ОБЩИЕ СВЕДЕНИЯ
Техника конструирования и применения датчиков, или, как ее можно кратко назвать, сенсорика, за последние годы развилась в самостоятельную ветвь измерительной техники. С ростом автоматизации к датчикам физических параметров стали предъявляться все более высокие требования. При этом особое значение придается следующим показателям:
миниатюрность (возможность встраивания)
дешевизна (серийное производство)
механическая прочность
По структурному построению автоматизированные устройства напоминают такие биологические системы, как, например, человек. Органам чувств человека соответствуют в автоматах (или роботах) датчики, а функции активных органов выполняются исполнительными устройствами. Аналогом мозга как центрального устройства для обработки сигналов служит ЭВМ с ее системой памяти.
Датчик... Что это такое?
Понятием "датчик" в общем случае обозначают дешевый, но надежный приемник и преобразователь измеряемой величины, обладающий умеренной точностью и пригодный для серийного изготовления. Общеупотребительные термины и определения для различных датчиков четко сформулированы в Инструкции 2600 Общества немецких инженеров и Общества немецкихэлектриков ФРГ(VDI/VDE-Richtline2600).
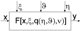
Измерительный прибор осуществляет преобразование входного сигнала x(t) в выходной сигнал y(t):
y(t) = F[x(t)], (1)
где x(t) и y(t) - векторные величины; F(x) - требуемая функция преобразования. На выражение (1) можно смотреть на информационную модель прибора, в которой осуществляется преобразование входной информации в выходную.
В более общей формулировке прибор осуществляет операцию отображения множества сигналов на входе xÎX в множество сигналов на выходе yÎY, при этом указанное отображение должно быть однозначным.
В реальных приборах функция преобразования зависит не только от сигнала x(t), но также от возмущения x(t) на сигнал x(t), от помехи J(t), действующей на параметры прибора q(t), от несовершенства технологий изготовления прибора h(t) и от помехи n(t), возникающих в самом приборе (трения, паразитных ЭДС и др.), т. е.
y(t) = F[x,x,q(h,J),n)], (2)
где x,q,h,J,n - векторы.
На рис 1 приведена функциональная схема, отображающая зависимость (2).
Измеряемыми величинами, на основе которых формирует полезный сигнал х(t), являются параметры первичной информации, такие, как давление, температура, количество ирасход жидкостей, линейные н угловые размеры, расстояния, скорости, ускорения, деформации, напряжения, вибрации, внутренние трещины, несплошности в материалах и др. К числу вредных возмущений от- носятся перегрузки, вибрации, электрические и магнитные поля, не- контролируемые вариации температуры, давления, влажности окружающей среды и т. д. Все эти возмущения вносят погрешности в показания приборов.

Рис 1. Функциональная схема прибора.
Прибор должен воспроизводить измеряемые величины с допускаемыми погрешностями. При этом слово "воспроизведение", эквивалентное в данной трактовке слову "отображение", понимается в самом широком смысле: получение на выходе прибора величин, пропорциональных входным величинам; формирование заданных функций от входных величин (квадратичная и логарифмическая шкалы и др.); получение производных и интегралов от входных величин; формирование на выходе слуховых или зрительныхобразов, отображающих свойства входной информации; формирование управляющих сигналов, используемых для управления контроля; запоминание и регистрация выходных сигналов.
Измерительный сигнал, получаемый от контролируемого объекта, передается в измерительный прибор в виде импульса какого- либо вида энергии. Можно говорить о сигналах: первичных - непосредственно характеризующих контролируемый процесс; воспринимаемых чувствительным элементом прибора; подаваемых в мерительную схему, ит.д. При передаче информации от контролируемого объекта к указателю прибора сигналы претерпевают ряд изменений по уровню испектру и преобразуются из одного вида энергии в другой.
Необходимость такого преобразования вызывается тем, что первичные сигналы не всегда удобны для передачи, переработки, дальнейшего преобразования и воспроизведения. Например, при измерении температуры прибором, чувствительный элемент которого помещается в контролируемую среду, воспринимаемый поток тепла трудно передать, а тем более воспроизвести на указателе прибора. Этой особенностью обладают почти все сигналы первичной информации. Поэтому воспринимаемые чувствительными элементами сигналы почти всегда преобразуются в электрические сигналы, являющиеся универсальными.
Та часть прибора, в которой первичный сигнал преобразуется, например, в электрический, называется первичным преобразователем. Часто этот преобразователь совмещается с чувствительным элементом. Сигналы с выхода первичного преобразователя поступают на следующие преобразователи измерительного прибора.

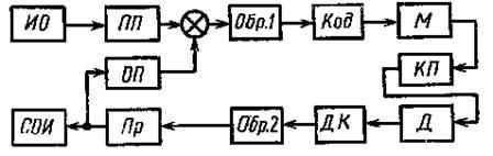
Рис. 2 Функциональная схема прибора
На рис. 2 дана функциональная схема прибора, на которой указаны: исследуемый объект ИО;первичный преобразователь П1;устройство сравнения УС; устройство обработки сигналов Об. 1, в котором производится селекция, усиление, коррекция погрешностей, фильтрация и др.; кодирующее устройство Код; модулятор М; канал передачи КП; устройство детектирования Д; устройство декодирования ДК; устройство обработки информации Oбр. 2, обеспечивающее функциональное преобразование, коррекции погрешностей, формирование функции преобразования (1) и др.; преобразователь Пр, выдающий информацию на систему отображения СОИ и на обратный преобразователь 0П, с которого поступают сигналы на устройство сравнения. Эта схема является обобщенной и включает ряд элементов, которые в более простых приборах могут отсутствовать.
ЁМКОСТНЫЕ ПРЕОБРАЗОВАТЕЛИ
Устройства, содержащие не менее двух поверхностей, между которыми действует электрическое поле, называются электростатическими (ЭС) преобразователями. Электрическое поле создается извне приложенным напряжением или возникает при действии на вход преобразователя измерительного сигнала.
Преобразователи, в которых электрическое поле создается приложенным напряжением, составляют группу емкостных преобразователей. Основным элементом в этих преобразователях является конденсатор переменной емкости, изменяемой входным измерительным сигналом.

Рис. 3 Электростатический преобразователь
В дальнейшем под емкостным будем понимать преобразователь, в котором используется конденсатор с двумя или несколькими электродами (рис. 3). Для случая конденсатора с плоскими электродами площадью s, размещенными друг от друга на расстоянии d в среде с диэлектрической проницаемостью e, ёмкость будет
C = es/d (3)
Рассматриваемый преобразователь на электрической стороне характеризуется приложенным напряжением и, зарядом q=CU, током I=dq/dt и энергией WЭЛ=CU2/2. На неэлектрической стороне преобразователь характеризуется изменением параметров, входящих в выражение для емкости, т. е. Dd, Ds,De, и силой fЭЛ=dWЭЛ/dx, где под х следует понимать любую из величин Dd, Ds,De.
Емкостный преобразователь обратим: при приложении на электрической стороне напряжения U, на неэлектрической стороне возникает сила fЭЛ, которая используется в приборах уравновешивающего преобразования как результат действия обратного преобразования, в ЭС вольтметрах и в приборах с бесконтактным подвесом. В этом последнем случае элемент массы m может быть подвешен в электростатическом поле, если удовлетворяется условие fЭЛ³gm, где g - ускорение силы тяжести.
К емкостным преобразователям близки по своим характеристикам полупроводниковые диоды, в которых используется зависимость так называемой барьерной емкости от обратного напряжения. Такие преобразователи применяются в качестве элементов с электрически управляемой емкостью и называются варикапами.
Другая группа ЭС преобразователей основана на использовании сегнетоэлектриков, т. е. кристаллических диэлектриков, которые при определенных температурных условиях (при температуре ниже точки Кюри) обладают самопроизвольной поляризацией при отсутствии внешних электрических полей.
Состояние кристаллических диэлектриков характеризуется электрической индукцией D (или зарядом q), деформацией c и энтропией Э. Эти величины зависят от напряженности электрического поля Е (или напряжения U), механического напряженияs (или силы F) и температуры Т. На рис. 4 схематически показаны связи между указанными величинами.
 
Рис. 4 Схема связей между параметрами диэлектрика
Жирными стрелками показаны связи Е®D, s®c, T®Э, а тонкими стрелками изображены физические эффекты,свойственные сегнетоэлектрикам:
прямой пьезоэлектрический эффект s®D (или q), проявляющийся в изменении поляризации кристалла действием механических напряжений;
обратный пьезоэлектрический эффект Е (или U)®c, характеризующийся деформацией кристалла под днем электрического поля;
пироэлектрический эффект T®D (или q), сводящийся к изменению заряда на поверхности кристалла при изменении температуры;
пьезокалорический эффект s®Э, проявляющийся в изменении энтропии при изменении механических напряжений.
Помимо указанных эффектов при изменении Е, s, Т в кристаллах возникают побочные явления, например, изменяются диэлектрическая проницаемость, проводимость, оптические свойства и т.д.
Из указанных эффектов рассмотрим прямой и обратный пьезоэффекты, а также эффект изменения емкостной проводимости при изменении напряжения U. Преобразователи, в которых используются прямой или обратный пьезоэффекты, называются пьезоэлектрическими преобразователями.
Использование эффекта изменения емкостной проводимости в кристаллических полупроводниках обусловлено нелинейной зависимостью заряда q от приложенного напряжения U. Если зависимость q(U) линейна, то в выражении Dq=(¶q/¶U) величина C=¶q/¶Uпостоянна и представляет собой емкость. В случае нелинейной зависимости q(U) величина C=¶q/¶Uтакже является емкостью, но не постоянной, а зависящей от напряжения U, т. е. C(U). Преобразователи, основанные на использовании нелинейной зависимости емкости от напряжения в сегнетоэлектриках, называются варикондами.
Емкостные датчики можно разделить на две основные группы - датчики параметрические (недифференциальные) и датчики дифференциальные.
В схемах с параметрическими датчиками происходит преобразование входной неэлектрической величины (угла поворота оси ротора датчика) в электрическую выходную величину (частоту, ток, напряжение), функционально зависящую от входной величины.
Всхемах с дифференциальными датчиками, включенными в следящие системы, с датчика снимается лишь сигнал рассогласования, который становится равным нулю в установившемся состоянии следящей системы.
Примером параметрического емкостного датчика может служить переменная емкость, включенная в контур лампового генератора (рис. 5) .Здесь при изменении угла поворота оси ротора изменяется емкость датчика и меняется частота генератора, являющаяся выходной величиной.

Рис. 5 Емкостной датчик, включенный в контур с генератором

Рис 6. Емкостной датчик, включенный в цепь переменного тока
На рис. 6 приведен другой пример использования параметрического датчика. В этом случае с изменением значения емкости С меняется ток через нее, а следовательно, и напряжение на выходе системы, падающее на сопротивлении нагрузки Rн, которое и является выходной величиной.
Подобные системы являются разомкнутыми системами регулирования. Основным недостатком этих схем является зависимость значения выходной величины от параметров источника питания датчика, усилителя и других элементов схемы, а также от внешних условий. В самом Деле, стоит измениться напряжению или частоте генератора, питающего датчик (рис. 6), как напряжение, частота и фаза, являющиеся выходными величинами и снимаемые с сопротивления R , также изменятся.
От этих недостатков свободны схемы с дифференциальными емкостными датчиками, включенными в замкнутую систему автоматического регулирования. В этих схемах выходной величиной является угол поворота оси отрабатывающего двигателя или другой оси, связанной с нею через редуктор. Одной из основных характеристик такой системы является чувствительность, показывающая, при каком минимальном отклонении чувствительного элемента система отработки приходит в действие. Внешние факторы - напряжение питания, температура окружающей среды и т. п. - влияют лишь на чувствительность системы; на точность системы они могут влиять лишь в той мерь, в какой она связана с чувствительностью.
Это значит, что схемы с емкостными дифференциальными датчиками, так же как и любые мостовые нулевые схемы с линейными относительно частоты и напряжения сопротивлениями в плечах, предъявляют значительно меньшиетребования к стабильности источника питания.

Рис. 7 Мостовая схема с емкостным дифференциальным датчиком
В простейшем случае дифференциальный емкостный датчик представляет собой две последовательно включенные емкости, построенные конструктивно таким образом, что приувеличении одной из них другая уменьшается. Эти две емкости могутбыть включены в мостовую схему(рис. 7), где два других плеча - реостатные. Если при этом напряжение, снимаемое с диагонали моста, использовать в качестве сигнала для следящей системы, перемещающей щетку потенциометра R в сторону уменьшения рассогласования, то всегда в установившемся состоянии следящей системы это напряжение u=0вэтом случае справедливо соотношение
(4)
Отсюда следует, что в схемах с дифференциальными емкостными датчиками с воздушным диэлектриком показания отрабатывающего органа (например, положение стрелки Указателя) не зависят ни от состава газа, ни от наличия в нем влаги (не выпадающей в виде капель), так как для обеих емкостей, составляющих дифференциальный датчик, меняется одинаково.
В емкостных преобразователях емкость С может меняться или за счет изменения параметров конденсатора Dd, Ds,De.При этом выполняются функции преобразования неэлектрических величин в изменение емкости или производится модуляция емкости, что имеет место в емкостных модуляторах, ЭС генераторах и др.
При работе преобразователя последовательно с его емкостью С включается сопротивление R(см. рис. 3), специально предусмотренное или представляющее собой сопротивление подводящих проводов. В зависимости от соотношения сопротивлений R и 1/jWC преобразователь будет работать в разных режимах. Если R >> 1/WCили RWC >>1, то U Ur и заряд конденсатора q CU = const, т. е. преобразователь работает в режиме заданного заряда. В этом случае Uс=q/C=C0U/(C0+DCsinWt) U[l-(DC/C0)sinWt] и выходным параметром преобразователя является переменная составляющая напряжения Uс. Этот режим реализуется, в частности, на высоких частотах. Если R <<1/WCили RWC <<1, то падение напряжения будет и Uс=U=const, т. е. преобразователь работает в режиме заданного напряжения. Для такого режима q=U(C0+DCsinWt);I=dq/dt=UDCWcosWt и выходной величиной является ток. Такой режим имеет место на малых частотах.
При питании емкостных преобразователей переменным напряжением U=Umsinw
t между несущей частотой w
и наибольшей частотой Wизмеряемого сигнала должно сохраняться определенное соотношение. Если изменение емкости преобразователя, обусловленное измерительным сигналом, меняется по закону C= C0+DCsinWt, то I=d(CU)/dt +UdC/dt или
I=w
C U [cosw
t+DC/C )cosw
tsin t+......+( / )(DC/C )sinw
tcos t].............(5)
В этом выражении первый член в скобках характеризует несущее колебание, второй член пропорционален полезному измерительному сигналу, а третий член является помехой. Для сведения помехи к допускаемому значению необходимо удовлетворить условию /w
<< l.
Поскольку емкости преобразователей малы и редко превышают 50-100 пФ, то необходимо учитывать сопротивление утечки изоляции Rуг, паразитную емкость Сп между электродами и заземленными элементами, а также сопротивление Д и индуктивность L проводящих кабелей. На Рис.8 дана эквивалентная схема емкостного преобразователя. Необходимость учета всех указанных факторов возникает на достаточно высоких частотах (обычно свыше 10 МГц). Применяемые в емкостных преобразователях диэлектрики неидеальны, и им свойственныпотери. При идеальныхдиэлектриках сдвиг фазмежду током и напряжением равен П
/2, а если имеются потери, то этот сдвиг уменьшается на угол d, называемый угломпотерь. Обычно вместо угла рассматривается tgd, который для эквивалентной схемы на Рис.8,б равен tgd= 1/wC R .
Величина, обратная tgd, называется добротностью Q емкостного преобразователя
Q= C R (6)

Рис.8 Эквивалентные схемы преобразователя
Угол потерь (tgd) для разных диэлектриков различен. Вместе с тем эта величина зависит от температуры, частоты, напряжения на конденсаторе и влажности. Очевидно, что на принципе измерения угла потерь можно строить различные приборы, например, влагомеры. Если менять частоту питающего напряжения на конденсаторе преобразователя, то можно создать прибор для определения дисперсии диэлектрических жидкостей, газов и твердых тел.
В качестве измерительных цепей в емкостных преобразователях применяются делители напряжения, мостовые схемы, колебательные контуры и автогенераторы. Поскольку сигналы, снимаемые с емкостных преобразователей, малы, то измерительные цепи содержат усилители, а соединительные пропала должны быть экранированы.

Рис. 9 Резонансные измерительные системы

На Рис. 9 приведены измерительные цепи в виде параллельного (а) и последовательного (б) колебательных контуров, питаемых стабильным по амплитуде и частоте напряжением U , снимаемым с генератора Г. При изменении емкости C=C + C напряжение (Рис. 9, а) или ток (Рис. 9, б) в цепи резонансного контура будут меняться, достигая максимума при резонансе =l/ . На склонах, резонансной кривой (Рис. 9, в) мелено выбрать участок, близкий к линейному, в середине которого выбирается рабочая точка М, соответствующая среднему значению емкости C преобразователя. При изменении емкости на напряжение на выходе будет меняться на .
Емкостным преобразователь может быть элементом в схеме триггера. На Рис. 10 приведена схема мультивибратора, на выходе которого генерируется непрерывная последовательность импульсов.

Рис. 10 Схема триггера
Припроектировании емкостных преобразователей следует обращать внимание на экранирование проводов, выбор изоляции электролиз, устранение поверстного сопротивления изоляции и выбор частоты питания. Чем выше эта частота, тем меньше выходное сопротивление, поэтому нередко частоту питания выбирают большой (до нескольких МГц).
ОБЛАСТЬ ПРИМЕНЕНИЯ
Конструктивныесхемы емкостных преобразователей выполняются различных вариантах в зависимости от области применения (Рис. 11) При измерении уровней жидких и сыпучих тел находят применение цилиндрические или плоские конденсаторы (см. Рис. 11,а), емкость которых характеризуется уровнем х и зависит от диэлектрических проницаемостей жидкости , изоляции и воздуха .


Рис. 11 Схемы устройства емкостных преобразователей
Для измерения толщины х ленты 3 из диэлектрика с (см. Рис. 11, б) ее протягивают между электродами 1 и 2, расстояние межу которыми . Емкость конденсатора будет C=s/[( -x)/ +x/ , где -диэлектрическая проницаемость воздуха.
Для измерения малых перемещений (до единиц микрометров), а также точного измерения быстроменяющихся сил и давлений применяются дифференциальные емкостные преобразователи с переменным зазором (Рис. 11,в). Средний электрод конденсатора укреплен на упругом элементе (мембране, упругой пластинке, растяжках) между неподвижными электродами 1 и 2.
Рассматриваемая схема может быть использована в приборах уравновешивания. Для этого усиленный сигнал с конденсатора после фазочувствительного детектирования может быть подан на обкладки 1 и 2, вследствие чего на средний электрод будет действовать электростатическая сила, уравновешивающая измеряемую силу. На Рис. 11, г и д показаны схемы устройства емкостных преобразователей с переменной площадью. В схеме на Рис. 11, г диэлектрик 1 перемещается по стрелке, а в схеме на Рис. 11, д один из электродов 2 жестко связан с валом и совершает угловые перемещения относительно неподвижного электрода 1.
Возможные области применения датчиков (в том числе и емкостных) чрезвычайно разнообразны, можно выделить лишь отдельные сферы:
промышленная техника измерения и регулирования,
робототехника,
автомобилестроение,
бытовая техника,
медицинская техника.
Применимость того или иного датчика в этих сферах определяется прежде всего отношением цена/эффективность. При промышленном применении определяющим фактором является погрешность, которая при регулировании процессов должна составлять 1...2%, а для задач контроля - 2...3%. В этих случаях цены датчиков превышают 100 немецких марок ФРГ. Для специальных применений в области робототехники и медицинской техники цены датчиков могут достигать даже уровня 10...100 тыс. немецких марок ФРГ. Благодаря внедрению новых технологий изготовления (высоковакуумное напыление, распыление, химическое осаждение из газовой фазы, фотолитография и т. д.) и новых материалов непрерывно расширяются сферы применения датчиков, недоступные ранее из-за их высокой цены.
ЗАКЛЮЧЕНИЕ
До недавнего времени конструкторы относились с предубеждением к емкостным датчикам, полагая, что схемы с емкостными датчиками не обеспечивают ни достаточной точности, ни стабильности работы приборов. Считалось обязательным для получения устойчивого сигнала на выходе емкостного датчика питать его напряжением высокой частоты, достигающей сотен килогерц, а иногда даже десятков мегагерц. Наличие такой высокой частоты в свою очередь приводило к потерям в паразитных емкостях, соединительных проводах и т. п. Для того чтобы повысить амплитуду сигнала, снимаемого с емкостного датчика, и улучшить стабильность показаний, некоторые авторы разработок применяли в первом каскаде усилителя электрометрические лампы, допускающие включение сотен мегом в цепь управляющей сетки и т. д., однако все эти меры мало улучшали стабильность систем с емкостными датчиками и в то же время значительно усложняли конструкцию приборов.
Проведенные в настоящее время работы показали, что причина нестабильности работы систем с емкостными датчиками лежит в неправильном подходе конструкторов кпроектированию датчиков, в частности, в неправильном расположении изолирующих элементов конструкции, нестабильность свойств которых и приводит к ошибкам в работе систем. Эти трудности оказались преодолимыми, и уже созданы приборы с емкостными датчиками, обеспепечивающие высокие точности истабильность работы, выдерживающие тяжелые режимы эксплуатации.
В настоящее время установлено, что емкостные датчики обладают целым рядом преимуществ по сравнению с другими датчиками. К их достоинствам относятся:
потребность весьма малых усилий для перемещения подвижной части (ротора) емкостного датчика;
малое потребление энергии;
простота изготовления;
использование дешевых материалов;
отсутствие контактов (в некоторых отдельных случаях - один токосъем с помощью кольца и щетки);
высокая точность и стабильность работы смстем, с емкостными датчиками;
возможность широкой регулировки приборов с некоторыми типами емкостных датчиков.
Кнедостаткам емкостных датчиков следует отнести высокое внутреннее сопротивление, достигающее десятков и даже сотен мегом, высокие требования к сопротивлению крепежных изолирующих деталей и необходимость работы на повышенной (по сравнению с 50 гц) частоте. Однако в большинстве случаев крепления емкостных датчиков могут быть выполнены и из обычных материалов, а практика показывает, что емкостные датчики дают хорошие результаты на широко распространенной частоте 400 гц.
Ценные качества емкостных датчиков - малая величина механического усилия, необходимого для перемещения его ротора, возможность регулировки выхода следящей системы и высокая точность работы - делают емкостные датчики незаменимыми в приборах, в которых допускаются погрешности лишь в сотые и даже тысячные доли процента, а поэтому необходимо емкостные датчики развивать и осваивать.
|