Оглавление
Введение. 1
ГЛАВА 1. Имидж как характеристика организации. 3
1.1. Понятие имидж: содержание, классификация, функции. 3
1.2. Понятие имиджа организации. 8
1.3. Механизмы формирования имиджа организации. 13
ГЛАВА 2. Исследование имиджа организации. 19
2.1. Влияние имиджа на эффективность развития организации. 19
2.2. Оценка имиджа предприятия. 22
2.3. Оценка имиджа ОАО Газпром. 29
ГЛАВА 3. Направления развития имиджа организации. 36
3.1. Основные проблемы имиджа. 36
3.2. Пути развития имиджа. 38
Заключение. 40
Список литературы.. 42
Образ предприятия, его имидж — это восприятие индивидуальности данного предприятия, осознание его специфических черт, особенностей. Также, как люди выражают свою индивидуальность через одежду, работу, автомобили, так и предприятия выражают свою индивидуальность через предлагаемые товары и услуги, отношение к своим работниками, через свое название и фирменные знаки, качество обслуживания.
Современному предприятию в условиях жесткой конкуренции помимо таких факторов, как увеличение объемов производства и улучшение качества трудовых ресурсов, необходим такой фактор развития организации как имидж.
На современном этапе изучение имиджа организации является необходимым и важным. Такая актуальность может быть объяснена недостаточным уровнем знаний и малым количеством исследований в данной области.
Наличие и развитие имиджа является одним из факторов успешности в сложившейся нестабильной ситуации в экономике на сегодняшний день, а также необходимым условием повышения конкурентоспособности организации.
Объектом нашего исследования является имидж организации, предметом - структура и механизм формирования имиджа, его виды, функции и пути развития.
Целью данной курсовой работы является изучение имиджа и оценка уровня его влияния на развитие организации.
Для достижения цели необходимо выполнить следующие задачи:
1. Изучить содержание понятия «имидж».
2. Рассмотреть признаки и классификации имиджа.
3. Определить влияние имиджа на эффективность развития организации.
4. Провести оценку имиджа.
5. Выявить проблемы имиджа организации.
6. Предложить направления развития имиджа организации.
В качестве методов исследования использовались диалектический, анализ и синтез, индукция и дедукция, исторический метод, анализ и изучение научно-методической литературы, работа с периодическими изданиями сравнение и сопоставление.
Структура данной курсовой работы состоит из введения, трех глав, заключения и списка используемой литературы.
В первой главе даются определение понятия «имидж», его структура, классификация, а также порядок формирования имиджа организации.
Во второй главе исследуется влияние имиджа на эффективность развития организации и рассматривается оценка имиджа на примере организации.
В третьей главе мы охарактеризовали основные проблемы имиджа организации и определили его возможные пути развития.
В настоящее время понятие "имидж" достаточно прочно вошло в деловой язык и часто используется в средствах массовой информации. Позитивный, эмоционально окрашенный образ того или иного объекта свидетельствует не только об общей культуре носителя, но и представляет существенную характеристику, которая служит основой конкурентоспособности, нацеленности на карьеру, важной предпосылкой успешной деятельности в выбранном направлении.
Чтобы более точно определить границы анализируемого понятия обратимся к определениям, даваемым ему в научной литературе. Предлагая подойти к трактовке имиджа с лингвистической точки зрения, А.Ю. Панасюк автор книги "Вам нужен имиджмейкер? Или о том, как создавать свой имидж" говорит, что при дословном переводе с английского слово "image" обозначает "образ". Причём под "образом" имеется в виду не только визуальный, зрительный образ объекта, но и образ его мышления, действий, поступков и т.д. Иначе говоря, в данном случае русское слово "образ" должно употребляться в широком смысле – как представление о чём-либо. [14, с.8] Категория образа используется и другими учёными при определении анализируемого понятия. А.П. Панфилова автор книги "Имидж делового человека" определяет имидж как целенаправленно формируемый образ, призванный оказать эмоционально-психологическое воздействие на кого-либо в целях популяризации, рекламы, формирования репутации. [15, с.53]. О.В. Лысикова автор книги "Имиджеология и паблик рилейшнз в социокультурной сфере" предлагает рассматривать имидж как определённый образ, который личность представляет окружающим, своего рода форма самопрезентации, при которой подчёркиваются сильные стороны и скрываются недостатки. [12, с.12] Е.Б. Перелыгина автор книги "Психология имиджа" определяет имидж как символический образ субъекта, создаваемый в процессе субъект-субъектного взаимодействия. [16, с.23].
Исходя из вышеприведённых определений, можно сделать вывод, что, говоря об имидже какого-либо объекта, мы имеем в виду неповторимый образ-представление о нём, наделяющий объект дополнительными ценностями и выделяющий его из ряда подобных.
На сегодняшний день "имидж" является основным понятием науки имиджеологии, в рамках которой данный феномен изучается с теоретической точки зрения, формирование же позитивного имиджа на практике является одним из основных направлений деятельности по связям с общественностью. PR-специалисты подходят к анализу имиджа прагматически, руководствуясь своими специальными задачами. Для них имидж – это объект, обладающий своей структурой, особенностями и закономерностями развития и существования. [10, с.295]
Говоря о структуре имиджа, Л.К. Аверченко и Г.М. Залесов авторы книги "Психология управления" в качестве наиболее важных слагаемых профессионально-личностного имиджа предлагают следующие:
· профессионализм и компетентность: успешное формирование позитивного имиджа невозможно без достижения необходимого уровня указанных характеристик. При этом следует отметить, что процесс совершенствования качества и увеличения количества знаний должен иметь непрерывный характер;
· нравственная надёжность: соблюдение этики деловых отношений, уверенность в нравственной надёжности делового партнёра чрезвычайно важны в социокультурной сфере. Особенно высокие требования к нравственной культуре специалистов возникают при выходе на мировой рынок товаров и услуг;
· гуманитарная образованность: для качественного выполнения своей работы специалисту необходимы не только профессиональные знания и навыки, но и широкие познания в области мировой культуры, освоение общечеловеческих ценностей, таких, как духовность, здоровье, экологическая безопасность и т.д.
· коммуникативная привлекательность: основными факторами, способствующими коммуникативной привлекательности специалиста, являются конструктивная поведенческая стратегия, эффективная поведенческая техника и обоснованная поведенческая тактика. Правильно выбранный стиль поведения как руководителя, так и специалиста – значимый шаг на пути формирования их позитивного образа;
· использование психологических техник: знание закономерностей функционирования человеческой психики, а также законов психологии играет довольно важную роль при управленческом общении для достижения своих целей. [1, с.16]
В настоящее время существуют несколько вариантов типологии имиджа. Как сложное системное образование он представляет собой комплекс частных имиджей и имеет несколько критериев классификации. В.Е. Ланкин автор книги "Маркетинг" предлагает следующие из них:
1) по субъекту:
· личный: имидж конкретного человека;
· товарный: имидж товара, услуги;
· групповой: организационный, корпоративный, национальный имидж;
2) по степени рациональности восприятия:
· когнитивный, дающий "сухую" специальную информацию и ориентированный, главным образом, на людей сведущих, узких специалистов;
· эмоциональный, чувственный, ориентированный на широкую аудиторию и призванный вызвать сильный эмоциональный отклик;
3) по соотношению индивидуальных особенностей и социальных требований:
· конъюктурный: подчиняющийся требованиям окружающей среды и ожиданиям имиджевой аудитории;
· органичный: ориентированный на самоощущение и самовыражение;
· сбалансированный: сочетающий обе ориентации. [11, с.114]
Ф. Джефкинс и Д. Ядин авторы книги "Паблик рилейшнз" классифицируют имидж следующим образом:
· зеркальный: содержит собственное представление о человеке или организации;
· текущий: имидж человека или организации, воспринимаемый аудиторией в данный момент времени;
· желаемый: идеальный имидж, к которому стремится человек или организация;
· корпоративный: имидж организации в целом;
· многообразный: имидж, образованный при наличии ряда независимых структур вместо единой корпорации. [7, с.33-35]
Как следует из приведённых выше определений, существует довольно большое количество оснований для классификации имиджа, что позволяет сделать вывод о многоуровневости и структурной сложности анализируемого понятия.
Изучение структурных особенностей имиджа позволяет анализировать взаимосвязь профессионально-личностного и корпоративного имиджей, а также технологии, используемые в процессе их формирования и функций выполняемых ими. Функции же имиджа в свою очередь проявляют его предназначение для конкретной сферы деятельности. Довольно полно основные из них описывает О.В. Лысикова:
· профессиональная функция: позволяет человеку реализоваться в конкретной области современного производства, бизнеса, культуры, политики, образования;
· адаптационная функция: необходима для комфортного приспособления к определённой среде, группе, беседе;
· функция личностной реализации: позволяет максимально раскрыть индивидуальные способности и задатки применительно к конкретной сфере деятельности;
· аксиологическая: ориентирует специалиста на индивидуальные и профессиональные ценности, являющиеся ориентиром в субъективном и объективном мире;
· эвристическая функция: сосредоточивает внимание специалиста на реализации своего творческого потенциала в профессиональном успехе, научном открытии, создании уникального произведения;
· психотерапевтическая: функция заключается в осознании своей значимости, психологической устойчивости, уверенности, оптимизме;
· коммуникативная функция: позволяет специалисту позитивно организовать и осуществлять общение на всех уровнях, получать от него максимум информации, а также воздействовать на собеседника или аудиторию в нужном для себя направлении.
Функции имиджа свидетельствуют о его значении в гармонизации внутреннего мира человека и формировании адаптационной способности к позитивным и негативным изменениям окружающей среды. [12, с.22]
Подводя итог вышесказанному, следует отметить, что имидж – это характеристика, присущая человеку, группе людей, а также товару или услуге, представляющая собой образ того или иного объекта, воспринимаемый аудиторией. Имидж обладает сложной многоуровневой структурой, которая определяется его носителем и обусловливает множество подходов к его трактовке. Являясь на сегодняшний день одной из ключевых характеристик организации, имидж выполняет ряд важнейших функций как в коммуникационном процессе, так и в процессах социализации и личностного развития.
В последнее время в связи с развитием рыночных отношений, инновационными процессами в экономике, науке, образовании, культуре особый интерес вызывает специфика содержания и формирования имиджа организации. Рост внимания к проблеме формирования имиджа организации не случаен. Позитивный имидж становится необходимым условием достижения фирмой устойчивого и продолжительного делового успеха.
Имидж организации есть целостное восприятие (понимание и оценка) организации различными группами общественности, формирующееся на основе хранящейся в их памяти информации о различных сторонах деятельности организации. [17, с.33]. По мнению Е.Б. Перелыгиной, автора книги "Психология имиджа", источниками такой информации могут быть слухи об организации, циркулирующие в обществе; сообщения средств массовой информации, а так же личные контакты человека с организацией. [16, с. 202]
Таким образом, корпоративный имидж имеет две составляющие – образ и оценку, которые поддаются лишь условному концептуальному различию, в реальном существовании они неразрывно связаны:
· Описательная составляющая представляет собой образ конкретной организации или заведения;
· Оценочная составляющая существует в силу того, что любая информация об организации заключает в себе оценку, вызывает определённые эмоции, обладающие различной интенсивностью; оценка имиджа организации осуществляется окружающими людьми через призму собственного опыта, ценностные ориентации личности, общепринятые нормы, принципы, стандарты. Степень истинности оценок, составленных человеком на основании образов, прямо пропорциональна глубине его познаний в той области жизни, в той сфере, где они формируются. [11, с.44]
Довольно интересен ряд признаков корпоративного имиджа, которые реально складываются на практике:
Во-первых, имидж должен быть синтетическим, т.е. планироваться, чтобы производить определённое впечатление с помощью фирменного знака, торговой марки и сорта товара.
Во-вторых, образ корпорации должен быть правдоподобным, достоверным, чтобы вызвать доверие у людей, идентифицироваться с конкретным лицом или корпорацией.
В-третьих, он должен быть пассивным. Поскольку имидж в определённой мере отвечает реальности, то создающий его в определённой мере стремится скорее уподобиться имиджу, нежели сделать имидж своим подобием.
В-четвёртых, имидж должен быть ярким и конкретным, чтобы взывать к человеческим чувствам.
В-пятых, он должен быть простым и запоминающимся.
В-шестых, важным признаком имиджа является неопределённость, он должен обретаться где-то между чувствами и рассудком, ожиданиями и реальностью, чтобы устоять перед непредвиденными событиями, изменениями во вкусах. [10, с.306]
По мнению В.М. Шепель, автора книги "Имиджеология, как нравиться людям", структура имиджа корпорации может включать до восьми основных компонентов:
· Имидж товаров или услуг
отражает представления людей относительно уникальных характеристик, которыми, по их мнению, они обладают; при этом функциональная ценность товара или услуги является основной, дополнительная ценность обеспечивает товару или услуге отличительные свойства.
· Имидж потребителя
товаров или услуг включает представления о стиле жизни, общественном положении, статусе некоторых личностных, в частности психологических характеристиках клиентов. Большое значение играет способность сотрудников организации устанавливать обширные долговременные деловые контакты. Всех партнёров и постоянных клиентов желательно знать лично.
· Внутренний имидж организации
содержит представления сотрудников о своём учреждении, при этом основными его детерминантами являются культура организации и социально-психологический климат.
· Имидж лидера организации
или основных руководителей включает представления о способностях, установках, ценностных ориентациях, социально-психологических характеристиках, имидже руководителя.
· Имидж персонала
представляет собой собирательный, обобщенный образ всех сотрудников, раскрывающий наиболее характерные для него черты. Он формируется на основе прямого контакта с работниками организации.
· Визуальный имидж организации
заключает представления о ней общественности, которые возникают на основе зрительных ощущений, фиксирующих информацию об интерьере офиса, демонстрационных помещениях, фирменной символике.
· Социальный имидж организации
содержит представления широкой общественности о социальных целях, роли организации в экономической, социальной, культурной жизни города, региона, страны.
· Бизнес-имидж организации
заключает в себе представления об организации с точки зрения деловой активности. [7, с.25; 21, с. 91]
Схематично структура анализируемого понятия представлена в публикации М.В. Томиловой "Модель имиджа организации":
Рис.1. Структура имиджа организации Комбинируя элементы, указанные на рис.1., можно получить отклик индивида, представляющий оценку им полного впечатления об организации.[18, с.6] Е.Б. Перелыгина утверждает, что корпоративный имидж должен базироваться на единстве внутреннего и внешнего имиджей организации. Подобно тому, как индивидуальный имидж, ориентированный на восприятие, будет, при всех прочих равных условиях, тем эффективнее, чем прочнее он опирается на самоощущение индивида, образ организации у внешних респондентов является более устойчивым, если он находится в соответствии с образом этой же организации у её рядовых членов. [16, с. 207]
Подходя к анализируемому понятию с психологической точки зрения, Е.Б. Перелыгина говорит, что при создании и восприятии корпоративного имиджа его прообразу-организации приписываются такие свойства, какими она по своей природе не обладает, а именно свойства, характеризующие её как психологический субъект, в том числе мышление, способность испытывать и вызывать эмоции, характер, а также личностные свойства, присущие только человеку. Однако, в отличие от индивидуального имиджа, который может быть ориентирован как на самоощущение, так и на восприятие, имидж организации всегда ориентирован на восприятие. Цель его создания состоит в том, чтобы у субъектов, находящихся вне и внутри организации, сложился образ данной организации, способствующий достижению тех внешних целей и задач, которые ставит её руководство. [16, с.12]
Говоря о функциях имиджа организации, Е.В. Харитонова, автор статьи "Имидж организации – миссия выполнима", выделяет следующие:
· Позиционировать организацию на рынке
. Позиционирование организации предполагает соотнесение миссии организации с потребностями её потенциальных клиентов. То есть чем более чётко определены цели и задачи организации с точки зрения потребностей клиентов, тем проще транслировать необходимый образ организации вовне, тем самым, создавая имидж.
· Побуждать к действиям
. Выполнение данной функции подразумевает формирование у аудитории готовности действовать в определённом направлении, то есть установки. [19]
В дополнение к вышеуказанным О.В. Лысикова выделяет функцию корпоративного имиджа, заключающуюся в объединении сотрудников
, а также формировании у них командного духа. [12, с 44]
Обобщая вышесказанное, следует отметить, что имидж организации – это совокупное общественное восприятие организации многими людьми, впечатление о ней, сформировавшееся на основе личных контактов с организацией, слухов и сообщений средств массовой информации. В структуре анализируемого понятия выделяют 8 элементов, - имидж товаров или услуг, имидж потребителей, внутренний имидж организации, имидж лидера, имидж персонала, визуальный имидж, социальный имидж, бизнес-имидж – комбинируя которые можно воздействовать на аудиторию. К числу основных функций имиджа организации относятся позиционирование её на рынке, побуждение аудитории к действию, а также объединение сотрудников и формирование у них командного духа. Эффективно выполняя данные функции, имидж становится одним из ключевых факторов, обуславливающих успешное функционирование организации в современных условиях.
Как уже было сказано выше, имидж на сегодняшний день является важнейшей характеристикой организации, играя значимую роль в повышении её конкурентоспособности и привлечении к ней потребителей и партнёров. Имидж выступает как средство, инструмент для решения задач. Но главная его особенность в том, что он сам является объектом управления.
И.В. Алешина, автор статьи "Корпоративный имидж: стратегический аспект", говорит, что управление корпоративным имиджем как направление теории и практики появилось в США более полувека назад. К настоящему времени в этой сфере уже сложился понятийный аппарат. Далее приводятся его основные элементы:
· Видение - представление об окружающей действительности - настоящей или будущей. Формирование видения - одна из главных обязанностей руководителя организации. Для того чтобы вести корабль через рыночную стихию нестабильности и неопределенности в верном направлении, капитан обязан знать, где он плавает.[26]
· Корпоративная миссия - общественно-значимый статус, социально значимая роль организации. Миссию можно рассматривать как стратегический инструмент, идентифицирующий целевой рынок и широко определяющий бизнес, или основную деятельность предприятия.
· Корпоративная индивидуальность - ценности, суждения и нормы поведения, разделяемые в компании и определяющие сущность индивидуальной корпоративной культуры. Корпоративная индивидуальность - это то, что компания есть на самом деле, аналог личности, индивидуальности человека.
· Корпоративная идентичность - это то, что организация сообщает о себе, о своей индивидуальности. Все, что организация говорит, делает и создает, формирует ее идентичность.
· Корпоративный имидж - это восприятие организации группами общественности. Достижение благоприятного корпоративного имиджа и лояльности потребителей - основная цель управления корпоративной идентичностью.
В целом взаимосвязь вышеназванных понятий можно отразить следующим образом:

Рис.2. Механизм формирования имиджа
Таким образом, на рис.2 мы видим, что, исходя из представлений об окружающей действительности и основываясь на миссии организации, руководитель акцентирует отдельные черты корпоративной индивидуальности, тем самым создавая корпоративную идентичность. Корпоративная идентичность в свою очередь является основой корпоративного имиджа. Очень важное значение в данном процессе имеет обратная связь, обусловливающая соответствие имиджа организации её миссии. [2]
Касаясь темы формирования имиджа и управления им, известный теоретик и практик PR Г.Г. Почепцов предлагает четырёхтактную модель имиджевой кампании, отражающую разнообразные требования к ряду необходимых операций:
1) Определение требований аудитории. Каждая задача требует опоры на тот или иной сегмент аудитории, каждая из которых обладает своими представлениями, что такое хорошо и что плохо. Точкой отсчёта является именно этот момент, поскольку он задаёт эффективность любой кампании.
2) Определение сильных и слабых сторон объекта. Следует реально знать не только позитивные, но и негативные стороны объекта, поскольку именно туда будет направлен основной удар противника.
3) Конструирование образа и подведение характеристик объекта под требование аудитории. Здесь следует работать не столько над слабыми сторонами чтобы их прикрыть, сколько усиливать имеющиеся положительные моменты, поскольку именно такая стратегия наиболее эффективна.
4) Перевод требуемых характеристик объекта в вербальную, визуальную и событийную формы. Поскольку визуальные и событийные сообщения более достоверно оцениваются аудиторией, то отдельный весьма важный блок любой программы связан с переводом характеристик в "вещный" вариант выражения.
Г.Г. Почепцов отмечает, что основным этапом является конструирование образа и говорит, что при этом следует учитывать определённую инертность и консервативность массового сознания, которое не позволяет резких изменений и старается держаться раз и навсегда введённого типа образа. По этой причине исходный вариант образа является весьма важным. Соотношение этих вариантов образа можно условно представить в виде треугольника имиджа.
Образ созданный
Образ идеальный Образ реальный
Рис.3. Соотношение разных вариантов образа
На рис.3 каждая точка треугольника соответствует разным точкам сознания. Образ идеальный представляет собой точку зрения аудитории на идеал носителя имиджа. Образ реальный соответствует имеющимся у объекта характеристикам с его сильными и слабыми сторонами. Созданный образ относится к точке массового сознания после проведённой имиджевой кампании. [17, с.300]
И.В. Алёшина говорит, что имидж может быть несколько различным для различных групп общественности, поскольку желаемое поведение этих групп в отношении организации может различаться.

Рис.4. Варианты имиджа
На рис.4 представлены различные варианты имиджей, здесь имеет место синтез представлений об организации различных групп общественности, в результате которого создается более общее и емкое представление об организации. [2]
Резюмируя вышесказанное, следует отметить, что корпоративный имидж формируется на основе миссии организации, корпоративной индивидуальности и корпоративной идентичности, а сам процесс формирования имиджа организации включает в себя четыре этапа: определение требований целевой аудитории, выявление сильных и слабых сторон объекта, подведение характеристик объекта под требования аудитории и перевод требуемых характеристик объекта в вербальную, визуальную и событийную формы. К числу основных инструментов формирования имиджа организации относятся позиционирование, манипулирование, мифологизация, эмоционализация, формат, вербализация, детализация, дистанцирование и визуализация.
Таким образом, рассмотрев понятие «имидж», его структуру, функции, элементы, а также механизм его формирования, можно сделать вывод, что создание и развитие имиджа организации является одним из важнейших приоритетов в деятельности организации, стремящейся быть успешной в своей сфере и получать прибыль.
Развитие рыночных отношений и глобальных информационных коммуникаций обусловили резкий рост значимости работ по созданию имиджа организации. Наличие имиджа становится значимым не только для отдельных деятелей, но и для коммерческих организаций.
В самом общем виде цель имиджевых исследований заключается в оценке деятельности предприятия.
Анализируя имидж, мы выявляем отношение потребителей к предприятию и его товарам, что дает нам следующие возможности:
· определение сильных и слабых сторон марки товара и имиджа предприятия, что помогает достаточно уверенно идентифицировать возможности и угрозы;
· измерение отношения до и после формирования имиджа, что позволяет оценить эффективность стратегий;
· знание отношения помогает прогнозировать реакцию на предпринимаемые предприятием действия.
Сильный имидж предприятия и его товаров является подтверждением того, что предприятие обладает уникальными деловыми способностями (специальными навыками, умениями), позволяющими повышать предлагаемую ценность товаров и услуг.[4]
Создание сильного имиджа может дать следующий экономический эффект, который, по мнению Блинова А.О. и Захарова В.Я. часто недооценивается менеджерами российских предприятий [4]:
· потребители готовы заплатить за имидж высокую цену;
· он помогает расширить долю рынка, т.е. увеличить объем продаж, поскольку продукцию стремятся продавать розничные торговцы и с готовностью покупают потребители; у нее больше возможностей для дальнейшего роста;
· в силу лояльности потребителей он приносит стабильно более высокую прибыль, поскольку снижает риски, успешнее преодолевает неожиданно возникшие препятствия;
· обеспечивает более высокую норму возврата инвестиций, что принципиально важно для инвесторов;
· у фирмы высокие защитные барьеры и высокие возможности развития; как показывает опыт, понятие жизненного цикла здесь неприменимо;
· создает благожелательное отношение к предприятию всех заинтересованных групп: помогает найти новых работников, акционеров, обеспечить общественную и государственную поддержку. [8, с.12]
За последние 15 лет доля стоимости имиджа в общей стоимости запасов компаний возросла с 18 до 82%. Повышение репутации на 1% дает прирост рыночной стоимости акций фирмы на 3%. Такова сегодня общемировая тенденция.[5, с.3]
Становится понятным, почему сильный имидж предприятия и производимых им товаров является важнейшим стратегическим преимуществом предприятия.
Очевидно, что предприятие создает сильный имидж среди потребителей. Кроме этого каждое предприятие заинтересовано в поддержании хорошего имиджа среди следующих общественных групп:
· Финансисты. Полезно иметь репутацию крепкого в финансовом отношении, эффективно управляемого и кредитоспособного предприятия, если приходится брать ссуды в банках. Цены на акции предприятия будут зависеть от ожиданий и оценок финансовых аналитиков, брокеров, инвесторов, а следовательно, от этого будут зависеть прибыли и убытки. Лидерство на рынке — это результат не только деятельности предприятия, но и действий, направленных на поддержание финансовой репутации, создание наилучшего впечатления о предполагаемых успехах предприятия, его перспективах.
· Сотрудники предприятия. Сильный имидж предприятия улучшает моральный климат и усиливает мотивацию работников. Люди лучше работают на тех предприятиях, успех которых для них очевиден. На предприятиях с хорошей репутацией люди работают дольше, сюда легче привлечь новых работников.
· Представители предприятия. Те, кто осуществляет контакты с внешним миром от имени предприятия, получают возможность действовать более уверенно и эффективно, если это предприятие хорошо известно на рынке и отношение к нему со стороны партнеров доброжелательное.
· Депутаты. Необходимо убедить представителей власти в стремлении соблюдать законы, и в том, что не потребуется принимать более жесткие законы, ограничивающие деятельность предприятия.
· Региональные сообщества. Менеджерам предприятия будет легче действовать в новых регионах, если будет очевидно, что они учитывают интересы местных жителей.
· Другие группы лидеров общественного мнения. Мы имеем в виду профсоюзных лидеров, журналистов, «капитанов промышленности» и чиновников.[4]
Таким образом, на наш взгляд, имидж играет немаловажную роль в функционировании и развитии организации. Наличие этого фактора способствует повышению конкурентоспособности фирмы на рынке и улучшению отношения к ней потребителей, сотрудников предприятия, представителей власти и др.
Именно на этапе оценки имиджа каждое предприятие имеет большие потенциальные возможности влиять на свой образ через доступные ему каналы передачи информации.
Оценка имиджа предприятия может осуществляться через следующие методы:
1. Соответствие реального имиджа позитивному;
2. Опрос целевых групп об осведомленности, в том числе работников предприятия, его партнеров, потребителей, молодых специалистов;
3. Сравнение имиджей организаций.
Первый метод оценки согласно Шкардун В.Д. и Ахтямову Т.М. построен на предположении, что имидж необходимо приближать к позитивному, увеличивая тем самым «рыночную силу» предприятия. Таким образом, параметры, которые должны соответствовать позитивному имиджу и характеризовать состояние имиджа предприятия, представлены на рис. 6.
Для выявления состояния существующего имиджа предприятия предлагается оценить степень соответствия каждого параметра всех компонент (рис. 5) имиджа позитивному, выставив оценки:
«5» - если состояние данного параметра полностью соответствует позитивному имиджу;
«4» - если состояние данного параметра соответствует не полностью позитивному имиджу;
«3» - если состояние данного параметра слабо соответствует позитивному имиджу;
«2» - если состояние данного параметра совершенно не соответствует позитивному имиджу.
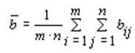
Рис. 5. Параметры, характеризующие состояние имиджа предприятия Оценка корпоративного имиджа предприятия и каждой его компоненты определялась как среднее значение:
,
где bij — балльная оценка j-го эксперта степени соответствия i-го параметра позитивному имиджу;
n — количество экспертов;
m — число рассматриваемых параметров.
На основании полученного среднего значения могут быть сделаны выводы о степени соответствия реального имиджа предприятия позитивному в соответствии со шкалой, изображенной на рис. 6 [22]:

Рис. 6. Шкала оценки соответствия корпоративного имиджа предприятия позитивному имиджу
Основываясь на второй метод (метод опросов), в Великобритании, например, ежегодно проводятся опросы, выясняющие осведомленность населения о многих ведущих предприятиях страны и отношение различных общественных групп к этим предприятиям. Сначала респондентов спрашивают, насколько хорошо они знают те или иные предприятия, а затем просят сказать, насколько они одобряют их деятельность.
Полученная оценка (в баллах) наносится на график, что позволяет легко сравнивать предприятия между собой. На рис. 7 изображен типичный график, полученный на основе опроса [4].

Рис. 7. Осведомленность о предприятиях и отношение к ним
На рис.7 сплошная линия показывает статистическую линию наилучшего соответствия. При данном уровне осведомленности, чем выше от этой линии располагается предприятие, тем выше оно оценивается населением, и наоборот, чем ниже от этой линии — тем хуже позиции предприятия в глазах опрашиваемых. Опыт проведения опросов показывает, что большинство предприятий оценивается скорее положительно, чем отрицательно, и потому они размещаются выше нулевой оценки.
Для многих предприятий отношение населения (или потребителей) к ним отчетливо коррелирует с их узнаваемостью (знанием о них). То есть чем лучше известно предприятие, тем лучше к нему относятся.
Из анализа позиций предприятий на такой диаграмме могут быть сделаны самые разные выводы:
· Предприятие А имеет очень сильную позицию, очень хорошо известно и весьма положительно оценивается. Проблема этого предприятия может заключаться в том, что, имея такой высокий имидж, предприятие более других уязвимо для критики, следовательно, ему нужно быть активным в поддержании своего высокого имиджа. Преимущество этого предприятия в том, что оно может использовать свой высокий имидж при запуске новых продуктов, приобретении новых предприятий, при наращивании своих фондов, пополнении капитала.
· Предприятие Б хорошо знакомо потребителям, но оно хуже оценивается по сравнению с другими известными конкурентами, включая и предприятие А. Вероятнее всего, это предприятие знает о своем невысоком имидже, но не может изменить его, например, из-за ограниченности имеющихся ресурсов.
· Предприятие С хорошо известно, но оценивается преимущественно отрицательно. Это предприятие, скорее всего, знает о своей низкой репутации и в соответствии с имеющимися ресурсами пытается, вероятно, и изменить свой имидж, и решить свои коммерческие проблемы.
· У предприятия Д есть хорошие потенциальные возможности повысить отношение населения к себе. Хотя оно относительно мало известно, те, кто его знает, оценивают это предприятие высоко, и если предприятие развернет кампанию, направленную на повышение осведомленности о нем населения, вероятно, это даст высокий рейтинг положительного отношения населения.
· Наконец, предприятие В малоизвестно, отношение к нему соответствует уровню его известности. Ему необходимо реализовать программу по развитию внешних связей, направленную на улучшение осведомленности населения о себе, что приведет и к повышению рейтинга отношения к предприятию.
Такие опросы, измеряющие осведомленность о предприятиях и отношение населения к ним, дают общую оценку имиджа большой группы предприятий. Ежегодный анализ общественного мнения, даже для самых крупных предприятий, обычно достаточен, чтобы знать об отношении населения к предприятиям.
Для эффективного развития каждое предприятие может оценить сильные и слабые стороны своего имиджа по конкретным аспектам деятельности: управлению предприятием, его прибыльности, использованию современной технологии, социальной ответственности, качеству обслуживания потребителя.
Третьим методом оценки имиджа является сравнение. В табл. 1 приведены результаты исследования Блинова А.О. и Захарова В.Я., опубликованные в журнале «Менеджмент в России и за рубежом» №4 , 2003, в котором сравниваются имиджи лидеров корпоративного рынка банковских услуг.
Таблица 1
Имидж банков - лидеров регионального корпоративного рынка банковских услуг (оценки даны в баллах по 7-балльной шкале)
| Характеристики имиджа банка
|
Банк А
|
Банк Б
|
| Надежный банк
|
6,17
|
5,81
|
| Профессионализм работников банка
|
6,11
|
6,10
|
| Скорость расчетов
|
5,13
|
6,19
|
| Культура обслуживания
|
5,45
|
6,10
|
| Чистая репутация банка
|
5,87
|
5,43
|
| Доступность работников банка
|
5,42
|
5,52
|
| Гибкость в работе
|
4,96
|
5,95
|
| Авторитет руководителей банка
|
5,72
|
5,33
|
| Условия кредитования
|
4,47
|
5,38
|
| Техническая оснащенность
|
5,47
|
6,10
|
Банк А, самый крупный на финансовом рынке, много лет здесь работающий и всегда выполнявший взятые на себя обязательства, имеет, как мы видим, имидж надежного, профессионального (его ведущие специалисты работают в банке не один десяток лет), незапятнанного ничем банка, руководители которого пользуются авторитетом у клиентов. Но он медленнее других реагировал на происходящие изменения, предлагал не самые лучшие условия кредитования, не обеспечивал необходимую скорость в расчетах, в частности, из-за недостаточной технической оснащенности и не особенно стремился изменить свое отношение к клиенту. Консерватизм этого банка обусловил его устойчивость в период крутых и неожиданных перемен, но понемногу банк терял свои позиции и клиентов. Осознав это, руководители банка скорректировали стратегию своего развития, воспринимая все то новое, что активно использовали в своей деятельности новые и энергичные банки. Это позволило ему оставаться безусловным лидером регионального рынка.
Другой имидж сформировался у банка Б (филиала крупного московского банка), который лишь несколько лет назад появился на финансовом рынке. Руководители компаний считали, что это современный динамичный банк, обеспечивающий высокую скорость в расчетах, имея хорошую техническую оснащенность; он создает наилучшие условия кредитования, проявляет гибкость в удовлетворении потребностей клиентов и высокую культуру обслуживания, основанную на профессионализме работников банка, их доступности для консультаций. Но это относительно молодой банк, он еще не прошел проверку временем, имеющаяся о нем информация недостаточна, чтобы делать окончательные выводы о его поведении и репутации, а его менеджеры недостаточно хорошо известны руководителям компаний данного города. После ознакомления с результатами этого исследования банк сформировал новую стратегию коммуникаций, его руководители стали чаще давать интервью в прессе, появляться на экранах телевизоров и встречаться со своими клиентами.[4]
Эта информация показывала, на какие банки можно опираться, трансформируя банковскую систему, и как следует в дальнейшем строить их деятельность.
Итак, измерение имиджа может происходить благодаря нескольким методам его оценки. Такие измерения позволяют организации владеть информацией о том, насколько ее имидж известен среди потребителей и как они относятся к продукции предприятия, а также знать, насколько реальный имидж организации приближен к позитивному, и, следовательно, выявлять свои сильные и слабые стороны.
Для некоторых предприятий, таких как IBM (компьютеры), Heinz (продукты питания), ВТБ (финансы) и Газпром (промышленность), имя предприятия, его индивидуальность, или имидж, обеспечивают основу, которая объединяет производимые предприятием товары и услуги, придает им особые качества в глазах потребителей. Высокий и устойчивый во времени имидж таких предприятий всякий раз является исходной точкой разработки очередной маркетинговой стратегии, такой имидж позволяет быстрее продвигать на рынке новые продукты и услуги.
Существуют такие предприятия, которые вкладывают огромные средства в поддержание сильного имиджа своей продукции и качества обслуживания, например, производители нефтепродуктов. Оправдываются ли такие затраты? Опросы показали, что потребители почти не видят разницы в бензинах различных фирм, и на 2/3 их выбор товара и его цены обусловливаются репутацией производителя, его имиджем на рынке.
В данной курсовой работе рассматривался имидж одного из крупнейшего предприятия России. ОАО «Газпром»- одна из крупнейших энергетических компаний в мире. Основными направлениями ее деятельности являются геологоразведка, добыча, транспортировка, хранение, переработка и реализация углеводородов, а также производство и сбыт электрической и тепловой энергии. Государственный газовый концерн «Газпром» был образован в 1989 г. на основе Министерства газовой промышленности СССР. На его базе в 1993 г. было создано Российское акционерное общество «Газпром», переименованное в 1998 г. в Открытое акционерное общество «Газпром».[28]
Как нам уже известно, имидж компании создается под воздействием наличия информации у групп общностей о деятельности предприятия. Эту информацию люди могут получать из личных контактов, слухов, а также из упоминаний в СМИ. Что касается исследуемого предприятия, то слухов и упоминаний в средствах массовой информации о нем достаточно для того, чтобы обеспечить определенный имидж. Часто можно слышать и наблюдать за различными проектами Газпрома, его спонсорской и благотворительной деятельностью.
Газпром видит свою миссию в максимально эффективном и сбалансированном газоснабжении потребителей Российской Федерации, выполнении с высокой степенью надежности долгосрочных контрактов по экспорту газа.
Стратегической целью является становление ОАО «Газпром» лидером среди глобальных энергетических компаний посредством освоения новых рынков, диверсификации видов деятельности, обеспечения надежности поставок. [28]
Четкая формулировка корпоративной миссии и цели предприятия, а также наличие корпоративной индивидуальности и идентичности (то, что она сообщает о себе) являются необходимыми элементами имиджа организации.
Наличие сильного успешного имиджа, который известен не только в России, но и за ее пределами, может подтвердить эффективная экономическая деятельность фирмы:
· стабильная высокая прибыль: за девять месяцев 2009 г. чистая выручка от продажи газа составила 1 547 538 млн руб; [28]
· высокие защитные барьеры;
· расширение доли рынка;
· способность установления цены;
«Газпром» в своей деятельности руководствуется принципом строгого соблюдения норм международного и российского природоохранного законодательства. В компании утверждены Экологическая политика и Перечень первоочередных мероприятий по охране окружающей среды на период до 2010 года. Крупнейшим социально ориентированным проектом «Газпрома» является программа газификации регионов РФ, которая в 2008 году реализовалась в 64 субъектах РФ. «Газпром» предоставляет широкие возможности для раскрытия собственного потенциала и карьерного роста своих сотрудников. [28] Это является примером того, что предприятие заинтересовано в поддержании хорошего имиджа не только среди населения (потребителей), но и среди сотрудников организации, а также региональных и экологических сообществ.
Для создания имиджа в регионах был создан медиа-холдинг под руководством Виктора Илюшина. Дочерние предприятия ОАО купили в провинции несколько телеканалов и сотрудничают с рядом региональных газет. Сегодня во всех регионах, где существуют дочерние компании или представительства «Газпром», функционируют PR- службы, занимающиеся формированием имиджа.
Немаловажную роль в обеспечении позитивного имиджа предприятия «Газпром» играет такое понятии как «имидж отрасли». Ведь без представления о имидже отрасли, в которой действует предприятие имидж самого предприятия будет в лучшем случае неполным, а в худшем случае ошибочным. Отрасли могут иметь сильно различающиеся репутации. Что касается исследуемого предприятия, то добывающая промышленность, в которой реализует свою деятельность «Газпром», имеет уже устоявшийся надежный имидж.
Организация «Газпром» тратит свои ресурсы не только на перспективные проекты будущего, развитие инфраструктуры, расширения рынка сбыта и отбор сотрудников, но также компания тратит миллионы долларов на то, чтобы мир знал об этом и хорошо относился.
В рамках написания данной курсовой работы был рассмотрен имидж предприятия ОАО «Газпром». Оценить его существующий имидж можно с помощью метода соответствия его реального имиджа позитивному (табл. 2).
Таблица 2
Оценка имиджа ОАО «Газпром»
| Параметры корпоративного имиджа
|
Оценка соответствия параметров позитивному имиджу
|
| Имидж предприятия у потребителей
|
соответствует полностью
|
| Параметры корпоративного имиджа
|
Оценка соответствия параметров позитивному имиджу
|
| Качество, дизайн, характеристики продукции
|
соответствует полностью
|
| Известность торговой марки
|
соответствует полностью
|
| Цена на продукцию
|
соответствует полностью
|
| Бизнес-имидж предприятия
|
соответствует полностью
|
| Параметры корпоративного имиджа
|
Оценка соответствия параметров позитивному имиджу
|
| Надежность предприятия
|
соответствует полностью
|
| Внутренний имидж предприятия
|
соответствует полностью
|
| Предоставленные социальные гарантии
|
соответствует полностью
|
| Возможность карьерного роста
|
соответствует полностью
|
| Система заработной платы и морального стимулирования
|
соответствует полностью
|
| Уровень престижности фирмы
|
соответствует полностью
|
| Моральная атмосфера на предприятии
|
соответствует полностью
|
| Представления персонала о заявленной миссии и стратегиях предприятия
|
Соответствует полностью
|
| Социальный имидж предприятия
|
соответствует полностью
|
| Количество предоставляемых рабочих мест
|
соответствует не полностью
|
| Имидж для госструктур
|
соответствует полностью
|
| Значимость продукции предприятия для региона
|
соответствует полностью
|
| Участие предприятия в социальных программах
|
соответствует полностью
|
| Законопослушность предприятия
|
Соответствует полностью
|
В табл. 2 представлены результаты оценки реального имиджа ОАО «Газпром» по некоторым параметрам. На основе данной таблицы можно сделать вывод о том, что, т.к. все параметры реального имиджа полностью соответствуют позитивному (согласно шкале (рис.6)), то существующий на сегодняшний день имидж ОАО «Газпром» в полной мере соответствует позитивному. Это говорит об уникальных деловых способностях, позволяющих увеличивать конкурентоспособность, а, следовательно, влиять на свой имидж, разрабатывая план мероприятий, направленный на его улучшение.
В заключении следует сказать, что, изучив влияние имиджа на деятельность организации, методы его оценки, а также, оценив имидж ОАО «Газпром», можно сделать вывод о том, что измерение имиджа организации необходимо для выявления отношения потребителей к предприятию. Это позволяет компании обнаруживать проблемы, связанные с имиджем, и впоследствии изменять и совершенствовать его.
По мере развития имиджа организации ее руководители сталкиваются с рядом проблем.
Во-первых, на сегодняшний день в России нет достаточного уровня необходимых знаний, теорий и исследований в области имиджа организации. Это можно объяснить тем, что понятие «имидж организации» появилось и изучается не так давно. В связи с этим исследования отечественных авторов, основанные на западных методиках, не всегда могут быть использованы и применены к конкретным имиджам российских предприятий. Для них необходимо разрабатывать отличные от других стран теории формирования имиджа и методики его оценки, поскольку в каждой стране существует свои особенности развития экономики.
Вследствие недостатка научной литературы появляется другая проблема, которая заключается в том, что руководители предприятий в России недооценивают необходимость формирования позитивного имиджа организации и часто не считают полезным тратить деньги на его развитие. По мнению Блинова А.О. и Захарова В.Я., отношение к имиджу и рекламе неодинаково в разных странах. Так, в США 130 из 150 самых больших предприятий заказывают рекламу предприятия, в Великобритании 50 из 150, в России — еще меньше предприятий заботится о создании своего имиджа.[4]
В-третьих, зачастую имидж организации не соответствует имиджу руководителя, сотрудников или предлагаемой продукции. Такая проблема отсутствия целостности имиджа прослеживается во многих компаниях.
Следующей важной проблемой, по мнению Бакановой М., президента агентства по рекламе, является отсутствие ресурсных стратегических партнерских отношений. На сегодняшний день это является наиболее проблемной составляющей в развитии имиджей большинства компаний. Ведь для того, чтобы компания успешно процветала на рынке ей нужно иметь надежную команду, с которой будут преодолеваться все сложности, нужно иметь сильную внешнюю поддержку в лице государственных органов, партнерских компаний, клиентов, дилеров и многих других – фирм и людей от которых зависит устойчивость, жизнеспособность и качество развития компании и ее имиджа.[3]
Самой актуальной, на наш взгляд, проблемой имиджа организации на сегодняшний день является отсутствие четко сформулированной миссии и стратегической цели в компании. Ведь именно они представляют на рынке полноценную картину деятельности и предназначения предприятия и, в конечном счете, определяют его имидж. Отсутствие этих двух составляющих ведет к тому, что у государства, партнеров, потребителей и даже персонала организации нет представления о деятельности компании, с которой они сотрудничают и на которую работают, следовательно, у предприятия нет имиджа, способствующего успеху предприятия.
Таким образом, на современном этапе наблюдаются следующие проблемы, связанные с имиджем организации: нехватка научных знаний и исследований в области имиджа организации, отсталость развития российских предприятий от западных в сфере формирования имиджа и понимания его важности для успешного развития организации, отсутствие миссии и стратегической цели у большинства компаний. Эти проблемы необходимо устранять и разрабатывать пути их решения.
Для развития такого явления, как имиджа организации в России необходимо проведение следующих мер.
В первую очередь, требуется развивать научные знания в области имиджа организации, а именно: разработка новых методик оценки и формирования имиджа, исследование зависимостей имиджа и деятельности предприятия. Для создания, измерения и развития позитивного имиджа возможно создание специальных отделов в компании. Это позволит предприятию минимизировать издержки на PR услуги.
Во-вторых, необходимо налаживание ресурсных стратегических партнерских отношений, чтобы компанию окружали надежные партнеры и клиенты. Это осуществляется благодаря проведению рекламных кампаний или промо-акций с целью формирования позитивного имиджа торговой марки предприятия. Также возможны регулярные встречи с представителями целевых аудиторий, от которых зависит бизнес, иногда необходимо создавать и реализовывать совместные проекты такие, как благотворительность, спонсорство.
Для налаживания взаимоотношений также требуется исследование моделей мышления целевых аудиторий: не поверхностное, а глубинное качественное исследование. Это помогает выяснить цели деятельности, ценности и стратегии целевых аудиторий, их представления о желаемом сотрудничестве. После такого анализа можно строить коммуникационную политику, опирающуюся на интересы как организации, так и всех людей, вовлеченных в процесс ее развития.
От наличия и характера взаимоотношений с клиентами и партнерами зависит будущее компании, ее успех и развитие. Налаживание взаимоотношений является одним из важнейших приемов развития имиджа организации.
Итак, как и любые другие взаимоотношения, стратегические партнерские взаимоотношения не могут быть налажены моментально. Необходима системная работа по налаживанию и поддержанию таких отношений, которая состоит в том числе из анализа целевых аудиторий, разработки способов и каналов налаживания и поддержания взаимоотношений. Необходимо постоянно следить за изменениями, проводить исследования и корректировать свою тактику, и в результате предприятие будет окружено надежными партнерами, что способствует поддержки и развития бизнеса.
Что касается мною изучаемого предприятия «Газпром», то следует отметить следующие пути дальнейшего развития его имиджа.
В рамках имидж-кампании Газпрома особое внимание следует уделять работе со СМИ, особенно региональными. Основной акцент следует делать на законопослушность Газпрома и на соблюдении экономических интересов корпорации, которые ассоциируются с интересами общества. Такую работу лучше всего проводить, выпуская регулярно пресс-релизы об успехах и улучшающемся экономическом положении Газпрома, о новых технологиях организации труда в газовой отрасли, об экологических проектах Газпрома, о социальных и благотворительных программах. Ключевыми понятиями, которыми следует оперировать, работая со СМИ, являются эффективность, стабильность, активность, уверенность.
Таким образом, рассмотрев основные проблемы имиджа организации, были предложены возможные решения этих проблем через определенные пути развития имиджа: разработка научных знаний, налаживание партнерских отношений. На сегодняшний день такое явление как имидж требует дальнейшего изучения и развития.
В результате исследования данной курсовой работы были сделаны следующие выводы:
1) Изучены содержание понятия «имидж»
2) Рассмотрены признаки и классификации имиджа.
3) Выявлено влияние имиджа на эффективность развития организации.
4) Рассмотрена оценка имиджа.
5) Выявлены основные проблемы.
6) Предложены направления развития имиджа.
Следует сказать, что формирование позитивного имиджа предприятия — это сложный и многогранный процесс, требующий особого внимания и больших усилий. Компании должны постоянно заботиться о формировании положительного отношения потребителей, партнеров и сотрудников к себе. Ведь позитивный имидж помогает добиться того, чтобы покупатели в условиях конкуренции отдавали предпочтение именно данной продукции.
Хорошо сформированный имидж повышает конкурентоспособность компании, позволяет укрепить ее позиции на рынке, приводит к снижению чувствительности к цене, помогает привлечь потребителей и нужных партнеров, развивать перспективные направления деятельности. Позитивный имидж также уменьшает заменяемость товаров, а значит, защищает организацию от атак конкурентов. Наличие позитивного имиджа организации становится необходимым условием достижения устойчивого и продолжительного делового успеха на современном этапе экономических отношений и является важным фактором развития предприятия.
Однако важно не только сформировать имидж, но и поддерживать и развивать его на протяжении всей деятельности организации. Компаниям необходимо проводить оценку своего имиджа, выявлять проблемы и искать пути их решения.
На сегодняшний день успешное развитие организации определяется не только тем, Что, Как и Для кого производить, но и тем, какой имидж складывается у потребителей, партнеров и сотрудников о предпринимательской деятельности организации.
Многие российские предприниматели недооценивают такую роль имиджа в экономической деятельности своей фирмы. Это может быть связано с такой проблемой, как недостаточный уровень знаний в данной области, малое количество исследований и теорий. Требуется развивать научные знания в области имиджа организации, разрабатывать новые методики оценки и формирования имиджа, исследовать зависимости между имиджем и эффективностью предприятия.
Таким образом, успешная деятельность фирмы невозможна без наличия позитивного имиджа. Поэтому имидж является одним из важнейших факторов развития организации.
1. Аверченко Л.К., Залесов Г.М. Психология управления: Курс лекций/ Л.К. Аверченко, Г.М. Залесов и др. – Новосибирск, М., 1997 – 152 с.
2. Алешина И.В. Корпоративный имидж: стратегический аспект // Маркетинг, 1998, № 1.
3. Баканова М. Стратегические проблемы имиджа компаний. Исследования и построение коммуникационной политики. «Маркетинг», 19.09.2003.
4. Блинов А.О., Захаров В.Я. Имидж организации как фактор ее конкурентоспособности «Менеджмент в России и за рубежом» №4 / 2003.
5. Бинецкий А.Э. Паблик Рилейшнз: защита интересов и репутации бизнеса. – М.: ИКФ «ЭКМОС», 2003- 240с.
6. Васильева М., Надеин А. Бренд: сила личности – СПб.: Питер, 2003.- 208 с..
7. Джефкинс Ф., Ядин Д. Паблик рилейшнз: Учеб. Пособие для вузов/ Пер. с англ. Под ред. Б.Л. Еремишина. – М.: ЮНИТИ-ДАНА, 2003 – 416с. – (Серия "Зарубежный учебник").
8. Дойль Питер. Менеджмент: стратегия и тактика: Пер. с англ. — СПб.: Питер, 1999. — 560 с.
9. Иванова С.В. Корпоративная культура: традиции и современность/ Справочник кадровика, 2000, №4.
10. Королько В.Г. Основы паблик рилейшенз. М., "Рефл-бук", К.: "Ваклер" - 2000. – 528 с.
11. Ланкин В.Е. Учебное пособие для подготовки к государственному итоговому междисциплинарному экзамену профессиональной подготовки маркетолога по специальности 080111 "МАРКЕТИНГ". - Таганрог: ТРТУ, 2006 - 241 с.
12. Лысикова О.В. Имиджеология и паблик рилейшнз в социокультурной сфере: учеб. пособие/О.В. Лысикова, Н.П. Лысикова. – М.: Флинта: МПСИ, 2006 – 168 с.
13. Ожегов С.И. и Шведова Н.Ю. Толковый словарь русского языка: 80000 слов и фразеологических выражений / Российская академия наук. Институт русского языка им.В. В. Виноградова. – 4-е изд., дополненное. – М: Азбуковник, 1997 – 944 с.
14. Панасюк А.Ю. Вам нужен имиджмейкер? Или о том, как создавать свой имидж. – 2-е изд. – М.: Дело, 2000 – 240с.
15. Панфилова А.П. Имидж делового человека. - Знание, ИВЭСЭП; 2007 - 490 с.
16. Перелыгина Е.Б. Психология имиджа: учебное пособие. – М.: Аспект Пресс, 2002 – 223с.
17. Почепцов Г.Г. Имиджеология. – М.: Рефл-Бук, К.: Ваклер, 2001 – 704 с.
18. Томилова М.В. Модель имиджа организации // Маркетинг в России и за рубежом, 1998, №1 – 160 с.
19. Харитонова Е.В. "Имидж организации – миссия выполнима" // Со-Общение. 2001, № 11.
20. Чумиков А.Н., М.П. Бочаров Связи с общественностью: теория и практика: Учеб. Пособие. – М.: Дело, 2003 – 496 с.
21. Шепель В.М. Имидж. Как нравиться людям. М.: Народное образование, 2002 – 658 с.
22. Шкардун В.Д., Ахтямов Т.М., «Оценка и формирование корпоративного имиджа предприятия». Маркетинг в России и за рубежом , №3 2001.
23. Ядов В.А. Стратегия социологического исследования. Описание, объяснение, понимание социальной реальности. – М : Омега-Л,2009-567 с.
24. http://www.iteam.ru/publications/human/section_44/article_3553/
25. http://www.hr-portal.ru/article/korporativnyi-imidzh
26. http: //www.corpculture.ru/content/tipologiya-korporativnykh-kultur-ch-khandi-i-osobennosti-kadrovoi-politiki-dlya-kazhdogo-tip
27. http: //www.c-culture.ru/go/207
28. http://www.gazprom.ru/about/
|