишь длину свободного пробега молекулы газа (т.е. среднее расстояние, которое проходит молекула от столкновения до столкновения с другими молекулами) и диаметр молекулы .

Приводим некоторые результаты этих вычислений.

Вещество

Длина свободного пробега

При 760 мм.рт.ст.

Диаметр молекулы

Водород Н2

1,12310-5 см

2,310-8 см

Кислород О2

0,64710-5 см

2,910-8 см

Азот N2

0,59910-5 см

3,110-8 см

Диаметры отдельных молекул - величины малые. При увеличении в миллион раз молекулы были бы величиной с точку типографского шрифта этой книжки. Обозначим через m - массу газа (любого вещества). Тогда отношение дает число молей газа .

Число молекул газа n можно выразить: . (1) Число молекул в единице объема n0 будет равно: , (2) где: V - объем газа.

Массу одной молекулы m0 можно определить по формуле:

. (3)

Относительной массой молекулы mотн называется величина, равная отношению абсолютной массы молекулы m0 к 1/12 массы атома углерода moc .

, (4) moc = 210-26 кг.

3.Микро- и макропараметры системы

Рассмотрим систему, состоящую из очень большого числа молекул n. Например, такой системой может быть газ.

В данный момент времени каждая молекула газа имеет свою энергию, скорость, направление движения, определенную массу и размеры. Величины, которые определяют поведение одной частицы в системе, носят название микропараметров . Микропараметры одной частицы могут меняться без внешних воздействий на систему. Например, скорости молекул газа могут непрерывно изменяться за счет столкновений между ними.

Величины, которые изменяются за счет внешних воздействий на систему, называются макропараметрами . К ним относятся: объем V, давление Р, температура Т.

Объем V - это область пространства, занимаемая телом. В Си измеряется в м3 . 1 л = 10-3 м3 .

Давление Р - скалярная физическая величина, характеризующая распределение силы по поверхности и равная проекции силы на направление нормали к площадке, на которую сила действует, и отнесенная к единице этой площади. При равномерном распределении силы F по плоской поверхности площадью S давление равно , где Fn - проекция силы F на нормаль к площади S. В Си единица давления - Паскаль = Па = . Внесистемная единица - мм.рт.ст. Нормальное давление равно одной физической атмосфере. 1 физическая атмосфера = 1 атм = 760 мм.рт.ст, 1 техническая атмосфера = 1 ат = 736 мм.рт.ст. 1 мм.рт.ст. = 133Па

Температура Т - параметр состояния, характеризующий степень нагретости тела и связанный с понятием теплового равновесия . Два тела, изолированные от окружающих тел, но имеющие возможность обмениваться энергией друг с другом, находятся в тепловом равновесии , если их термодинамические состояния не изменяются со временем. Телам, находящимся в тепловом равновесии друг с другом, приписывается одна и та же температура. Различают термодинамическую (абсолютную) температуру ТК и температуру Цельсия t0 C. Связь между ними: . Абсолютную температуру в Си измеряют в градусах по шкале Кельвина.

Если два тела находятся в тепловом равновесии, то средние значения кинетической энергии поступательного движения частиц этих тел будут одинаковы.

Известно, что = 3/2 kT (для одной частицы) (5), где k - постоянная Больцмана; . Из формулы (5) следует: . (6)

Таким образом, термодинамическая температура с молекулярно-кинетической точки зрения - физическая величина, характеризующая интенсивность хаотического, теплового движения всей совокупности частиц системы и пропорциональная средней кинетической энергии поступательного движения одной частицы.

Обратите внимание :

1) из (6) следует, что при = 0 и Т = 0;

2) температура, при которой прекращается хаотическое движение частиц тела, называется абсолютным нулем . При Т = 0 прекращается только тепловое движение . Другие (нетепловые) формы движения будут наблюдаться и при абсолютном нуле.

4.Основные уравнения молекулярно-кинетической теории идеального газа для давления

Газ называют идеальным , если:

1) собственный объем молекул газа пренебрежимо мал по сравнению с объемом сосуда;

2) между молекулами газа отсутствуют силы взаимодействия;

3) столкновения молекул газа со стенками сосуда абсолютно упругие.

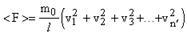
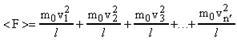
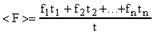
Реальные газы (например, кислород и гелий) в условиях, близких к нормальным , а также при низких давлениях и высоких температурах близки к идеальным газам. Частицы идеального газа в промежутках между столкновениями движутся равномерно и прямолинейно . Давление газа на стенки сосуда можно рассматривать как ряд быстро следующих ударов газовых молекул о стенку . Рассмотрим, как вычислить давление, вызванное отдельными ударами. Представим себе, что по некоторой поверхности происходит ряд отдельных и частых ударов. Найдем такую среднюю постоянную силу <F>, которая, действуя в течение времени t, за которое происходили отдельные удары, произведет такое же действие, как и все эти удары в своей совокупности . В таком случае импульс этой средней силы за время t должен равняться сумме импульсов всех тех ударов, которые получила поверхность за это время, т.е.

, где t1 , t2 , t3 ... tn - время взаимодействия первой, второй, ..., n-й молекул со стенкой (т.е. длительность удара); f1 , f2 , f3 ... fn - силы удара молекул о стенку. Из этой формулы следует, что , (7)

Средняя сила давления, вызванная рядом отдельных ударов о некоторую поверхность, численно равна сумме импульсов всех ударов, полученных этой поверхностью за единицу времени .

Найдем среднюю силу давления <F>, возникающую вследствие ударов газовых молекул о стенки сосуда. Имеем сосуд в форме куба (рис. 4) с длиной ребра l , в котором движется n молекул, причем масса каждой молекулы равна m0 . В результате хаотического движения молекул можно утверждать, что результат их ударов о стенки будет такой же, как будто 1/3 все молекул движется вдоль оси X, ударяя в правую и левую грани, 1/3 - движется вдоль оси Y, ударяя в переднюю и заднюю грани, а 1/3 - вдоль оси Z, ударяя в верхнюю и нижнюю грани.

Рис. 4

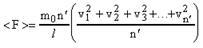
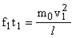
Найдем импульс силы , от удара одной (первой) молекулы по правой грани куба. Пусть молекула движется со скоростью V1 вдоль оси X. При упругом ударе о грань она отталкивается с такой же по модулю скоростью, но с обратным знаком. Импульс молекулы до удара (m0v1) , а после удара равен (-m0v1) . Изменение импульса молекулы за один удар о грань равно (2m0v1) . Подсчитаем число ударов, сделанных молекулой о грань за единицу времени (t = 1 с). От удара до следующего удара об одну и ту же грань молекула пролетает вдоль оси Х расстояние, равное удвоенной длине ребра куба 2l , т.к. ей надо пролететь до противоположной грани и вернуться обратно. За одну секунду молекула произведет (v1/2) ударов. Изменение импульса молекулы за все удары (за 1 сек) можно найти как . Импульс силы f1 t1 , полученный молекулой от грани за все удары в течение секунды, равен изменению ее импульса, т.е. . Такой же импульс получила грань от ударов молекулы. Обозначим число молекул, движущихся вдоль оси Х, через . Аналогично, различные молекулы, двигаясь с другими скоростями сообщают грани импульсы

или . (8)

Умножим и разделим правую часть равенства (8) на n' . Тогда получим:

. (9)

Сумма квадратов скоростей движущихся молекул деленная на их число равна квадрату средней квадратичной скорости <c>2 движения молекул, т.е.: . (10)

Используя выражение (10), формулу (9) запишем в виде: или, учитывая, что (11)

Давление газа р определяется силой, действующей на единицу площади (площадь грани куба с ребром l равна l 2 ).

или, используя формулу (11) запишем: . Объем куба V = l 3 . Такой же объем занимает газ. Поэтому: (12)

Формула (12) есть основное уравнение молекулярно-кинетической теории идеального газа для давления. Сделанный вывод для сосуда в форме куба оказывается справедливым для сосуда любой формы.

Уравнение (12) можно записать иначе. Отношение (число молекул в единице объема или концентрация молекул). Умножим и разделим правую часть равенства (12) на 2. Тогда получим:

Величина - есть средняя кинетическая энергия поступательного движения одной газовой молекулы. Окончательно имеем: . (13)

Учитывая, что , получим: или . (14)

Таким образом, формулы (12), (13), (14) выражают основное уравнение молекулярно-кинетической теории идеального газа для давления.

5.Скорости газовых молекул

Формулу (12) можно записать в виде: , (15) где (масса газа).

Из выражения (15) вычислим среднюю квадратичную скорость движения молекул газа: . (16)

Зная, что (R-универсальная газовая постоянная;R=8,31 ), получим новые выражения для определения <c>. . (17)

Опытное определение скоростей движения молекул паров серебра впервые был проведен в 1920 г Штерном.

Рис. 5

Из стеклянного цилиндра Е выкачивался воздух (рис. 5). Внутри этого цилиндра помещался второй цилиндр Д, имеющий с ним общую ось О. Вдоль образующей цилиндра Д имелся прорез в виде узкой щели С. По оси протягивалась посеребренная платиновая проволока, по которой можно было пропускать ток. При этом проволока раскалялась и серебро с ее поверхности обращалось в пар. Молекулы паров серебра разлетались в различные стороны, часть их проходила через щель С цилиндра Д и на внутренней поверхности цилиндра Е получался налет серебра в виде узкой полоски. На рис. 5 положение полоски серебра отмечено буквой А.

Когда вся система приводилась в очень быстрое движение таким образом, что проволока являлась осью вращения, то полоска А на цилиндре Е получилась смещенной в сторону , т.е. например, не в точке А, а в точке В. Это происходило потому, что пока молекулы серебра пролетали путь СА, точка А цилиндра Е успевала повернуться на расстояние АВ и молекулы серебра попадали не в точку А, а в точку В.

Обозначим величину смещения серебряной полоски АВ = d; радиус цилиндра Е через R, радиус цилиндра Д через r, а число оборотов всей системы в секунду через n.

За один оборот системы точка А на поверхности цилиндра Е пройдет путь, равный длине окружности 2pR, а за 1 секунду она пройдет путь . Время t, в течение которого точка А переместилась на расстояние АВ = d, будет равно: . За время t молекулы паров серебра пролетали расстояние CA = R - r. Скорость их движения v может быть найдена, как пройденный путь, деленный на время: или, заменяя t, получим: .

Налет серебра на стенке цилиндра Д получался размытым, что подтверждало наличие различных скоростей движения молекул Из опыта можно было определить наиболее вероятную скорость vвер которая соответствовала наибольшей толщине налета серебра.

Наиболее вероятную скорость можно рассчитать по формуле, данной Максвеллом: . (18) По вычислениям Максвелла средняя арифметическая скорость движения молекул равна : . (19)

6.Энергия поступательного движения молекул газа

Кинетическая энергия, которой обладают n молекул газа при некоторой температуре Т вследствие своего поступательного движения равна: или Так как , то . (20)

Из основной формулы кинетической теории (12) следует, что . (21)

Разделив (20) на (21), получим: или . (22)

Заменим и запишем . (23)

Если газ взят в количестве одного моля , то: . (24)

Средняя кинетическая энергия поступательного движения одной газовой молекулы : Так как , то . (25)

При одной и той же температуре средняя энергия поступательного движения молекул любого газа одна и та же.

7.Уравнение состояния идеального газа - уравнение Менделеева-Клапейрона

Из основного уравнения молекулярно-кинетической теории (см. формулу (14)) следует закон Авогадро : в равных объемах разнородных газов при одинаковых условиях (одинаковой температуре и одинаковом давлении) содержится одинаковое число молекул :

(для одного газа),

(для другого газа).

Если V1 = V2 ; Т1 = Т2 ; r1 = r2 , то n01 = n02 .

Напомним, что единицей количества вещества в системе СИ является моль (грамммолекула) масса m одного моля вещества называется молярной массой этого вещества. Число молекул, содержащихся в одном моле разных веществ одинаково и называется число Авогадро (NA = 6,021023 1/моль).

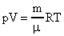
Запишем уравнение состояния идеального газа для одного моля : , где Vm - объем одного моля газа; , где Vm - объем одного моля газа; (универсальная газовая постоянная).

Окончательно имеем: (26).

Уравнение (26) называется уравнением Клапейрона (для одного моля газа). При нормальных условиях (р = 1,013105 Па и Т = 273,150 К) молярный объем любого газа Vm = 22,410-3 . Из формулы (26) определим

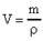
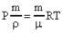
; . От уравнения (26) для моля газа можно перейти к уравнению Менделеева-Клапейрона для любой массы газа m. Отношение дает число молей газа. Левую и правую части неравенства (26) умножим на . Имеем , где объем газа). Окончательно запишем: 27). Уравнение (27) - уравнение Менделеева-Клапейрона. В это уравнение можно внести плотность газа и . В формуле (27) заменим V и получим или (28).

8.Опытные газовые законы. Давление смеси идеальных газов (закон Дальтона)

Опытным путем, задолго до появления молекулярно-кинетической теории, был открыт целый ряд законов, описывающих равновесные изопроцессы в идеальном газе. Изопроцесс - это равновесный процесс, при котором один из параметров состояния не изменяется (постоянен). Различают изотермический (T = const), изобарический (p = const), изохорический (V = const) изопроцессы. Изотермический процесс описывается законом Бойля-Мариотта: "если в ходе процесса масса и температура идеального газа не изменяются, то произведение давления газа на его объем есть величина постоянная PV = const(29). Графическое изображение уравнения состояния называют диаграммой состояния . В случае изопроцессов диаграммы состояния изображаются двумерными (плоскими) кривыми и называются соответственно изотермами, изобарами и изохорами.

Изотермы, соответствующие двум разным температурам, приведены на рис. 6.

Рис. 6

Изобарический процесс описывается законом Гей-Люссака: "если в ходе процесса давление и масса идеального газа не изменяются, то отношение объема газа к его абсолютной температуре есть величина постоянная: (30).

Изобары, соответствующие двум разным давлениям, приведены на рис.7.

Рис. 7

Уравнение изобарического процесса можно записать иначе: 31), где V0 - объем газа при 00 С; Vt - объем газа при t0 C; t - температура газа в градусах Цельсия; a - коэффициент объемного расширения. Из формулы (31) следует, что . Опыты французского физика Гей-Люссака (1802 г) показали, что коэффициенты объемного расширения всех видов газов одинаковы и , т.е. при нагревании на 10 С газ увеличивает свой объем на часть того объема, который он занимал при 00 С. На рис. 8 изображен график зависимости объема газа Vt от температуры t0 C.

Рис. 8

Изохорический процесс описывается законом Шарля: "если в ходе процесса объем и масса идеального газа не изменяются, то отношение давления газа к его абсолютной температуре есть величина постоянная: (32)

Изохоры, соответствующие двум разным объемам, приведены на рис. 9.

Рис. 9

Уравнение изохорического процесса можно записать иначе: (33), где - давление газа при

С; - давление газа при t; t - температура газа в градусах Цельсия; - температурный коэффициент давления. Из формулы (33) следует, что . Для всех газов и . Если газ нагреть на С (при V=const), то давление газа возрастет на часть того давления, которое он имел при

С.

На рис.10 изображен график зависимости давления газа от температуры t.

Рис. 10

Если продолжить прямую AB до пересечения ее с осью x ( точка ), то значение абциссы этой определиться из формулы (33), если приравнять нулю.

; . Следовательно, при температуре давление газа должно было бы обратиться в нуль, однако, при подобном охлаждении газ не сохранит своего газообразного состояния, а обратиться в жидкость и даже в твердое тело. Температура носит название абсолютного нуля.

В случае механической смеси газов, не вступающих в химические реакции, давление смеси также определяется формулой , где (концентрация смеси равно сумме концентраций компонентов смеси всего n - компонент).

Закон Дальтона гласит: Давление смеси равно сумме парциальных давлений газов, образующих смесь. . Давления называется парциальными. Парциальное давление - это давление которое создавал бы данный газ, если бы он один занимал тот сосуд, в котором находится смесь (в том же количестве, в котором он содержится в смеси).

Оценить/Добавить комментарий
Имя
Оценка
Комментарии:
Если Вам нужна помощь с учебными работами, ну или будет нужна в будущем (курсовая, дипломная, отчет по практике, контрольная, РГР, решение задач, онлайн-помощь на экзамене или "любая другая" учебная работа...) - обращайтесь: https://clck.ru/P8YFs - (просто скопируйте этот адрес и вставьте в браузер) Сделаем все качественно и в самые короткие сроки + бесплатные доработки до самой сдачи/защиты! Предоставим все необходимые гарантии.
Инна03:09:41 23 июня 2020
Привет студентам) если возникают трудности с любой работой (от реферата и контрольных до диплома), можете обратиться на FAST-REFERAT.RU , я там обычно заказываю, все качественно и в срок) в любом случае попробуйте, за спрос денег не берут)
Olya22:31:26 24 августа 2019
.
.22:31:25 24 августа 2019
.
.22:31:25 24 августа 2019
.
.22:31:24 24 августа 2019

Смотреть все комментарии (24)
Работы, похожие на Реферат: Молекулярно кинетическая теория

Назад
Меню
Главная
Рефераты
Благодарности
Опрос
Станете ли вы заказывать работу за деньги, если не найдете ее в Интернете?

Да, в любом случае.
Да, но только в случае крайней необходимости.
Возможно, в зависимости от цены.
Нет, напишу его сам.
Нет, забью.



Результаты(286105)
Комментарии (4150)
Copyright © 2005-2021 HEKIMA.RU [email protected] реклама на сайте